Найти в Дзене
Победим ЕГЭ

Об этом способе решения квадратных уравнений забывают почти все

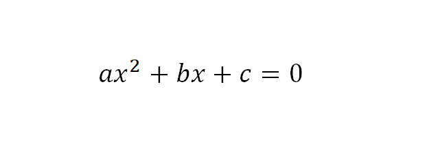
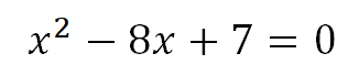
Всем известен способ решения квадратных уравнений через дискриминант, а также с помощью теоремы Виета. Однако существует ещё один отличный способ решения подобных уравнений. Перед нами обычное квадратное уравнение. Первым действием рассмотрим первые два слагаемых. Это похоже на формулу квадрата суммы, но не хватает коэффициента. Давайте подумаем, какой именно должен быть коэффициент, чтобы мы могли «свернуть» во всеми известную формулу. В данном случаи необходимо добавить 16. Просто так добавлять мы не можем, поэтому сразу же вычтем те же самые 16 и вот что у нас получилось: Во втором действии выполним свёртку формулы и перенесём оставшиеся коэффициенты в правую сторону. Осталось за малым. В третьем действии необходимо взять квадратный корень из левой и правой части. Важно помнить, что левую часть выражения мы будем приравнивать как к положительному, так и к отрицательному значению. Наконец, в четвёртом действии мы выражаем значения "х1" и "х2" и получаем верный ответ. Всем удачной под

Всем известен способ решения квадратных уравнений через дискриминант, а также с помощью теоремы Виета. Однако существует ещё один отличный способ решения подобных уравнений.

-2

Перед нами обычное квадратное уравнение. Первым действием рассмотрим первые два слагаемых. Это похоже на формулу квадрата суммы, но не хватает коэффициента.

-3

Давайте подумаем, какой именно должен быть коэффициент, чтобы мы могли «свернуть» во всеми известную формулу. В данном случаи необходимо добавить 16. Просто так добавлять мы не можем, поэтому сразу же вычтем те же самые 16 и вот что у нас получилось:

-4

Во втором действии выполним свёртку формулы и перенесём оставшиеся коэффициенты в правую сторону.

-5

Осталось за малым. В третьем действии необходимо взять квадратный корень из левой и правой части. Важно помнить, что левую часть выражения мы будем приравнивать как к положительному, так и к отрицательному значению.

-6

Наконец, в четвёртом действии мы выражаем значения "х1" и "х2" и получаем верный ответ.

-7

Всем удачной подготовки и экзаменов! Дальше будет ещё больше интересных фишек и разборов.