Добавить в корзинуПозвонить
Найти в Дзене

Преодоление варп-барьера: сверхбыстрые солитоны в теории плазмы Эйнштейна-Максвелла

Э.В. Ленц Институт астрофизики Университета Георга-Августа Гёттингенского, Гёттинген, Германия. Оригинал статьи размещён 3 августа 2020 года (перевод с английского сделан Анастасием Маяковским) Аннотация Солитоны в пространстве-времени, способные переносить временных наблюдателей в область сверхсветовых скоростей, уже давно связаны с нарушениями слабых, сильных и доминирующих энергетических условий общей теории относительности. Источники отрицательной энергии, необходимые для этих решений, в соответствии с принципом неопределенности, должны создаваться с помощью энергоемких процессов, поскольку в физике элементарных частиц такого классического источника неизвестно. В предлагаемой статье, автор показал, что теоретически возможно преодолеть указанный барьер, построив класс солитонных решений, способных к сверхсветовому движению и получаемых за счет чисто положительных плотностей энергии. Также показано, что солитоны могут быть получены из энергии напряжения проводящей плазмы и классическ

Э.В. Ленц

Институт астрофизики Университета Георга-Августа Гёттингенского, Гёттинген, Германия.

Оригинал статьи размещён 3 августа 2020 года

(перевод с английского сделан Анастасием Маяковским)

Аннотация

Солитоны в пространстве-времени, способные переносить временных наблюдателей в область сверхсветовых скоростей, уже давно связаны с нарушениями слабых, сильных и доминирующих энергетических условий общей теории относительности. Источники отрицательной энергии, необходимые для этих решений, в соответствии с принципом неопределенности, должны создаваться с помощью энергоемких процессов, поскольку в физике элементарных частиц такого классического источника неизвестно. В предлагаемой статье, автор показал, что теоретически возможно преодолеть указанный барьер, построив класс солитонных решений, способных к сверхсветовому движению и получаемых за счет чисто положительных плотностей энергии. Также показано, что солитоны могут быть получены из энергии напряжения проводящей плазмы и классических электромагнитных полей. Это первый пример сверхбыстрых солитонов, полученных из известных и знакомых источников, вновь открывающий обсуждение сверхсветовых механизмов, коренящихся в традиционной физике.

1. Введение

Сверхбыстрые солитоны в рамках современных теорий гравитации были темой «энергетических спекуляций» в последние десятилетия [1, 2, 3, 4, 5, 6, 7, 8, 9, 10, 11, 12, 13, 14, 15, 16, 17, 18].

Одно из наиболее заметных критических замечаний в отношении компактных механизмов сверхсветового движения в рамках общей теории относительности заключается в том, что геометрия в значительной степени должна основываться на форме отрицательной плотности энергии, хотя в физике элементарных частиц таких известных макроскопических источников нет. Другие проблемы включают трудности, связанные с приближённым построением солитона в пространстве-времени до сверхсветовой фазы, когда перемещенные центральные наблюдатели оказываются окруженными горизонтом, и равные трудности эволюции из сверхсветовой фазы обратно в пространство-время. Проблемы, связанные с построением горизонтов также включают: связь между внутренними и внешними наблюдателями через солитонную оболочку, бомбардировку внутренних наблюдателей излучением Хокинга и накопление энергии напряжения на переднем горизонте.

Кроме того, для создания самоподдерживающегося сверхсветового солитона типа Алькубьерре [1] в области радиусом 100 м потребуется огромное количество энергии по величине, превышающее масштаб, существующий в видимой Вселенной. Это соответствует эквиваленту массы порядка минус 6*10^62 (Vs/С) кг [3], хотя позже был достигнут некоторый прогресс в преодолении барьера деформации в этой области, за счёт уменьшения требуемой энергию до примерного эквивалента массы порядка минус 10^30 кг [7, 16] и даже до килограммов и граммов [19].

В этой статье впервые рассматривается путь построения нового класса сверхбыстрых солитонных решений в рамках общей теории относительности, которые получены исключительно из положительных плотностей энергии, что устраняет необходимость в экзотических источниках с отрицательной плотностью энергии. Это стало возможным благодаря рассмотрению гиперболических соотношений между компонентами вектора сдвига метрики пространства-времени, которые отличаются от эллиптических или линейных соотношений, ограничивающих возможные солитонные решения, рассмотренные предшествующими исследователями, условием существования отрицательных энергий. Кроме того, показано, что источник энергии напряжения для этих решений имеет форму классической электронной плазмы, что «перемещает» сверхсветовые явления в область известной физики. Остальная часть статьи структурирована следующим образом. В разделе 2 представлена геометрия этих новых солитонов с использованием формализма ADM [20] и получены компоненты уравнения Эйнштейна, относящиеся к классу решений. В разделе 3 представлены условия для гиперболически связанных векторов сдвига и правила построения класса решений с везде положительной плотностью энергии и обычными условиями энергии-импульса и демонстрируется эти качества для семейства решений. В раздел 4 определена динамическая составляющая геометрии с помощью преобразования уравнений Эйнштейна и выводятся требования к потенциалу плазмы источника. В разделе 5 обсуждаются последствия открытия сверхсветового механизма, управляемого известными источниками, и перспективы будущих исследований.

