Добавить в корзинуПозвонить
Найти в Дзене

ПУТЬ К ВЕЧНОСТИ, КОТОРАЯ ЕСТЬ СВЕТ

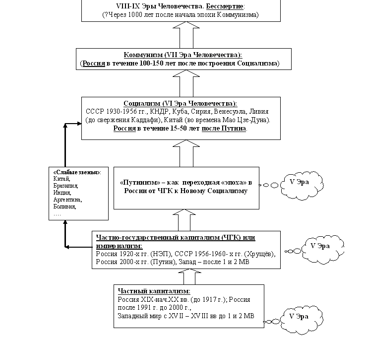
Части II...IV (окончание) Часть 2. Свеча во мраке Преисподней: судьба России[1] И я, как весну человечества, Рождённую в трудах и в бою – Пою моё Отечество, Республику мою! Владимир Маяковский Следующая условная схема, построенная автором, иллюстрирует основные этапы развития человеческого общества и России, начиная с XVII столетия (c момента первой буржуазной революции в Нидерландах). Развитие человечества по этой схеме отображается условным движением снизу вверх. Исходя из данной схемы, сильно упрощающей действительное положение вещей во всём многообразии деталей, но, по сути, верно отражающей главные тенденции развития России и человечества, мы видим, что Россия в течение XX столетия прошла очень тяжёлый и извилистый путь. На этом пути наряду с рывками и опережающим развитием соседствуют периоды истории с попятным движением. Так от частного капитализма XIX – начала XX века, пройдя через революцию 1917 г., Россия в 1920-е гг. достигла следующей стадии развития, которую можно было
Оглавление

Части II...IV (окончание)

Вид на церковь Всех Святых на Новосормовском кладбище. Нижний Новгород, 2020 год.
Вид на церковь Всех Святых на Новосормовском кладбище. Нижний Новгород, 2020 год.
Верую я в Россию!
Анастасий Маяковский24 октября 2020

Часть 2. Свеча во мраке Преисподней: судьба России[1]

И я, как весну человечества,

Рождённую в трудах и в бою –

Пою моё Отечество,

Республику мою!

Владимир Маяковский

Следующая условная схема, построенная автором, иллюстрирует основные этапы развития человеческого общества и России, начиная с XVII столетия (c момента первой буржуазной революции в Нидерландах).

Развитие человечества по этой схеме отображается условным движением снизу вверх.

Схема восхождения к Вечности, которая есть Свет. Первоначальный вариант.
Схема восхождения к Вечности, которая есть Свет. Первоначальный вариант.

Исходя из данной схемы, сильно упрощающей действительное положение вещей во всём многообразии деталей, но, по сути, верно отражающей главные тенденции развития России и человечества, мы видим, что Россия в течение XX столетия прошла очень тяжёлый и извилистый путь. На этом пути наряду с рывками и опережающим развитием соседствуют периоды истории с попятным движением.

Схема восхождения к Вечности, которая есть Свет. Итоговый вариант.
Схема восхождения к Вечности, которая есть Свет. Итоговый вариант.

Так от частного капитализма XIX – начала XX века, пройдя через революцию 1917 г., Россия в 1920-е гг. достигла следующей стадии развития, которую можно было охарактеризовать как частно-государственный капитализм, ключевыми элементами которого были НЭП и начало развитого государственного планирования экономики.

В 1930-50-е годы гений Сталина, опираясь на всемерную и невиданную прежде в истории единодушную поддержку широких масс советского (и, прежде всего – русского!) народа превратил некогда отсталую и нищую аграрную страну, справедливо названную Лениным «слабым звеном в цепи империализма», в мощную индустриальную сверхдержаву!

Это был колоссальный рывок к социализму, рывок из мрака и инфернальной беспросветности, в которой погрязла Западная цивилизация, безнадёжно застрявшая в Пятой Эре, в Шестую Эру человеческой истории, «в светлое Завтра, без слёз и оков».

[1] Переработанный отрывок из незаконченной книги автора «Поле битвы – Россия» (2015-2016 гг.).

Своеобразной ценой, которую заплатила наша страна за этот дерзновенный полёт духа, были те стратегические ошибки и отставание теории от практики общественного строительства, которые в конечном итоге привели к разрушению первой в мире социалистической державы – СССР силами внешних и внутренних врагов, на фоне молчаливого согласия большинства народа, превращённого буржуазными кукловодами с помощью изощрённых технологий манипуляции сознанием в безучастных к своей судьбе статистов.

С приходом к власти после смерти Сталина ренегата Хрущёва, наблюдается вновь период попятного движения нашей державы по историческому пути – отход от идеалов Социализма к меркантильно-мещанскому прозябанию, неожиданно получившего «второе дыхание» частно-государственного капитализма.

Я специально не указал в приведённой выше схеме почти двадцатилетний период истории СССР – с 1964 г. по 1982 г. Это сложный, противоречивый период, и расхожее прежде название «эпохи застоя» вряд ли справедливо и исчерпывающе может его охарактеризовать. С одной стороны мы наблюдали явный политический регресс – в виде беззубой парадигмы «мирного сосуществования», фактического отказа от идеологического противоборства с Западом, апофеозом которого был позорный сговор в Хельсинки в виде Заключительного акта совещания по безопасности и сотрудничеству СССР с США и Западом, подписанный Брежневым в августе 1975 г.

С другой стороны – значительные успехи в мирном освоении космоса, полёты первых международных экипажей в рамках программы «Интеркосмос» на орбитальных исследовательских станциях «Салют-6», «Салют-7» и «Мир», исследовательские полёты многочисленных автоматических межпланетных станций к Луне и Венере, совместные проекты созидательного характера со многими несоциалистическими странами…

Период правления Брежнева и дальнейшие события 1982-1986 гг., приведшие к власти в СССР ренегата Иудушку Горбачёва, подготовившие почву для буржуазного перерождения властной элиты СССР и руководства КПСС, я бы назвал условно «периодом накопления внутренних противоречий между развитием и деградацией».

СССР тогда как бы завис над инфернальной бездной. И высокопоставленные предатели из ЦК КПСС горбачёвского призыва, ярко отметившиеся на XXVII съезде, «втором антисъезде предателей»[1], в конце концов, его туда столкнули…

Период с 1985 по 1991 гг. я бы назвал «эпохой хитро организованной деградации» позднесоветского общества. Врагами СССР извне, «пятой колонной» изнутри (и особенно, скурвившейся партийной элитой) были задействованы все многочисленные механизмы, которые в итоге запустили системный индуцированный кризис доверия власти, апофеозом которого стал позорный август 1991 г., приведший к власти марионетку либерализма алкоголика Ельцина. В деталях эти механизмы достаточно хорошо исследованы и описаны С.Г. Кара-Мурзой («Потерянный разум», «Интеллигенция на пепелище родной страны» и др.).

Начиная с 1991 г. по 2000 г. в истории России действуют исторически регрессивные тенденции. Великая, в прошлом страна, явно идёт по попятному историческому пути – от социализма к частному («дикому») капитализму. И лишь затем, исчерпав свой «потенциал деградации», дважды достигнув при Ельцине нижней точки падения[2], в «эпоху» Путина восходит (или приподнимается), наконец, – к частно-государственному капитализму в его современной фазе (начало 2015 г.).

