Добавить в корзинуПозвонить
Найти в Дзене
Математика не для всех

Формула, которую знает каждый служивший в Армии. Оказывается, у военных свои "углы"

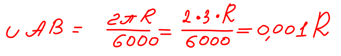
Приветствую Вас, уважаемые Читатели! Сегодня я хочу рассказать Вам о самой известной формуле, которую солдаты впитывают еще на курсе молодого бойца. Речь пойдет о формуле тысячных, и о том, на чем она основана. Проведение расчетов при подготовке стрельб, целеуказание в боевой обстановке для любого военнослужащего непосредственно связано с задачей измерения углов. Однако, использование традиционных для геометрии градусов, минут и секунд (например, как при ориентировании по компасу) не всегда удобно, т.к. решение прикладных задач чаще всего связано с решением треугольников, что требуется оперирования тригонометрическими функциями в громоздких расчетах. Поэтому, например в артиллерийской практике, окружность поделена не на 360 градусов, а на 6000 частей: Зачем, спрашивается на 6000 частей? Здесь находит своё отражение старый прикол, что у артиллеристов число π = 3. Действительно, если посчитать длину дуги окружности AB, получится: Здесь то и появляется та самая "тысячная" - величина, поз

Приветствую Вас, уважаемые Читатели! Сегодня я хочу рассказать Вам о самой известной формуле, которую солдаты впитывают еще на курсе молодого бойца. Речь пойдет о формуле тысячных, и о том, на чем она основана.

Проведение расчетов при подготовке стрельб, целеуказание в боевой обстановке для любого военнослужащего непосредственно связано с задачей измерения углов.

Однако, использование традиционных для геометрии градусов, минут и секунд (например, как при ориентировании по компасу) не всегда удобно, т.к. решение прикладных задач чаще всего связано с решением треугольников, что требуется оперирования тригонометрическими функциями в громоздких расчетах.

Поэтому, например в артиллерийской практике, окружность поделена не на 360 градусов, а на 6000 частей:

6000 - очень удобное число, т.к. имеет много делителей. Кстати, в армиях блока НАТО окружность делится на 6400 частей, а в Швеции - и вовсе на 6300, что является наиболее точным определением
6000 - очень удобное число, т.к. имеет много делителей. Кстати, в армиях блока НАТО окружность делится на 6400 частей, а в Швеции - и вовсе на 6300, что является наиболее точным определением

Зачем, спрашивается на 6000 частей? Здесь находит своё отражение старый прикол, что у артиллеристов число π = 3. Действительно, если посчитать длину дуги окружности AB, получится:

-2

Здесь то и появляется та самая "тысячная" - величина, позволяющая связать угловые и линейные величины и соответствующая одному делению угломера.

На практике также часто используются производные от одной тысячной. Например, 100 "тысячных" - это большое деление угломера, а, например, снайперский прицел ПСО-1 имеет деления по 2 и 10 тысячных:

Так как же тысячные упрощают для военных определение расстояний или, например, боковых поправок при стрельбе? Основано всё, конечно, на простом допущении, что дуга АB стягивает настолько малый угол, что примерно равняется хорде АB, а радиус окружности отождествлен с расстоянием Д объекта .

-4

С помощью этой формулу решаются сразу три задачи:

  • определение дальности до предмета;
  • определение линейных размеров предмета;
  • определение угловой величины предмета.

Определение дальности предметов в полевой обстановке опирается на знание угловых размеров некоторых типовых предметов (при отсутствии бинокля):

Размеры в тысячных - это в точности длина предмета в миллиметрах, умноженная на 2.
Размеры в тысячных - это в точности длина предмета в миллиметрах, умноженная на 2.

В таком случае "измерительное устройство" выносится на 50 см от глаза , а расчет дальности основывается на перекрытии наблюдаемого объекта и знании его примерной высоты. Удобнее использовать для таких расчетов линейку:

За средний рост взята величина в 170 см
За средний рост взята величина в 170 см

Еще один пример использования расчетов с использованием "тысячных" из артиллерийской науки. В нем требуется скорректировать огонь по танку противника, если первый снаряд лег мимо на 20 тысячных:

Естественно, расстояние заранее известно
Естественно, расстояние заранее известно

При выводе формулы тысячных было сделано несколько допущений, поэтому при проведении точных расчетов артиллеристы делают поправку в 5%:

-8