2. Солитоны в Общей теории относительности

Рассматриваемое здесь пространство-время разлагается в формализме «3+1» (ADM) с использованием соглашения, аналогичного соглашению, представленному в [21] или [22], в частности, в соответствии с правилом знака последнего. Линейный элемент пространства-времени приведен в виде (1), где временная координата t стратифицирует пространство-время в пространственно-подобные гиперповерхности, компоненты метрики пространства hij, определённые в точке t, обеспечивают внутреннюю геометрию этой гиперповерхности, а компоненты вектора сдвига Ni, определённые аналогичным образом, в точке t обеспечивают координатную трехскоростную нормаль гиперповерхности. Таким образом, единая нормальная форма, подобная единице времени, пропорциональна элементу координатного времени n* = Ndt, а вектор единичной нормали n к гиперповерхности имеет компоненты (2).

В этой статье используется обозначение суммирования Эйнштейна, с греческими индексами, проходящими через компоненты пространства-времени и латинские индексы по компонентам пространства. Понижение латинских индексов выполняется с использованием метрики гиперповерхности h, если не указано иное.

Используются натуральные единицы измерения G = c = 1. Наконец, функция потока N численно равна единице.

Центральное место в вычислении тензора Эйнштейна занимает внешняя кривизна гиперповерхности, которая может быть записана как отрицательная ковариантная производная поля нормального вектора n или в терминах производных по координатам в виде (3).

Рассмотренные здесь решения будут иметь гиперповерхности, параметризованные плоскими метриками в декартовых координатах hij = δij, что сводит выражение внешней кривизны к симметричной комбинации производных вектора сдвига.

Тривиальная форма как N, так и h подразумевает, что наблюдатели Эйлера - времениподобные наблюдатели с четырёхмерными скоростями, направления движения которых в пространстве-времени нормальны к гиперповерхностям n, находятся в свободно падающей системе отсчёта.

Определение поведения решений в рамках общей теории относительности начинается с проверки условия слабой энергии и условия импульса. Условие слабой энергии дается проекцией уравнения Эйнштейна на нормаль гиперповерхности (4),

где прогнозируемая энергия напряженного состояния должна быть названа локальной эйлеровой плотностью энергии (5).

Геометрическая сторона уравнения энергетической связи делится на внутреннюю кривизну гиперповерхности (3)R, а также след внешней кривизны K = Kii и его квадратичный скаляр на гиперповерхности KijKji (6).

Вклад внутренней кривизны гиперповерхности исчезает, поскольку метрика пространства h плоская. Чисто геометрическая часть энергетического условия может быть затем описана с точки зрения компонентов вектора сдвига (7).

Обратите внимание, что последние три элемента в приведенном выше выражении являются отрицательными, а первые три - неопределенного типа. Эти первые три члена потенциально могут предоставить энергетической функции «островок» конфигураций, удовлетворяющих условию слабой энергии. Первой задачей этой работы будет показать, что существуют неплоские компактные движущиеся конфигурации, которые всюду имеют неотрицательную энергию.

Условия импульса реализуются здесь путем сравнения смешанной проекции локальной эйлеровой плотности импульса (8) к смешанной проекции тензора Эйнштейна, в результате чего для рассматриваемых геометрий в трех условиях получим следующее выражение (9).

Условия как энергии, так и импульса должны соблюдаться повсюду, и они обеспечат существование источников энергии напряженного состояния, необходимых для построения геометрии солитона.

Динамика геометрии обычно задается оставшимися шестью свободными компонентами уравнения Эйнштейна. Некоторые из этих степеней уже были обусловлены выбором плоской h и постоянной функции отклонения N. Условия для решений с положительной энергией, представленные в следующем разделе, уменьшат количество динамических геометрических степеней свободы до одной, откуда следует, что требуется только один компонент динамической части уравнения Эйнштейна. Условие следа - естественный выбор, задаваемый формулой (10),

где скаляр Риччи пространства-времени разлагается в этом классе пространств-времен следующим образом (11),