Прогрессивная роль Путина в истории заключается, на мой взгляд, и здесь надо отдать ему должное! – как раз в приостановке дальнейшей антиисторической деградации вплоть до распада государственности России. Путину удалось остановить эту деградацию, а также заложить фундамент будущего, пока ещё неясного и до конца неопределённого.

Политика – искусство возможного. Эта дефиниция, если не ошибаюсь, принадлежит Макиавелли. Тем более, международная политика. Я не назову Путина великим политическим деятелем масштаба Сталина или хотя бы Ивана Грозного. Его историческая роль, на мой взгляд, скромнее. Но искусство возможного как раз и состоит в том, чтобы шаг за шагом, исподволь, незаметно, но максимально использовать противоречия политических противников для укрепления могущества и влияния своей страны. Этот принцип в полной мере находит своё подтверждение в последних крупных внешнеполитических решениях Путина в 2014-2016 гг. Эти факты, без сомнения лучше всего подтверждают представители сил прямо враждебных России[3].

В первую очередь, успехи внешней политики Путина связаны с:

– событиями вокруг Сирии, а именно, с эффективным пресечением разрастания «гибридной» террористической войны, развязанной и активно финансируемой США и его ближневосточными сателлитами (Турция, Саудовская Аравия, Катар, Израиль и др.) против сирийского государства;

– предотвращением натовского вторжения в Сирию по образцу Югославии, Ирака и Ливии;

– поддержкой народных республик Донбасса в формате гуманитарной помощи, логистической координации и негласного военного руководства обороной, предотвративших прямое военное вмешательство и интервенцию (столь желательную и привычную для Запада!);

– историческим мирным воссоединением Крыма с Россией, которое как кость в горле всех без исключения мировых хищников и доморощенных русофобов…

Тем не менее, становится всё более очевидным, что частно-государственный капитализм с российской спецификой – это лишь, как следует из нашей истории 1920-х гг., отправная точка, точка отсчёта новой эпохи! И он отнюдь не является конечным пунктом развития!

Частно-государственный капитализм в России может и должен стать отправной точкой на пути к Новому Социализму – светлому порыву Духа из Инферно дня сегодняшнего в Шестую Эру.

Как конкретно произойдёт этот порыв, а точнее сказать, прорыв – нам покажет ближайшее будущее. Альтернативой данного прорыва может стать только гибель, отсроченная, растянутая на десятилетия или даже столетия мучительной деградации гибель человечества, как справедливо указывали в «Новом Социалистическом Манифесте» Павел Краснов и Александр Богатырёв.

Я полагаю, что переход в Шестую Эру произойдёт в России через развитие реального народовластия (практику Нового Социализма) и займёт около 15-30 лет, в случае спокойного развития событий на международной арене.

Постепенно, путём вытеснения, замены частно-государственных капиталистических отношений, отношениями планомерного сознательного хозяйственного самоуправления будет осуществлено доминирование «государственного капитализма» с единым централизованным собственником на средства производства в лице государственных монополий (таких, как «Газпром», «Алмаз-Антей», «Росатом» и т.п.). Это доминирование возможно, как в форме «ползучей национализации» стратегических отраслей национального хозяйства, так и в самых разнообразных видах целесообразного реформирования. Важную проблему представляет собой в этом плане грамотная взаимоувязка, динамическое балансирование интересов всех участников рабочего процесса, недопущение деструктивного конфликта интересов и его перерастания в разрушительный для страны антагонизм.

Предварительно необходима существенная чистка государственного управленческого аппарата. Люди некомпетентные, более того мотивированные на личное обогащение в ущерб интересам своей страны, «агенты влияния» должны быть обязательно отстранены от управления ресурсами страны и принятия важных решений. Наиболее вредные из них должны понести наказание (вплоть до уголовного – в соответствии со степенью тяжести совершённых деяний) и впредь не допускаться к государственной службе ни при каких обстоятельствах. Эти люди должны постоянно находиться под негласным контролем органов государственной безопасности, во избежание рецидива. Одновременно с этими мерами нужно постоянно готовить компетентные управленческие кадры, выдвигая наиболее способных из среды талантливой и патриотически настроенной молодёжи.

Резкие изменения к худшему внешнеполитической обстановки в мире, нарастание угроз агрессии Запада в любой форме (прежде всего, эскалации информационно-психологической войны, периодических кибератак на жизненно-важные информационные ресурсы, электронного шпионажа и экономических диверсий, внедрения целых групп тайных «агентов влияния» и т.д.), а не только в форме открытой военной конфронтации, на которую Запад вряд ли решится из-за неприемлемого для себя ущерба, вполне возможно, в ближайшие годы подтолкнут высшее государственное руководство России к более решительным реформам по схеме «целесообразной национализации».

В сельском хозяйстве возможно создание широкой сети обновлённого кооперативного движения, включающего в себя производителя и логистические каналы, а также целенаправленную льготированную поставку современной сельскохозяйственной техники, обучение сельской молодёжи, специалистов-аграриев передовым агроинженерным технологиям – под строгим контролем в лице специализированных государственных институтов целевого и рачительного использования техники, технологий и людских ресурсов.

Здесь одним из первых шагов к подлинной социально-экономической революции в сельскохозяйственном производстве можно считать опыт «народных предприятий», созданных в 2000-х гг., уже успешно работающих в Белгородской, Орловской и Курской областях и дающих высококачественную продукцию[4].

Следующий этап – переход на базе широкого развития новой «российской» модели гражданского общества («русского мира»), в рамках развития специфических российских общественных институтов и концентрации средств производства в руках государственных структур к конечному желаемому состоянию – народовластию (Новому Социализму). Чтобы достичь этой цели нужно «воспитать сознательность», т.е. воспитать в людях, в первую очередь, в молодёжи сознательное стремление к созидательному и полезному труду – на общее благо. Здесь большую помощь должен оказать положительный опыт сталинского времени. Ошибки и заблуждения, которые привели социализм в тупик, должны быть тщательно проанализированы и найдены эффективные «технологии» совершенствования, наращивания и закрепления именно устойчивых положительных эффектов от морально-психологического воздействия на человеческое сознание. Профессия «социального инженера», специалиста по информационно-психологической безопасности должна стать одной из главнейших в будущем обществе народовластия. Потому что главное богатство любой страны – это люди, сознательные и разумные творцы её будущего. От их «качества» зависит судьба страны и будущих её поколений. Это богатство требует особой заботы всего общества.

Наши предки, несмотря на все громадные трудности, смогли «переступить через невозможное», создать за исторически короткий срок мощную передовую сверхдержаву, образец для подражания всему миру, прообраз справедливого и разумно устроенного общества.

Однако, в силу ряда сложнейших причин, в числе которых не последнюю роль сыграли и нечеловечески трудные испытания на прочность двумя жестокими войнами и предательство «верхов» – произошло «перенапряжение» материала, которое привело к его «усталости» и в итоге – способствовало разрушению всего общественного «здания» от воздействия как внутренних «силовых факторов», так и «внешней нагрузки»…

Необходимо повторить опыт, обладая новым знанием, новыми технологиями. Для этого есть всё необходимое. И, я не без основания полагаю, что и достаточное. Нужна воля, сильная воля национального лидера, который найдёт наиболее подходящий путь к сердцам и умам людей, созвучный их коренным жизненным интересам, как в своё время это умело сделали великие люди ушедшей эпохи – Ленин и Сталин.

