Добавить в корзинуПозвонить
Найти в Дзене
МаТеМеМиКа

АРИФМЕТИЧЕСКАЯ ПРОГРЕССИЯ. Что это такое?

Привет.
Пусть у нас есть следующий ряд чисел:
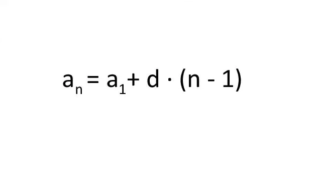
2, 4, 6, 8, 10... Видно, что каждый следующий отличается от предыдущего на 2. Такая последовательность, у которой каждый следующий член больше на одно и тоже число, чем предыдущий член, называется арифметической прогрессией, вот эта двойка называется разностью арифметической прогрессии. Давайте выведем общую формулу для нее. Пусть а1, а2,... аn - члены этой прогрессии, . То, а2=а1+d, где d - наша разность геометрической прогрессии. Далее, а3=а2+d=a1+d+d=a1+2d. И получаем, что для произвольного члена формула следующая: На самом деле, она очень часто встречается как в нашей жизни, так и в математике. Например, множество натуральных чисел есть арифметическая прогрессия, где d=1.
С арифметической прогрессией связана одна легенда про одного выдающегося математика Карла Гаусса. Согласно легенде, школьный учитель математики юного Гаусса, чтобы занять детей на долгое время, предложил им сосчитать сумму чисел от 1 до 100. Гаусс заметил, что попарные

Привет.
Пусть у нас есть следующий ряд чисел:
2, 4, 6, 8, 10... Видно, что каждый следующий отличается от предыдущего на 2. Такая последовательность, у которой каждый следующий член больше на одно и тоже число, чем предыдущий член, называется арифметической прогрессией, вот эта двойка называется разностью арифметической прогрессии. Давайте выведем общую формулу для нее. Пусть а1, а2,... аn - члены этой прогрессии, . То, а2=а1+d, где d - наша разность геометрической прогрессии. Далее, а3=а2+d=a1+d+d=a1+2d. И получаем, что для произвольного члена формула следующая:

На самом деле, она очень часто встречается как в нашей жизни, так и в математике. Например, множество натуральных чисел есть арифметическая прогрессия, где d=1.
С арифметической прогрессией связана одна легенда про одного выдающегося математика Карла Гаусса. Согласно легенде, школьный учитель математики юного Гаусса, чтобы занять детей на долгое время, предложил им сосчитать сумму чисел от 1 до 100. Гаусс заметил, что попарные суммы с противоположных концов одинаковы:
1+100=101, 2+99=101 и т. д., и мгновенно получил результат: 5050. То есть, по сути молодой математик получил формулу суммы арифметической прогрессии, не подозревая об этом:

-2

Сегодня мы познакомились с понятием арифметической прогрессии, а также узнали, как найти ее член под любым номером, и научились считать сумму конечной арифметической прогрессии. Подписывайтесь на канал, ставьте лайки, пишите свои комментарии. Также предлагайте темы для будущих разборов.

-3

Пока.

#школа #ЕГЭ #егэ2023 #егэматан #егэпрофиль #матан #профиль #математика #математикапрофиль