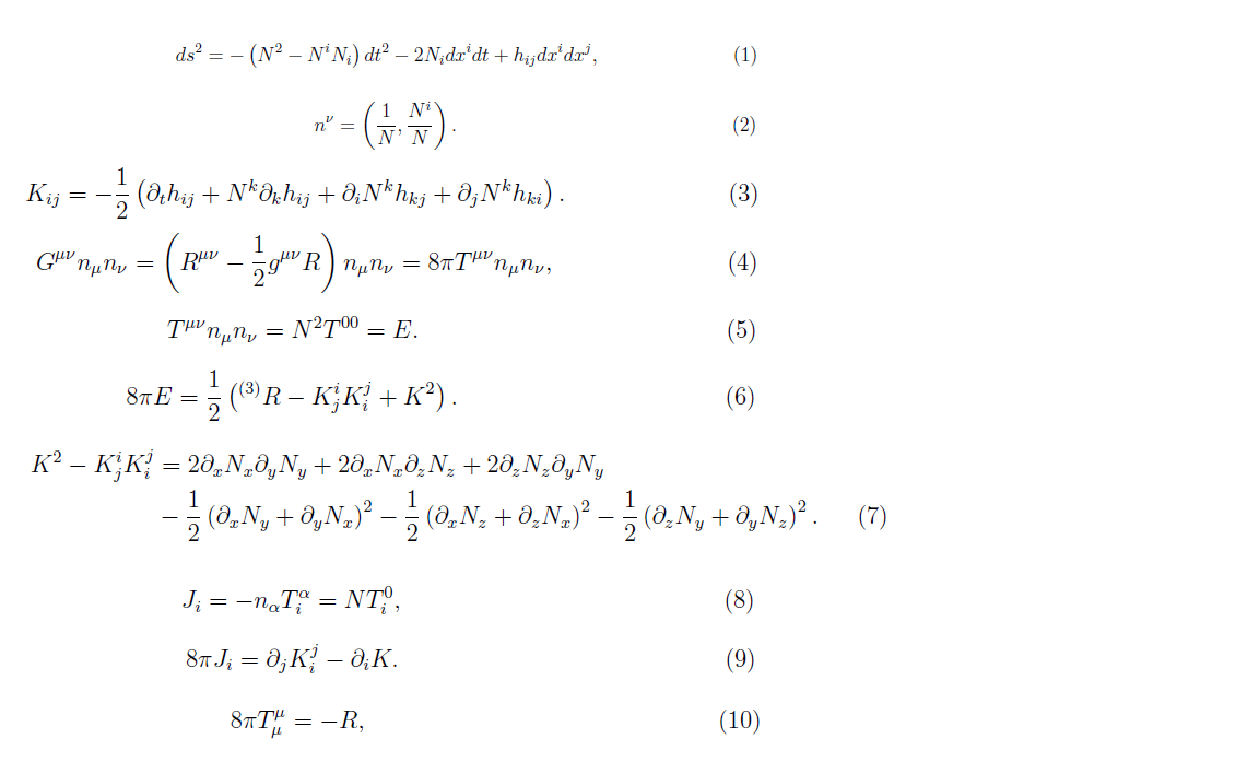
Ленц, формулы (1)-(10).
Ленц, формулы (1)-(10).
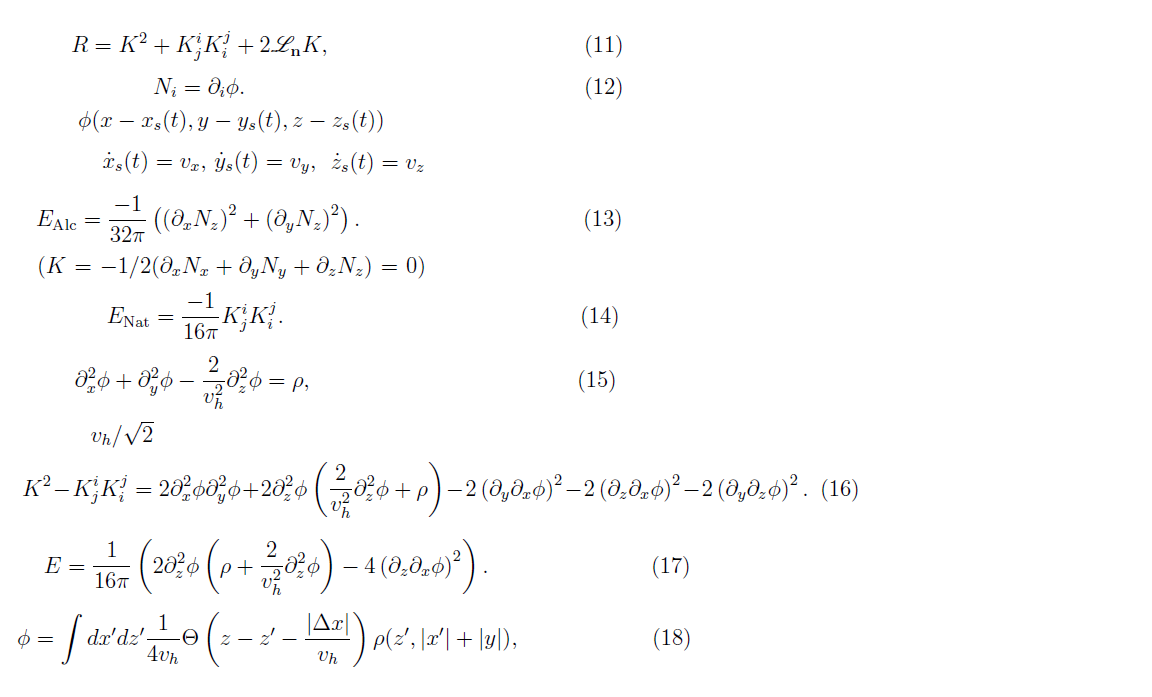
Ленц, формулы (11)-(18)
Ленц, формулы (11)-(18)