Поэтому, я могу с уверенностью предположить, что в этот исторический период созидания основ новой Эры почти неизбежно появление в России человека, или влиятельной группы людей – сильных, цельных, убеждённых, целеустремлённых личностей и выход их на арену политической борьбы за спасение Родины и, в конечном итоге – за спасение остального человечества от инфернальности Нового мирового Порядка, навязываемого человечеству Западом.

Одно, на мой взгляд, является несомненным: ближайшее будущее станет наполнено чередой ярких драматических событий. О чём свидетельствует новейший опыт Новороссии – этой твердыни Русского мужества и символа несгибаемости Русского Духа в отчаянной борьбе с силами мирового Инферно – бессильными в своей злобной ярости изменить историю демонами Ветхого Мира Пятой Эры…

Лирическое отступление. «Бегство от заблуждений»[5]

В течение 2014-2015 гг. автор этой книги особенно пристально и вдумчиво наблюдал за «революционно-патриотическими» ресурсами Рунета, в особенности за претенциозным сайтом «Общественного движения 9 мая», которое было создано где-то на рубеже 2009-2011 гг.

Под свои знамёна идеологи «ОД 9 мая» пытались собирать активную молодёжь и строить сеть региональных ячеек.

Главным их программным документом доктринального характера стал «Русский Завет», опубликованный на их сайте.

Как показывает анализ этого текста, он представляет собой довольно слабый, «рыхлый» как в идеологическом, так и в практическом плане набор псевдопатриотических лозунгов, сочинённый «на скорую руку» какими-то энтузиастами «Мировой антибуржуазной революции», либо искусно притворяющимися провокаторами.

В процессе изучения этих своеобразных «соратников», автором был поставлен натурный эксперимент, в ходе которого не на шутку «заболев» идеологией «Красного Сопротивления» буржуазному мироустройству, и откликнувшись на призыв авторитетных камрадов-«девятомайцев» Святкина, Сергия Русского и иже с ними, «предлагать толковые идеи и нести их в массы», был в итоге самостоятельно разработан следующий стратегический план, который и был доведён до основных персонажей пресловутого (как оказалось позднее!) «Красного Дурдома».

Ниже я привожу один из вариантов такого плана в виде следующей морфологической таблицы.

[1] По аналогии с XVII съездом ВКПб 1934 г. – «съездом победителей»; первым «антисъездом» предателей был XX съезд КПСС (1956 г.), вознёсший на вершину власти ренегата Иудушку Хрущёва.

[2] В 1993-1996 гг и в 1998-1999 гг. В это же примерно время на Западе появился своего рода Compendium Liberasti – «высокоучёный» талмуд некоего Де Будона «Падение России» (переведённый также на русский язык), автор которого пытался доказать ублюдочность Русского мира. Напрочь забыв, как и все махровые манипуляторы-демагоги, о фееричной ублюдочности Запада, подтверждённой всей его 2000-летней историей – со времён поздней Римской Империи и до конца XX столетия. И ещё более подчёркивают ублюдочность западной цивилизации войны, которые были ею развязаны в новейшей истории – уже в XXI веке против Ливии, Ирака, Египта, Сирии и т.д.

[3] И нечего тут притягивать «муди к бороде», как это делают девятомайские долбоёбы (Антонофф и пр.), то бишь – городить чушь о глобальном «жидо-масонском» полит-спектакле.

[4] И санкции западных стран против России этому только помогают.

[5] О том, как автор «лоханулся», чуть было всерьёз не связавшись с провокаторами/идиотами и политическими мудаками из «ОД 9 мая» и «Русского Проекта».

СП НСР-1 ч
СП НСР-1 ч
СП НСР-2 ч
СП НСР-2 ч
СП НСР-3 ч
СП НСР-3 ч

В развитие вышеизложенного стратегического плана, автор предложил также краткий сценарий реагирования оперативно-тактического характера. Вот он – ниже. Подчёркиваю, всё это было доведено до двух вышеупомянутых лидеров «ОД 9 мая» через личные сообщения и адреса электронной почты.

«После наступления момента Х (БП или острый кризис в верхах) следует в первую очередь осуществить следующее.

1. Добиться захвата инициативы в управлении страной (по примеру того, как это в своё время сделали большевики), введения режима чрезвычайного положения. Вся полнота власти передаётся Комитету спасения Родины (КСР) из активистов 9 мая и постоянных членов Совета Мудрых, желательно из числа военнослужащих офицерского состава, гражданских специалистов-производственников, авторитетных учёных и инженеров.

Пункт 1 необходимо осуществить в течение 3 суток с момента Х. Необходимо строго рассчитать силы и средства, обеспечить связь и координацию совместных действий. И нужен чёткий многовариантный оперативно-тактический план. Необходимо стремится при множестве существующих объективных ресурсно-технологических ограничений к минимизации силового воздействия (применения вооружённого насилия) и максимизации поддержки действий КСР населением России. Для этого нужен запуск единого информационно-боевого ресурса на базе защищённых региональных серверов в доменной зоне .RU (размещённых в городах-миллионниках) и обязательный захват управления телевизионными СМИ в Москве и городах-миллионниках. Проекты этих операций должны быть разработаны заранее.

2. Немедленно закрыть границы с внешним миром (кроме, разве что, Белоруссии). Погранвойска и все вооружённые силы приводятся в режим повышенной боеготовности. Нужен плотный контакт и союз с командирами лояльных воинских частей. Для этого уже сейчас следует постоянно проводить продуманную разъяснительную работу, искать среди них союзников, вербовать в свои ряды.

Пункт 2 – исполнение в течение 1 суток.

3. Использовать тактику декретирования: действие всех нормативных актов, принятых прежними властями, Госдумой, СФ приостанавливается до особого распоряжения, по наиболее важным вопросам принимаются декреты КСР для обеспечения текущего управления. В Конституцию РФ немедленно вносится пункт о верховенстве национальных законодательных актов, как выражающих коренные интересы народов России, над международными нормативными актами. Действие норм Конституции, декларирующих обратный принцип (верховенство международного права) немедленно приостанавливается до окончания Особого периода и разработки Новой Конституции.

Пункт 3 – исполнение в течение 1 суток одновременно с пп.1 и 2. Режим ЧП по всей стране – до особого распоряжения, жёсткое пресечение анархии, стихийных беспорядков. Для этого используются вооружённые отряды Красной Гвардии и Народного Ополчения, где возможно и целесообразно, ускоренно формируемые на базе местных органов правопорядка под контролем уполномоченных комиссаров КСР.

4. Все международные соглашения, ущемляющие коренные интересы народа России, аннулируются. Членство в ВТО особым декретом немедленно приостанавливается до окончания Особого периода и проведения всенародного референдума по вопросу отказа от этого членства.

Пункт 4 – исполнение в течение 1 суток, одновременно с пп.1 и 2.

