Найти в Дзене

DCF Model или Дисконтирование Денежных Потоков

Что же такое дисконтирование или DCF модель. Аббревиатура DCF расшифровывается как Discounted cashflow, что означает Дисконтированный Денежный Поток. Эта модель используется для определения денежных потоков бизнеса основываясь на оценивание будущих денежных потоков. Используя эту модель мы оцениванием будущие денежные потоки в настоящей ценности. Но для чего же используется DCF модель? Допустим у вас есть 10,000$, есть вариант ничего не делать, оставить деньги на депозите под процентную ставку равную инфляции, или инвестировать. Если вы ничего не делаете, ценность ваших денег будет падать из-за инфляции. Если оставить деньги на депозите под процентную ставку равную инфляции то вы будете терять меньше или не терять вообще (маловероятно). Если инвестировать, то есть шанс что вы заработаете. DCF позволит вам оценить будущие денежные потоки компании в которую вы хотите инвестировать, включая такие факторы как инфляцию, риски, альтернативные доходы и т.д. Соответственно оценить заработае

Что же такое дисконтирование или DCF модель. Аббревиатура DCF расшифровывается как Discounted cashflow, что означает Дисконтированный Денежный Поток. Эта модель используется для определения денежных потоков бизнеса основываясь на оценивание будущих денежных потоков. Используя эту модель мы оцениванием будущие денежные потоки в настоящей ценности.

Но для чего же используется DCF модель? Допустим у вас есть 10,000$, есть вариант ничего не делать, оставить деньги на депозите под процентную ставку равную инфляции, или инвестировать. Если вы ничего не делаете, ценность ваших денег будет падать из-за инфляции. Если оставить деньги на депозите под процентную ставку равную инфляции то вы будете терять меньше или не терять вообще (маловероятно). Если инвестировать, то есть шанс что вы заработаете. DCF позволит вам оценить будущие денежные потоки компании в которую вы хотите инвестировать, включая такие факторы как инфляцию, риски, альтернативные доходы и т.д. Соответственно оценить заработаете вы или нет. Если стоимость компании составляет 1 млрд$ в 2022 и 1 млрд$ в 2028 году, это будет означать что вы с большой вероятностью потеряете на данной сделке. Ценность 1млрд в 2028 году будет меньше чем в 2022 из-за инфляции и других факторов. Для того чтобы посчитать будущую стоимость чего либо, можно посчитать терминальную стоимость (Terminal value), уже после того как произвели дисконтирование.

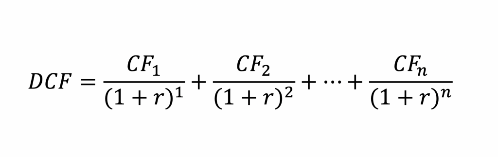
Рассмотрим формулу DCF.

Нужно понять что в данной формуле мы суммируем каждый поток по отдельности. К примеру, мы хоти сделать DCF в течении 3х лет, то мы годовой денежный поток, должны подставить в формулу по отдельности и просуммировать. Т.е. вот так. В данном случае год (i) уже подставлен в виде от нуля до n значении. В вашем случае, n значение будет конечный год в вашей модели.

DCF в другом виде
DCF в другом виде

Пример DCF в Excel.
Пример DCF в Excel.

В 99% случаев, DCF составляется в Excel.