3. Построение решений с положительной энергией с использованием гиперболического сдвига векторного потенциала

Исследуемый здесь класс геометрий будет характеризоваться потенциальной функцией вектора сдвига, вещественной функцией φ с пространственным градиентом, связывающей компоненты вектора сдвига (12).

Рассматриваемые здесь потенциалы солитонов, будучи определены в стационарном состоянии, движутся с постоянной скоростью и позволяют параметризовать потенциал смещением от его движущегося центра φ(xs,ys,zs) , где (Vx, Vy, Vz) являются постоянными компонентами скорости солитона.

Одного потенциального условия недостаточно для получения положительной определенной функции уравнения (7), и таким образом, добавляется связь между всеми компонентами вектора сдвига. В литературе наиболее часто встречаются линейные и эллиптические зависимости. В частности, линейная зависимость (Nx = Ny = 0) из [1] описывает знаменитый тороид Алькубьерре с отрицательной плотностью энергии вокруг солитонного пузыря Nz, отображенный здесь в декартовых координатах (13)

Нерасширяющееся эллиптическое соотношение из [11] ограничивает форму энергии отрицательно определенным квадратом внешней кривизны (14).

Осталось исследовать параболические и гиперболические отношения.

Здесь исследуется гиперболическое соотношение. В частности, потенциальная функция будет определена так, чтобы удовлетворять линейному волновому уравнению по пространственным координатам (15):

где Vh/(2)^0,5 - безразмерная "скорость" волнового фронта на гиперповерхности, ф - функция источника. Выделена положительная ось z, поскольку она будет основным направлением движения солитона. Поэтому в оставшейся части статьи мы будем рассматривать только движение вдоль направления z, положив Vx = Vy = 0. Затем геометрическую форму энергетического условия можно переписать как (16).

До сих пор не совсем ясно, каков знак энергетической функции, поэтому для примера используются два упрощения. Предполагая, что ρ и φ обе параметризованы в координатах (x,y) l1 нормой s = |x| + |y|, энергия может быть дополнительно упрощена до двухкоординатной формы, используя здесь (z,x) - (17).

Функция Грина представляющая собой потенциал, считая, что начальное состояние потенциала в точке z = -"бесконечность" равно нулю, принимает вид (18), где θ() - функция Хевисайда, а Δx = x – x’. Тогда векторы сдвига можно найти в форме Грина (19), (20), где sign () - знаковая функция. Видно, что компоненты вектора сдвига пропорциональны интегралам источника по "прошлому" волновому конусу. С учетом выражений Грина можно напрямую вычислить, что вторая производная Ли потенциала больше или равна скорости солитона , умноженной на смешанную производную Ли по z, x от ф, из чего следует, что условие энергии удовлетворяет неравенству (21), из которых могут быть сформированы правила, гарантирующие, что плотность энергии везде неотрицательна.

Ленц, формулы (19)-(26).
Ленц, формулы (19)-(26).

Например, функция энергии будет неотрицательной для таких параметров, что локальная плотность источника и градиент плотности источника z-компоненты, проинтегрированные вдоль пересекающихся "прошлых" волновых траекторий, имеют один и тот же знак.

Рис.1. Проекция источника вектора потенциала сдвига вдоль (x; 0; z).  Направление распространения солитона - вдоль оси z. Заряд внутри каждой хорды, перпендикулярной длинной оси источников, откалиброван для получения ровной поверхности в центральной области. Форма и профиль заряда каждо-го ромбовидного источника идентичны. Общий интегральный заряд системы равен 0.
Рис.1. Проекция источника вектора потенциала сдвига вдоль (x; 0; z). Направление распространения солитона - вдоль оси z. Заряд внутри каждой хорды, перпендикулярной длинной оси источников, откалиброван для получения ровной поверхности в центральной области. Форма и профиль заряда каждо-го ромбовидного источника идентичны. Общий интегральный заряд системы равен 0.