5. Лица, противодействующие новой власти в лице КСР, подлежат немедленному аресту и заключению под стражу до выяснения степени их вины. Если вина очевидна – в отношении таких лиц незамедлительно принимается высшая мера социальной защиты (ликвидация явных врагов народа)[1].

Пункт 5 – исполнение в течение режима ЧП (Особого Периода – около 6-12 месяцев).

6. Реформирование органов власти, управления, законодательства, экономики, – в соответствии с реалиями и задачами построения социалистического общества. Планомерное и поэтапное. Приведённая выше таблица – один из вариантов такого стратегического плана.

В качестве инструмента планирования можно использовать методологию аналитического планирования по следующей технологической цепочке:

«образ желаемого будущего» → «цели» → «задачи» → «акторы» → «ресурсы» → «индикаторы» → «достижимое будущее» → «обратная связь через индикаторы» → «коррекция (уточнение) образа желаемого будущего».

Новая индустриализация стран Социалистического Союза Славянских Республик (Нового СССР) должна быть спланирована и проработана как достойный ответ на такой серьёзный вызов (внешний риск), как кризис конца ресурсов, создающий угрозу физическому выживанию и развитию человечества.

Угроза кризиса конца ресурсов (материальных ресурсов, прежде всего, запасов ископаемых углеводородов, от которых зависит большинство современных промышленных технологий) должна стать мощнейшим стимулом развития интеллектуальных ресурсов стран Нового СССР.

Предполагается, что за счёт этого фактора, целиком определяемого качеством «интеллектуального капитала» (в более широком смысле – интеллектуальных ресурсов нового социалистического общества) Новый социализм одержит окончательную победу над капитализмом и продемонстрирует всему миру реальное преимущество социализма, как альтернативного пути развития человечества, потенциально ведущего к Бессмертию. Конечности и исчерпаемости материальных ресурсов планеты Новый социализм должен противопоставить бесконечность и неисчерпаемость своих интеллектуальных ресурсов, понимаемых как единство интеллектов, воль и целей, делающих возможным достижение самых дерзновенных планов, актуализирующих функцию Бессмертия человеческой цивилизации.

Опыт сталинского СССР (и, прежде всего, опыт сталинской индустриализации 1930-х годов, успешно осуществлённой в аналогичных по жёсткости ограничениях на ресурсы и сходных по характеру и масштабам угроз новому обществу исторических условиях) даёт нам все основания сделать такое заключение.

Большевики смогли сделать невозможное – осуществить «бредовую» с точки зрения классического марксизма идею – победоносной социалистической революции в отсталой (по европейским, а, значит, и по марксистским меркам!) стране.

Они опирались на достаточно «плохой» человеческий материал, доставшийся им в наследие от капитализма и во многом неизжитых к началу XX столетия вековых традиций крепостного права, «перемешанных» с новым аграрным хищничеством (кулачеством). И, тем не менее, этот «материал» они смогли с умом «переплавить» и применить для созидательных целей, и – в первую очередь, мобилизовать для спасения России от стремительно надвигавшейся реальной угрозы гибели и расчленения империалистическими хищниками в лице государств Антанты.

Но главное – они смогли пробудить в этом «материале», скованные столетиями угнетения, творческие силы, невиданный взлёт которых дал возможность нашей стране:

– выстоять в условиях экономической блокады, интервенции и гражданской войны в 1920-х гг.;

– провести индустриализацию в 1930-х гг. и практически «с нуля» создать мощный промышленно-аграрный потенциал страны;

– победить германский фашизм – этот передовой ударный отряд мировой капиталистической реакции в 1941-1945 гг.;

– обеспечить послевоенное ускоренное возрождение разрушенного народного хозяйства;

– создать мощный обновлённый промышленный и военно-стратегический потенциал, гарантировавший на долгие десятилетия не только прочный мир на планете, но и стремительное развитие науки и техники, создание уникального «прочностного каркаса» техносферы, который фактически держит Россию до сих пор, вопреки всем сверхусилиям её разрушителей и ликвидаторов в лице паразитов новой компрадорской буржуазии.

Сталин и его верные соратники, правильно и мудро используя пробуждённые социалистической революцией силы русского народа и синергию кооперативного взаимодействия всех народов созданной «из ничего», на обломках Российской империи новой страны, смогли сделать то, что казалось по меркам Запада невозможным. Из отсталой аграрной полуколонии, рассыпанной по десяткам автономий и национальных окраин за исторически ничтожный срок – менее чем за 40 лет! создать невиданную в истории сверхдержаву – СССР. Создать «действующую модель» будущего объединенного в планетарном масштабе и сверхмощного общества, способного решать космические задачи, способного стать Бессмертным!

Отметим, что Сталин и его соратники работали отнюдь не в лучших, а зачастую намного худших условиях, чем те, в которых Россия находится сейчас! Но результат – и какой результат! – был налицо. Этого не могли не признать даже явные противники Советской власти, такие как, Франклин Делано Рузвельт, Уинстон Черчилль и Шарль де Голль.

Следовательно, этот бесспорный исторический факт даёт нам, сегодняшним патриотам и наследникам сталинского Великого Общего Дела, все основания для оптимизма, все основания быть уверенными в нашей будущей победе над косными силами социальной энтропии, сковавшей на время великий духом русский народ, а также над всеми без исключения внешними и внутренними врагами Родины.

Новый Социалистический Союз Славянских Республик должен будет стать своеобразным «странным аттрактором» исторических судеб стран остального мира, решивших (или ещё пока не решивших) покончить с капитализмом.

Отсюда следует, что новым лидерам СССР придётся всерьёз разрабатывать концепцию геополитического влияния Нового Социализма (в противовес убогой хрущёвской парадигме «мирного сосуществования»), которую я условно назвал бы парадигмой «притягивающего сосуществования». Должна быть создана специальная система идеологического обеспечения пропаганды достижений и социальных преимуществ Нового социализма, активного дезомбирования (включая разработку и активную пропаганду технологий защиты от манипуляции сознанием), разнообразные формы поддержки национально-освободительных сил в странах «третьего мира» и т.д.

Нашей главной задачей на сегодняшний момент я полагаю, является собрать воедино все силы и средства (как материальные, так и интеллектуальные и духовные) для перехода в решительное и победоносное наступление на Ветхий мир, мир капитализма, обречённого неизбежной гибели… Наступление скоро! Мы должны быть заранее к нему готовы, чтобы победить».

А вот другой характерный отрывок, переданный автором ключевым персонажам «девятомайского дурдома».

«Как я вижу в общих чертах подготовку и осуществление 3В[2]? Попробую сжато и в то же время, с необходимой степенью детализации ответить на этот непростой и архиважный вопрос.

Во-первых, крайне необходима в ближайшие 2-3 года активная «кристаллизация» идей Красного Сопротивления, и создание на базе этих идей единой идеологии – боевой, наступательной идеологии победителей. Эта идеология и должна стать мощнейшим духовным оружием Новой Социалистической Революции. В качестве «несущего каркаса» упоминаемой идеологии могу предложить мою концепцию видения будущего, проработанную в «Апологии Бессмертия», возможно дополненную и откорректированную в плане «боевитости» и мотивации её носителей.

Во-вторых, необходимо в ближайшие 5-6 лет построение сетевой децентрализованной структуры альтернативного управления страной на базе объединения совместных усилий честных профессионалов во всех сферах экономики, госуправления, силовых структур (и, прежде всего, армии).

Здесь понадобится серьёзная программа «вирусного» проникновения носителей новой идеологии во все уровни нынешнего аппарата управления страной, преодоления противодействия со стороны правящего режима, защиты, целеполагания и мотивации акторов[3]. Возможно, для этого потребуется большая часть ресурсов, выделяемых на подготовку 3В. Следует абсолютно ясно отдавать себе отчёт, что от успеха выполнения этой важнейшей задачи на 80% зависит успех 3В. Все акторы должны совершенно чётко представлять себе конечную цель своих действий и конкретные способы достижения этой цели активировать в соответствии с общим стратегическим планом, гибко реагируя на изменение оперативной обстановки. Этим будет обеспечена неуязвимость общей операции на стратегическом уровне. Необходима также тщательная координация «рабочих кластеров» 3В на основе сетевых моделей влияния и управления, теоретически разработанных Расторгуевым и Новиковым.

В-третьих, я считаю, что основной силой 3В и дальнейшего развития НСР должна быть молодёжь, т.е. специально обученные, мотивированные и подготовленные люди, основной костяк (или ядро) которых имеет возраст от 25 до 37 лет. Исключение (в смысле, более старшего возраста) могут составлять руководители отдельных рабочих групп и направлений. Впрочем, и правила и исключения должны в целом определяться боевой целесообразностью. В этом плане, на мой взгляд, следует прислушаться к отдельным предложениям товарища Домеровского[4], изложенным в ряде его интернет-лекций «Бремя империи». И взять их за основу, дополняя по мере необходимости другими плодотворными идеями…

В итоге мы должны получить следующее. В течение 5-7 лет создаются десятки и сотни рабочих групп, состоящих из малого количества «боеспособных», подготовленных, имеющих широкий набор специальных знаний и навыков наших сторонников и носителей идеологии Возрождения России, внедряемых в ткань действующей системы управления отраслями экономики, государственного управления, армии, прочих силовых структур. Сетевая организация управления и координации действий этих рабочих групп обеспечивает неуязвимость всей альтернативной структуры в целом. Текущая финансовая подпитка и развитие происходит в режиме самообеспечения, т.е. от традиционных источников (заработная плата и прочие легальные доходы акторов) плюс небольшая целевая «направляющая» часть – от Фонда Сопротивления (из членских взносов участников Общественных движений Красного Сопротивления).

В критический и наиболее благоприятный момент (наступление внешнего кризиса и ослабление политической власти нынешнего режима) эти рабочие группы (по сигналу из координирующих центров) фактически берут всю полноту власти и ответственности на себя, путём силового отстранения от власти и управления остатков структуры, лояльной прежнему политическому режиму. Такое уже было совершено врагами СССР при его разрушении в конце 1980-х – начале 1990-х гг. Почему бы нам критически не использовать их опыт «в обратную сторону», т.е. с целью созидания новой, могучей державы?

Попытки посеять хаос и панику в период кризиса власти, а также попытки вооружённого сопротивления НСР со стороны свергнутого буржуазного режима своевременно ликвидируются отрядами специально подготовленных и мотивированных бойцов Красной Гвардии, которые на первых порах (в течение Особого периода) играют роль особых внутренних силовых структур нового Социалистического государства и наделяются чрезвычайными полномочиями и соответствующей мерой ответственности за свои действия перед народом (возможно, в лице созываемого Высшего Народного Трибунала). Ну и т.д. по плану – я уже об этом кратко писал выше[5].

На мой взгляд, подобный сценарий обеспечил бы с минимальными людскими потерями захват власти и ресурсов в стране лидерами Красного Сопротивления, при приемлемом уровне поддержки народа. При этом следует учитывать, что возможно и даже неизбежно возникновение как внезапных, так и ожидаемых трудностей (социально-экономических и политических рисков) на пути реализации этого сценария. Поэтому, следует иметь ресурсные резервы (людские и материальные) и развитую программу действий по быстрому и решительному предотвращению негативных последствий для общего дела от рисков, возникающих и/или усиливающихся по мере продвижения к цели. Для этого вся система возможных рисков должна быть тщательно продумана, классифицирована и ранжирована по степени опасности. Здесь целесообразно использовать теоретико-прикладные разработки по риск-менеджменту социально-экономических систем, в частности, представленные в моих научных работах, а также в работах В.П. Бочарникова…

Пора нанести решительный и внезапный удар по Ветхому Миру, пока он ещё не осведомлён о наших планах и истинных намерениях. И ещё я бы хотел особо отметить. Крайне необходима грамотная защита «ядра» Оперативно-стратегического контура (ОСК) 3В. Целесообразно применить следующую архитектуру: «Внешний – Информационный контур» + «Защитный контур второго уровня» + «Ядро ОСК 3В с локальной внутренней защитой». Предлагаю использовать и развивать в этом плане идеи, изложенные в работах В. Расторгуева, Дм. Новикова и В.П. Бочарникова, а также в некоторых моих неопубликованных работах по риск-менеджменту сложноорганизованных систем.

Главное условие успеха в этом направлении – систематическая подготовительная работа по мере созревания текущей политической ситуации, а также отслеживание степени «остроты» противоречий по этой ситуации (по объективным социально-экономическим индикаторам и настроениям масс), для того, чтобы правильно выбрать наиболее подходящий стартовый момент для запуска «программы НСР».

Итак, я вижу три ключевые проблемы для реализации данного проекта[6]: трудности отбора и подготовки (в режиме непрерывного диалога) кадров для рабочих групп будущего 3В; трудности массового внедрения рабочих групп в действующие механизмы власти и управления; трудности защиты всей структуры от предателей и действий спецслужб. На этих направлениях и следует сосредоточить максимальные усилия, как теоретиков, так и практиков – сторонников Красного Сопротивления»…

Итог – адресаты всего этого «добра» даже ухом не повели и полностью проигнорировали такие «бомбы». Признаться, автор был поначалу удивлён и обескуражен такой странной реакцией.

Далее автор предложил ряд практических мер по созданию «Компендиума Красного Сопротивления», боевой идеологии для молодёжи и т.д.

Отправлены были семантическая карта книги (незаконченной, по причине, которую легко понять, прочитав до конца это лирическое отступление!) «Поле битвы – Россия», а также один из вариантов «Апологии Бессмертия», а позднее выложен (с сокращениями) один из рабочих вариантов «Апологии» и отрывков из «ПБР» на форуме.

Просмотров было до фига (около полутора тысяч или где-то так – согласно их счётчикам), была вялотекущая дискуссия на тему моего охранительства и т.п. смертных грехов, враждебные выпады отдельных не блещущих интеллектом персонажей в адрес автора («Укропа» и иже с ними). Был также отклик от одного из камрадов по электронной почте, затем постепенно интерес затух. Наконец, поняв в чём «собака зарыта», автор начал откровенно стебаться над Святкиным и его «учениками», в итоге – получил бан, что и подтвердило первоначальную гипотезу об искусственном характере персонажей, вместо реальных дел почти семь лет увлечённо играющих в красно-сопротивленческие ролевые игры и вовлекающих в своё откровенно идиотское действо многих бестолковых неофитов.