Рассмотрим пятиугольную конфигурацию источников на рис.1, проиллюстрированную двусторонней s-проекцией на плоскость (x; 0; z) гиперповерхности, как пример одной такой компактной конфигурации с положительной энергией с чистым движением vz = vs. Конфигурация такова, что пространственные волновые фронты, распространяющиеся от крайних левых лучей, создают широкую область высокого уровня и уровня Nz в центре, заканчивающуюся на крайней правой паре лучей противоположной плотности, а остальные источники организованы для прекращения паразитных ветвей волнового конуса, рис. 2.

Рис.2. Проекция компонент вектора сдвига Nz (слева) и Nx (справа) вдоль (x; 0; z).  Направление распространения солитона слева направо по оси z. Многосекционная структура является явным отличием от солитонной модели с одним цилиндром в [1] и [11]. Суммарный интегральный сдвиг в каждом направлении равен 0.
Рис.2. Проекция компонент вектора сдвига Nz (слева) и Nx (справа) вдоль (x; 0; z). Направление распространения солитона слева направо по оси z. Многосекционная структура является явным отличием от солитонной модели с одним цилиндром в [1] и [11]. Суммарный интегральный сдвиг в каждом направлении равен 0.

Чистый гиперболический источник солитона равен нулю.

Отдельные источники сформированы в виде ромбов в 2D-проекции, так что граничные линии расположены под углом между траекториями гиперболического конуса волнового фронта и плоскостью z-константы с целью удовлетворения "правила неотрицательной энергии" выше. Видно, что перпендикулярные компоненты вектора сдвига исчезают в центральной области, в то время как параллельная составляющая в той же области также очень ровная, но не равна нулю.

Спокойная область в центре солитона почти свободна от приливных сил, где эйлеровы наблюдатели движутся, по сути, по прямым линиям при vrel = Nz(0) - vo относительно солитона. Это контрастирует с изменчивой границей, где существуют области, в которых вектор сдвига может быть намного больше по размеру и расходиться по направлению. Вектор суммарного сдвига солитона равен нулю.

Связь между скоростью солитона должна согласовываться с вектором сдвига центральной области солитона (vs = Nz (0,0)), поскольку эйлеровы наблюдатели в центральной области затем будут перемещаться по временным кривым с надлежащим согласованием скорости движения вдали от солитона, dτ = dt. В этом случае характер движения солитонов для наблюдателей в центральной области соответствует описанному в [1].

Рис.3. Проекция локальной плотности энергии уравнения (17) вдоль (x; 0; z).  Направление распространения солитона слева направо по оси z. В плотности энергии преобладают области, содержащие гиперболический источник, но она также слабо распространяется до границ волновых фронтов. Плотность энергии везде положительна и, следовательно, удовлетворяет условию слабой энергии.
Рис.3. Проекция локальной плотности энергии уравнения (17) вдоль (x; 0; z). Направление распространения солитона слева направо по оси z. В плотности энергии преобладают области, содержащие гиперболический источник, но она также слабо распространяется до границ волновых фронтов. Плотность энергии везде положительна и, следовательно, удовлетворяет условию слабой энергии.

Плотность энергии солитона определена положительно на рис. 3. Каждый ромбовидный источник конструируется индивидуально так, чтобы иметь всюду положительную плотность энергии и иметь положительную плотность энергии в присутствии других источников ромбов того же типа, размера и ориентации. Таким образом, можно собрать воедино множество других решений из этих элементов гиперболического источника. Полная энергия, необходимая для солитонов с положительной энергией, полностью соответствует требованиям работы [3] применительно к решению Алькубьерре (22).

Для солитонов, у которых радиальная протяженность центральной области R намного больше, чем толщина нагруженной плотностью энергии граничной оболочки w (w<< R), энергия оценивается как (23), где C - форм-фактор, обычно порядка единицы. Требуемая энергия для солитона с положительной энергией с радиусом центральных областей R = 100 ми средней толщиной источника вдоль оси z w = 1 м приближается к массовому эквиваленту Etot, что составляет ту же величину, что и оценка работы [3] для решения Алькубьерре тех же размеров, но без неопределенностей, связанных с тем, где можно было бы получить энергию.

Оценка решения Алькубьерре, полученная за счет естественных сил Казимира, намного выше, порядка минус 6*10^62 Vs кг, что требует уменьшения толщины границы до нескольких сотен планковских длин. Однако неизвестны такие условия естественности, ограничивающие энергию напряжения, приводящую к решениям с положительной энергией. Кроме того, многие солитонные решения были сделаны после работы [5]. [1], что значительно улучшило общие требования к отрицательной энергии [7, 10, 19, 16, 17]. Некоторые из этих подходов могут обеспечить значительную экономию энергии для солитона с положительной энергией.

Объемное расширение гиперповерхности, рассчитанное здесь по следу внешней кривизны θ = K, можно найти на рис. 4.