Не вдаваясь глубоко в подробности, могу сказать, что автор сделал для себя очень важный и единственно правильный вывод: с этими камрадами настоящим идейным «сопротивленцам» буржуазному миру никак не по пути. Если выразиться жёстче – к идиотам, провокаторам и политическим мудакам не имею и не хочу иметь никакого отношения!

В начале июня 2015 г. автор окончательно убедился в том, что сетевой ресурс ОД «9 мая» – своего рода площадка ролевых игр для невменяемых идиотов и провокаторов, активно косящих под «революционеров». Своими много раз на все лады муссируемыми бредовыми идеями-фикс о «тотальном жидо-буржуйском спектакле», враньём[7], информационными манипуляциями и невменяемыми воплями эти мерзавцы, просто-напросто опошляют здравые идеи Русского Завета и Красного Сопротивления, по сути, ни черта не делая вообще полезного.

Ещё раньше, где-то в 2014 – начале 2015 г., видимо плотно пообщавшись с такими личностями, как Святкин и иже с ним, к тому же мнению пришёл и Павел Краснов: «К идиотам из ОД «9 мая» не имеем никакого отношения». Так написал он у себя в блоге Русского Проекта примерно год назад.

Но, как известно, чем дальше в лес – тем больше дров и толще партизаны J. Последовательно анализируя в течение 2015-2016 гг. материалы и, в особенности, дискуссии на ресурсе «Русский проект», автор убедился также в искусственно однобоком взгляде его создателей на внутри и внешнеполитические процессы России и современного мира. Так, автор, в частности, был неприятно удивлён откровенно барской и параноидально-«лево-либеральной» манерой мышления Павла Краснова, пренебрежительно называющего Новую Россию «Рашкой», «Рашковандой» и т.п. уничижительными словами. С сожалением, автор приходит к выводу, что ресурс «Русского Проекта» стал из просветительского и честного портала сборищем жалкой кучки отщепенцев, ренегатов и предателей из «пятой-шестой колонны», выброшенных вовне и замкнутых в своём мирке «башен из слоновой кости» левых либералов, оторванных от действительности, даже несмотря на неординарный интеллект, по-барски визжащих и брызжущих слюной на всё, что им не по нраву.

С отвращением я прочитал куски из бесстыдного опуса «Нейромир» интеллектуального отщепенца и морального дегенерата, каковым он стал теперь в моих глазах – бывшего уважаемого камрада Павла Краснова.

То, как он глумится в своих постах и на страницах этого опуса над великим советским гуманистом Иваном Ефремовым – просто не укладывается в моей голове! Подумать только: эту хрень («Нейромир» и прочие характерные уничижительные мерзопакости) сочинил человек, который был когда-то социалистом! Воистину, «Новая социалистическая революция и ренегат Краснов»! Очевидно, как и у всего Западного мира, у Павла Краснова (выбравшего к тому же его пристанищем вместо многократно оплёванной им Родины), с 2015 года начинается острый приступ затяжной латентной полит-шизофрении в стадии обострения, говоря проще – «повело крышу»….

Это интересным образом хронологически совпало с очередным «провалом» в активной жизни ресурса, якобы «взломанного» путинскими спецслужбами в сто-пиццотый раз.

Ага, счас! Поверить в подобную чушь могут только конченные невменяемые левые либералы, которые в реале на порядок глупее своих гуру – Павла Краснова, Александра Богатырёва и Михаила Шатурина. Тут, вероятнее всего наблюдается иная ситуация – как в известном бородатом анекдоте про «ковбоя Джо»…

И вот, на фоне этого лирического отступления, которое, слава Богу, исчерпано по смыслу, следует ответить на важнейший вопрос, ради которого и была написана данная часть моей новой книги.

Какой на самом деле я вижу дальнейшую судьбу России?

Попробую ответить на данный конкретный вопрос предельно кратко. Россия – своего рода поле битвы сил Добра и Зла на нашей планете. Осаждённая врагами рода человеческого крепость Духа. Последние исторические события подтверждают правильность этой гипотезы[8].

В ближайшие годы драматическая схватка Господа с Сатаной на нашей планете будет решена окончательно в пользу Господа.

Россия станет несокрушимой твердыней сил Добра, светочем во мраке погружённого в безвременье и хаос уходящей Пятой Эры остального человечества.

Новое поколение людей, родившихся после 2016 года, коренным образом изменит историю России в позитивном ключе, приумножит мощь, влияние и богатство нашей Родины многократно…

Через 25-30 лет приоритет во взаимоотношениях между государствами и странами будет отдан, в конце концов, не силе оружия или хитроумным политическим играм, а духовной мощи и этическим ценностям, по которым Россия на многие века (полагаю, что вплоть до наступления Седьмой Эры) не будет иметь себе равных.

Спустя ещё 25-30 лет после окончания духовного преображения России, идеология Нового Социализма окончательно победит, и целые народы как Третьего мира, так и, отколовшиеся от пришедшего в упадок и кризис Запада, последуют примеру России, присоединившись к торжеству победителей.

Никакие силы Зла и Хаоса уже не смогут противостоять победителям, человечество, в основном, перейдёт в Шестую Эру своей истории…

Снова здравствуй, Россия!

Вечный привет тебе!

Схлынули грозовые

Тучи в твоей судьбе.

Солнышко вновь сияет,

Греет усталую плоть,

Всё нам окрест согревает, –

То улыбнулся Господь!

Вечно живи, Россия!

Правдою ты сильна!

И пробуждай иные

Силы живые от сна.

Лей, лучезарная, всюду

Животворящий свет!

Свет Господнего Чуда,

Вечной Вселенной привет!

Зори твои повсюду:

Над всей планетой Земля…

Празднуют воскрешенье,

Россия, люди твоя!

Отроки из Вселенной

Смотрят в глаза твои,

Полные неизменной

Силой Господней любви.

Демоны как ни лютуют,

Как ни пускают кровь, –

Северный ветер дует

Над нашей планетой вновь![9]

Задумываясь над судьбой России, её историей, предательством, ошибками и гениальными открытиями её лидеров (от первого государя – Владимира «Красно Солнышко» до Владимира Путина) на сложном многовековом пути цивилизационно-государственного строительства я понял одну простую истину.

Россия – это не государство в общепринятом смысле, не просто народ или братский союз народов.

Россия – это прототип грядущего мироустройства земного человечества, ядро человеческого интеллекта, воли и духа, достойного перейти из Пятой в Шестую Эру и повести за собой иные народы Земли по пути к Вечности, которая есть Свет.

Россия – это неугасимая свеча во мраке Преисподней, драгоценнейшая частица грядущего Богочеловечества.

И ещё две простые истины, которые я, как автор, понял недавно, но к пониманию которых шёл всю свою сознательную жизнь.

Бессмысленно затевать новую насильственную революцию, если только она не будет Революцией Духа, совершённой ради Бессмертия.

Противостоять духовному преображению земного человечества не в силах никто. Час преображения неизбежен, но знание о нём – у Господа.

[1] Под высшей мерой социальной защиты подразумевается смертная казнь. В исключительных случаях (когда требуется получить чрезвычайно важную информацию от указанного лица) допустимо кратковременное заключение под стражу со строгой изоляцией от внешнего мира и под надёжной охраной.

[2] – «Всеобщее Вооружённое Восстание» – широкое общественное движение сопротивления буржуазному мироустройству, готовое поразить его в самых уязвимых точках и способствовать переходу в Шестую Эру – термин автора. «Вооружённое» – прежде всего знанием своего дела и пониманием общей цели и замысла.

[3] т.е., активных участников.

[4] Домеровский, хотя нередко и пургу несёт и матом ругается постоянно, бывает излишне эмоционален (как о таких вещах можно говорить бесстрастно!) но всё-таки, во многом прав, часто говорит и предлагает умные и актуальные вещи. В отличие от мудаков из «ОД 9 мая», которые кроме пурги, хитроумной манипуляции фактами и откровенного вранья в последнее время ничего толкового предложить не в состоянии. Выше, в своём блоге, я разместил его интервью, датируемое 2015-16 гг. Его идеи автор поддерживает на 99,99%.

[5] В набросках третьей главы неоконченной книги «Поле битвы – Россия».

[6] На самом деле, проблем намного больше, но эти три – пока самые основные.

[7] Я вспоминаю их «классические» «перлы» - бредятину, натасканную из жёлтых ресурсов о «вреде микроволновок» и подборку ахинеи о создании, кажется в Новосибирске, сверхдоходной сети секс-шопов для гомиков «Додо-тык» и прочую тому подобную позорную галиматью.

[8] Их, как минимум, четыре, а то и более: 1) Военно-политический бардак на Украине (с 2014 г. – до наст.вр.), организованный Западом и рождение Новороссии; 2) Миграционный кризис 2015-2016 гг., в Европе, на фоне этого – пресловутый Brexit – в Великобритании; 3) Успешная военная операция ВКС и Российской армии в Сирии против ИГИЛ и квази-мусульманских экстремистов; 4) Триумф наших спортсменов на XXXI олимпийских играх в Рио-де-Жанейро в августе 2016 г., несмотря на все усилия западных бюрократов из WADA и МОК, по организации нервотрёпки накануне и во время Олимпиады и т.д.

[9] Стихотворение автора от 1 июня 2016 г.

Часть 3. Нечёткая мера Вечности, которая есть Свет[1]

Картофель на полях...
Картофель на полях...

Товарищи, учёные! Доценты с кандидатами!

Замаялись вы с иксами, запутались в нулях!

Сидите – разлагаете молекулы на атомы,

Забыв, что разлагается картофель на полях!

Владимир Высоцкий

В этой части книги автором с помощью анализа объективных закономерностей, лежащих в основе физической картины Мироздания, будет дано обоснование излагаемой им философской системы. Полагаясь на принцип достаточности основания, предложенный Лейбницем, как один из фундаментальных постулатов научной логики, мы рассмотрим здесь именно физический аспект Вечности, которая есть Свет.

Мы дадим на основе анализа размерностей членов, входящих в уравнения гравитационного поля, впервые полученные А. Эйнштейном в 1915-16 гг., и простейшего математического расчёта, сопровождаемого строгими логическими рассуждениями, оценку скорости распространения полей тяготения, и сделаем на её основе важные для всей современной науки теоретические выводы.

Современная физика на основе обширной эмпирической базы постулирует существование двух видов материи – вещества и поля.

По нашему мнению, основанному на глубоком анализе наиболее фундаментальных уравнений, описывающих взаимодействие видов материи во Вселенной – тензорно-алгебраических уравнений А.Эйнштейна для гравитационного поля, выводимых, в частности из принципа наименьшего действия [4, с.354-360] – кроме первых двух вышеупомянутых форм становится возможным постулировать существование особой, третьей формы материи, а именно – гравитационных взаимодействий (всеобъемлющего гравитационного поля).

Тяготение (гравитация), носящая характер универсального всеобщего взаимодействия тел во Вселенной (в частности, небесных тел – планет, звёзд, галактик и т.д.) и частиц (например, таких, как фотон в сильных гравитационных полях «чёрных дыр» и квазаров) является не чем иным, как особой (третьей) формой материи.

Ниже, мы на основе простых математических выкладок, базирующихся на уравнениях Эйнштейна, общефизических соображениях и теории размерностей покажем это.

Как известно, элементарным носителем свойств вещества является атом, состоящий из ядра и электронной оболочки. Носителем фундаментальных свойств поля является фотон, порождающий при энергетическом взаимодействии с веществом (и, в частности, с «осколками» атомных ядер) всё многообразие элементарных частиц.

Существует также ещё одна «загадочная» до сравнительно недавнего времени частица-носитель свойств поля – нейтрино, которая очень слабо взаимодействует с веществом и фотонами. Это свойство чрезвычайной слабости взаимодействия указывает на происхождение данного носителя – нейтрино, своего рода «квант», электрослабого взаимодействия, играющего чрезвычайно важную роль в физике элементарных частиц [3, 9, 10].

Таким образом, к настоящему времени картина мироздания в общих чертах, понемногу проясняется: существуют атомы вещества, фотоны электромагнитного поля (также и поля сверхблизкого действия, квантами которых являются мезоны ядерных сил) и «кванты» электрослабого взаимодействия. Им соответствуют три вида фундаментальных взаимодействия между двумя видами материи (веществом и полем): электромагнитное, ядерное и электрослабое.

Четвёртый вид взаимодействия, носящего всеобщий, универсальный характер и заметно проявляющийся для мегаплотных, высокоэнергетических сгустков материи, таких как звёзды, ядра галактик (квазары) и т.п. объекты, как сильное отклонение от уравнений Ньютоновой классической механики и Максвелловой классической электродинамики [2] траекторий частиц, орбит небесных тел, прочих релятивистских эффектов в механике, оптике и электромагнетизме известен и теоретически, и на практике всем сколь-нибудь серьёзным физикам (ещё со времён экспериментов по проверке ОТО Эйнштейна).

Это – всемирное тяготение (гравитационное взаимодействие) всех объектов во Вселенной, обладающих массой (покоя, либо движения) и энергией-импульсом [2, 5, 9].

Уравнения А.Эйнштейна для гравитационного взаимодействия материальных объектов во Вселенной имеют, следующий вид:

Rik - (1/2)R*gik = (8пG/c^4)Tik

где:

Rik – тензор Риччи; его физический смысл подробно раскрыт – см. [4, с.362-369] и др. авторов, в частности [1; 7] и т.д. Если сформулировать кратко – тензор Риччи описывает тензорную кривизну пространства времени, ковариантную его метрике (второму члену уравнений Эйнштейна со знаком минус);

R – скалярная кривизна пространства-времени в заданной его точке;

gik – фундаментальный метрический тензор (описывает метрические свойства пространства-времени в заданной его точке);

Tik – тензор энергии-импульса материи в заданной точке пространства-времени;

G ≈ 6,67·10^(–11) (условно неизвестных нам пока единиц СИ) – фундаментальная Ньютонова постоянная тяготения;

с ≈ 3·10^8 м/с – скорость света в вакууме.