Рис.4. Проекция коэффициента локального объемного расширения вдоль (x; 0; z). Направление распространения солитона слева направо по оси z. Положительный и отрицательный факторы расширения в значительной степени связаны с отрицательными и положительными гиперболическими источниками соответственно. Ненулевой коэффициент расширения также существует в пространствах между гиперболическими ис-точниками вдоль гиперболических волновых фронтов. Общий интегральный коэффициент расширения равен 0.
Рис.4. Проекция коэффициента локального объемного расширения вдоль (x; 0; z). Направление распространения солитона слева направо по оси z. Положительный и отрицательный факторы расширения в значительной степени связаны с отрицательными и положительными гиперболическими источниками соответственно. Ненулевой коэффициент расширения также существует в пространствах между гиперболическими ис-точниками вдоль гиперболических волновых фронтов. Общий интегральный коэффициент расширения равен 0.

Объемное расширение солитона с положительной энергией является сложным, включая расширения и сжатия со всех сторон центральной области.

Решение [1] имеет только один отрицательный лепесток расширения на переднем фронте солитона и один положительный лепесток расширения на заднем фронте. Наибольшие значения для солитона с положительной энергией совпадают с источниками плотности энергии-импульса, в отличие от решения [1] где плотность энергии и коэффициент расширения равны θ и максимально разделены на границе солитона. Кроме того, наибольшие положительные и отрицательные доли солитона положительной энергии коррелируют с отрицательными и положительными гиперболическими источниками соответственно. Оба решения имеют чистое расширение в 0.

Видно, что условия импульса при векторном потенциале гиперболического сдвига обращаются в нуль (24), подразумевая тривиальную чистую связь энергии-импульса относительно свободно падающих эйлеровых наблюдателей. Источники с несколькими видами могут удовлетворять нулевому чистому потоку импульса, в то время как каждое разнообразие нестатично. В качестве многовидового источника энергии-импульса в этой статье выбирается электрическая плазма, состоящая из массивной жидкости и электромагнитных полей, условия которых исследуются далее в следующем разделе.

4. Солитонно-плазменная динамика

В этом разделе описаны условия, необходимые для того, чтобы электропроводящая плазма смогла сгенерировать солитон с положительной энергией. Динамика гиперболического потенциала или, что то же самое, гиперболического источника может быть задана следом уравнения Эйнштейна (10).

Скаляр Риччи уравнения (11) в условиях предыдущего раздела становится равен (25).

Энергия-импульс системы «плазма» плюс «электромагнитные поля» имеет вид (26), где ρm - массовая плотность плазмы, p - давление плазмы, uα - компоненты поля скорости плазмы, Fμν - компоненты тензора антисимметричной напряженности электромагнитного поля. Тогда условие трассировки (взятия следа тензора Риччи-Эйнштейна) выглядит следующим образом (27), так, что со стороны энергии-импульса включает только массивную жидкость, поскольку энергия электромагнитного поля не имеет следов. Кроме того, обратите внимание, что условия энергии и импульса включают плазму, электромагнитные поля, а также вектор сдвига. Далее отметим, что условия энергии и импульса включают плазму, электромагнитные поля, а также вектор сдвига (28), где Ei - компоненты 3-вектора электрического поля, а Bi - компоненты псевдо-3-вектора магнитного поля. Уравнение следа используется здесь для исследования взаимосвязи массы жидкости, плотности и давления, поскольку скорость солитона уже была установлена. В их комбинации следов (27) ρm - 3p может принимать как положительные, так и отрицательные значения, ограниченные уравнением состояния жидкости.

Ленц, формулы (27)-(29).
Ленц, формулы (27)-(29).

Рассматриваемые здесь солитоны, скорость которых соответствует центральному вектору сдвига (vs = Nz (0; 0)), имеют след, который согласуется с жидкостью, удовлетворяющей уравнению состояния p ≤ ρ (рис. 5), что находится в пределах физически приемлемого диапазона [23].

Рис.5. Проекция следа тензора Эйнштейна из уравнения 27 вдоль (x; 0; z). Распространение решения принимается равномерным, со скоростью, соответствующей вектору сдвига в цен-тральной области, vs = Nz(0; 0).
Рис.5. Проекция следа тензора Эйнштейна из уравнения 27 вдоль (x; 0; z). Распространение решения принимается равномерным, со скоростью, соответствующей вектору сдвига в цен-тральной области, vs = Nz(0; 0).

В дополнение к поддержанию условий энергии, импульса и следов для стационарного движения плазма должна удовлетворять своим собственным условиям. К ним относятся: уравнения Максвелла для электрического и магнитного полей, уравнения сохранения и динамики для массового компонента плазмы, уравнение состояния для давления и дополнительные соотношения между плотностями массового и электрического тока. Этих условий достаточно для определения всех состояний плазмы, а это означает, что геометрические условия в общем случае нельзя использовать для определения состояния среды без чрезмерных ограничений, поскольку существует только одно геометрическое поле и несколько независимых геометрических условий.

В дополнение к условиям энергии и импульса, обсуждавшимся выше, принцип причинности часто используется в качестве предварительного условия для релятивистской плазмы и часто проверяется с использованием основного энергетического условия.

Основное энергетическое условие соблюдается субсветовыми солитонами до тех пор, пока величина вектора сдвига меньше единицы во всех областях (NiNi <1). При более высоких скоростях (гиперсветовых!) солитон начинает формировать горизонты между своими областями распространения (доменами) и внешним вакуумом.

Для дальнейшего определения решения более чем дюжины степеней свободы плазмы, удовлетворяющих состоянию солитона, и чтобы исследовать проблемы горизонта, присущие этому и всем другим теоретически допустимым сверхсветовым солитонам, потребуются выкладки, выходящие за рамки данной статьи. Таким образом, можно сказать, что состояние плазмы согласуется с геометрией солитона. На следующем шаге исследований необходимо лишь найти правильную конфигурацию.

5. Выводы

В этой статье показано, что общая теория относительности теоретически допускает существование сверхсветовых солитонов, удовлетворяющих как условию слабой энергии, так и условиям импульса для обычных источников энергии-импульса. Это первое известное решение такого рода, поскольку предыдущие сверхсветовые солитоны требовали большого количества отрицательной энергии.

Представленные здесь геометрии солитонов с положительной энергией отличаются от рассмотренных другими авторами тем, что они подчиняются гиперболическому соотношению между компонентами вектора сдвига в форме волнового уравнения на связанной пространственно-подобной гиперповерхности, тогда как ранее рассматривались только линейные или эллиптические отношения. Солитоны были дополнительно сконструированы так, чтобы содержать центральную область с минимальными приливными силами, где собственное время совпадает с асимптотическим координатным временем, и любой эйлеров наблюдатель в центральной области оставался бы неподвижным по отношению к солитону. Динамика движения представленных солитонов положительной энергии аналогична солитонам решения Алькубьерре.

Представленные солитоны не только являются первыми решениями в своем роде с положительной энергией, но и служат убедительным контр-примером утверждениям в литературе о том, что сверхсветовое пространство-время должно нарушать условие слабой энергии [6, 13].

Чтобы противопоставить настоящий солитон с положительной энергией и предыдущие доказательства, нужно понимать, что предварительные условия этих доказательств ограничиваются геометриями с одним кратчайшим причинным путем. Не известно существуют ли обобщения доказательств на обширные сверхсветовые механизмы. Предыдущие сверхсветовые солитоны, такие как решения Алькубьерре и Натарио, могут быть приведены в соответствие с этим условием, поскольку их структуры допускают точечный предел внутренней части, где установится самый быстрый причинный путь. Напротив, пример с положительной энергией должен иметь нетривиальный характер. Подобные точечные пределы солитонов с положительной энергией разрушили бы геометрию до вакуума Минковского, что является ожидаемым результатом, поскольку компоненты вектора сдвига, как видно, интегрируются до нуля. Таким образом, солитон с положительной энергией, по-видимому, обходит критерии [6] и [13].

Было обнаружено, что условия энергии и импульса представленных геометрий с положительной энергией соответствуют плазме без чистого потока импульса. След уравнения Эйнштейна, единичные динамические условия, которые определяют потенциал вектора гиперболического сдвига, использовался для определения асимптотики уравнения состояния плазмы вместо того, чтобы уже установить стационарную скорость солитона. Геометрические условия в плазме зависят от собственных динамических уравнений плазмы, которые включают уравнения движения и определяющие соотношения, как для массивной жидкости, так и для электромагнитных полей.

Полная энергия, необходимая для солитонов с положительной энергией, оказывается того же порядка, что и у исходного солитона Алькубьерре под действием тех же условий соотношения толщины оболочки к диаметру, с энергией для солитона небольшого радиуса R = 100 ми толщины оболочки w = 1 м, требующей: Etot порядка 0,1Мс(Vs/c) - эквивалента в десятых долей массы Солнца!

Эта энергия, хотя и огромная, интригует, поскольку было сделано много достижений в снижении требуемой энергии солитонов с отрицательной энергией, которые могут быть одинаково эффективны для этого нового класса решений. Следующая задача - довести энергетические потребности солитона с положительной энергией до «человеческого» технологического уровня.

Как только потребность в энергии снижается, пространственно-временные характеристики солитонов с положительной энергией могут быть изучены в лабораторных условиях с использованием существующих или новых методов.

Например, предыдущие интерферометрические поиски сверхбыстрых солитонов могут быть переработаны для поиска гораздо более мощного сигнала солитона с положительной энергией [17, 24]. Сильно намагниченная энергетическая и неоднородная атмосферная плазма магнитаров также может быть естественным местом для поиска признаков геометрии солитонов с положительной энергией еще до достижений в области снижения энергии. Для теории это привлекательное предложение - включить степень и динамику плазмы в геометрические вычисления. Можно будет самосогласованно моделировать фазы создания, распространения и разрушения солитона как на суб-, так и на сверхсветовых скоростях. Другие направления включают дальнейшую оптимизацию решений по требованиям к энергии и другим компромиссам, расширение геометрии солитона для включения «полезной нагрузки» в центральную область солитона и изучение проблем формирования горизонта при переходе к сверхсветовым скоростям. Однако разработка моделей и конфигураций плазмы наряду с геометрией в целом потребует крупномасштабных «численных усилий». К счастью, в преддверии грядущей эпохи гравитационно-волновой астрономии и высокоточной космологии на практике уже разработан целый ряд численных методов ОТО, которые все в большей степени способны описывать массивные жидкости и калибровочные поля в релятивистском пространстве-времени.

Библиографические ссылки:

[1] Alcubierre M 1994 Classical and Quantum Gravity 11 L73-L77

URL https://doi.org/10.1088%2F0264-9381%2F11%2F5%2F001

[2] EverettA E 1996 Phys. Rev. D 53(12) 7365-7368

URL https://link.aps.org/doi/10.1103/PhysRevD.53.7365

[3] Pfenning M J and Ford L H 1997 Classical and Quantum Gravity 14 1743-1751

URL https://doi.org/10.1088%2F0264-9381%2F14%2F7%2F011

[4] Hiscock W A 1997 Classical and Quantum Gravity 14 L183-L188

URL https://doi.org/10.1088%2F0264-9381%2F14%2F11%2F002

[5] Krasnikov S V 1998 Phys. Rev. D 57(8) 4760-4766

URL https://link.aps.org/doi/10.1103/PhysRevD.57.4760

[6] Olum K D 1998 Phys. Rev. Lett. 81(17) 3567-3570

URL https://link.aps.org/doi/10.1103/PhysRevLett.81.3567

[7] Broeck C V D 1999 Classical and Quantum Gravity 16 3973-3979

URL https://doi.org/10.1088%2F0264-9381%2F16%2F12%2F314

[8] Millis M G 1999 Acta Astronautica 44 175-182 ISSN 0094-5765 missions to the Outer Solar System and Beyond

URL http://www.sciencedirect.com/science/article/pii/S0094576599000454

[9] Visser M, Bassett B and Liberati S 2000 Nuclear Physics B - Proceedings Supplements 88 267-270 ISSN 0920-5632

URL http://www.sciencedirect.com/science/article/pii/S0920563200007829

[10] Loup F,Waite D and Halerewicz E J 2001 arXiv e-prints gr-qc/0107097 (Preprint gr-qc/0107097)

URL http://www.jbis.org.uk/paper.php?p=2013.66.242

[11] Natario J 2002 Classical and Quantum Gravity 19 1157-1165

URL https://doi.org/10.1088%2F0264-9381%2F19%2F6%2F308

[12] Gauthier C, Gravel P and Melanson J 2002 International Journal of Modern Physics A 17 2761

[13] Lobo F and Crawford P 2003 Weak Energy Condition Violation and Superluminal Travel vol 617

[14] Lobo F S N and Visser M 2004 Classical and Quantum Gravity 21 5871-5892

URL https://doi.org/10.1088%2F0264-9381%2F21%2F24%2F011

[15] Lobo F S N 2008 Classical and Quantum Gravity Research arXiv:0710.4474 (Preprint 0710.4474)

[16] Obousy R K and Cleaver G 2008 Journal of the British Interplanetary Society 61 364-369 (Preprint 0712.1649)

[17] White H 2013 Journal of the British Interplanetary Society 66 242-247

[18] DeBenedictis A and Iliji_c S 2018 Classical and Quantum Gravity 35 215001

URL https://doi.org/10.1088%2F1361-6382%2Faae326

[19] Krasnikov S 2003 Phys. Rev. D 67 104013 (Preprint gr-qc/0207057)

[20] Arnowitt R, Deser S and Misner C W 1959 Phys. Rev. 116(5) 1322-1330

URL https://link.aps.org/doi/10.1103/PhysRev.116.1322

[21] Misner C W, Thorne K and Wheeler J 1973 Gravitation (San Francisco: W. H. Freeman) ISBN 978-0-7167-0344-0, 978-0-691-17779-3

[22] Bardeen J M and Piran T 1983 Physics Reports 96 205- 250 ISSN 0370-1573

URL http://www.sciencedirect.com/science/article/pii/0370157383900698

[23] Neilsen D W and Choptuik M W 2000 Classical and Quantum Gravity 17 733-759 (Preprint gr-qc/9904052)

[24] Lee J S and Cleaver G B 2016 Physics Essays 29 201206 ISSN 0836-1398

URL http://dx.doi.org/10.4006/0836-1398-29.2.201

Awakening of the Universe _ Пробуждение Вселенной - BEL Suono – смотреть видео онлайн...