В произвольной (инвариантной) системе отсчёта тензорные уравнения (1) расщепляются на 10 скалярных нелинейных дифференциальных уравнений в частных производных по времени и координатам [6, 7].

Этот простой математический факт является следствием симметрии, входящих в (1) 4-тензоров 2-го ранга относительно главной диагонали [1. 5, 7]: общее число скалярных компонент каждого тензора равно шестнадцати; четыре их них уникальны (поскольку образуют «ось фундаментальной симметрии» упомянутых тензоров), остающиеся двенадцать – обладают свойством симметрии: Аik = Аki, (где А – произвольный тензор 2-го ранга из множества всех вышеупомянутых).

Таким образом, в общем случае имеем 4 + 12/2 = 10 уникальных скаляров (скалярных функций), входящих в замкнутую систему из 10 нелинейных дифференциальных уравнений 2-го порядка в частных производных по времени и пространственным координатам.

Для получения какого-либо частного её решения достаточно наложить связи на указанные скалярные функции – уравнение состояния вещества и (электромагнитного) поля, начальные, краевые, либо иные условия в форме алгебраических уравнений [3, 8].

Выше мы неслучайно выделили фундаментальную Ньютонову постоянную тяготения G из общего ряда скалярных и тензорных членов и сомножителей Эйнштейновых уравнений (1). Она играет особую роль, как своего рода маркер гравитационного взаимодействия [11].

Из простых Ньютоновых законов (всемирного тяготения в классической формулировке и знаменитого 2-го закона Ньютона в алгебраической форме) определим теперь её размерность [2, 9, 11].

Запишем для этого следующие выкладки (квадратными скобками, как обычно, мы обозначаем коммутатор размерности).

[Rik - (1/2)R*gik] = [(8пG/c^4)][Tik] => L^(-2) = [G]*(LT)^(-4)*MLT^(-2)L^(-2)

Простые выкладки, но...
Простые выкладки, но...

Мы видим, что размерность G в системе SI есть:

L^3M^(-1)T^(-2) = м^3/(кг·с^2).

Это тривиально, на первый взгляд. Но, нетривиально то, что это тривиально (Л.Д. Ландау ©).

Если мы применим аналогичную операцию (вычисления размерностей) к системе тензорных уравнений (1), то получим следующее:

атас!!!
атас!!!

Перепишем для наглядности ещё раз последнее соотношение, опустив промежуточные выкладки:

АТАС!!!
АТАС!!!

Это уже нетривиально, поскольку мы строго математически, опираясь на простейшие законы классической физики, упомянутые выше, и элементарный анализ размерностей, получили значение новой фундаментальной константы, описывающей взаимодействие (перетекание, трансформацию компонент четырёхмерного тензора энергии-импульса в различные формы материи), а именно, взаимное перетекание энергии-импульса между тяготением и «классическими» её формами – веществом и полем!

В этом, на наш взгляд, и заключается нетривиальность (по Ландау) полученного выше, казалось бы, совершенно тривиального результата.

Пользуясь сказанным выше, оценим скорость распространения гравитационного возмущения:

атас!!!
атас!!!

А это уже совсем фантастика: получили, что при наличии потока энергии-импульса между объектом (пробным телом) и гравитирующим небесным телом всего в 1 кг/с скорость распространения гравитационного возмущения составляет более чем (10^34)С, т.е. на 34 порядка выше скорости света!

Если бы удалось разогнать межзвёздный зонд до такой скорости[2], то он за 1 секунду пронизал бы пространство-время и ушёл от породившего его источника на расстояние в 1 702 577 673 959 468 758,919 (1 квинтиллион 702 квадриллиона 577 триллионов 673 миллиарда 959 миллиона 468 тысяч 758,919) парсек[3]! Намного дальше наблюдаемой части Вселенной…

В общем случае, скорость межзвёздного зонда, использующего эффекты «перетекания» энергии-импульса из вещественно-полевой в гравитационную форму материи будет равняться:

3,14здец!!!
3,14здец!!!

По нашему мнению, из данного строго доказанного математическими выкладками теоретически возможного события вытекают, как минимум три или даже четыре чрезвычайно важных следствия.

1) Гравитационные взаимодействия и/или возмущения распространяются на огромные для нас расстояния между звёздами и галактиками практически мгновенно – для них имеет место без каких-либо ограничений чистое близкодействие по Ньютону.

2) Постоянная TAU может представлять собой не отношение констант, а отношение пропорционально-зависимых переменных величин.

3) Найденная нами по оценке для соответствующих условий скорость распространения гравитационного возмущения не является максимальной, а лишь имеющей место для строго заданных условий интенсивности взаимного перетекания (переноса) энергии-импульса между гравитационным полем (как особой, третьей формой материи) и «классической» вещественно-полевой материей.

4) Регулируя массу пробного тела («звездолёта»), можно добиться изменения скорости его перемещения вдоль гравитационных «струн», образующих своего рода каркас Вселенной.

Это изменение охватывает широкий диапазон – от фантастических гиперсветовых скоростей (в глубокой межзвёздной и межгалактической пустоте, вдали от массивных гравитирующих тел, где поток энергии-импульса ничтожно мал) до малых гиперсветовых и субсветовых (в окрестностях звёзд «ближнего порядка» – находящихся в единицах парсек от Солнечной системы) и нерелятивистских (в экзопланетных системах звёзд-целей «дальних рубежей» и в окрестностях сверхмассивных объектов). Для этого нужно лишь научиться совершать сложные манёвры пробного тела в пространстве-времени вблизи мощно гравитирующих масс. И эффективно преобразовывать потенциальную энергию полей тяготения в кинетическую энергию пробного тела. Источник энергии такого движения – неисчерпаемый! – заключается в самих «полях» тяготения гравитирующих масс. Технически решив задачу преобразования указанных видов энергии, человечество сможет совершить гигантский рывок в дальний космос, к иным звёздным системам и галактикам…

Автор полагает, что приведённые им выше теоретические выводы (кроме п.4 – как слишком уж фантастического!) остро нуждаются в строгой экспериментальной проверке.

Общий план эксперимента по проверке указанных выводов, по мысли автора, может быть следующим.

Согласно Пиблсу и Динглю [7], Вселенная, наблюдаемая нами, т.е. Метагалактика в больших масштабах имеет сферически-симметричную метрику с учётом расширения (метрика Дингля).

Быстрое перемещение значительных «количеств» энергии-импульса в наблюдаемой нами части Вселенной обязательно должно вызвать локальное нарушение, «возмущение» этой метрики. Таким образом, если такого рода локальное «возмущение» обнаружится экспериментально, то нам останется, лишь детектировать направление и скорость распространения этого возмущения «глобальной» метрики пространства-времени.

Однако, как провести его детектирование, на наш взгляд, пока неясно.

Возможно, придётся судить о распространении мощных гравитационных возмущений по косвенным признакам – в частности, по опосредованному их влиянию на квазистационарные и квазистатические электромагнитные поля в местных скоплениях материи, поскольку любое электромагнитное поле также обладает энергией-импульсом и обязательно должно так или иначе «искажаться» при взаимодействии с изменяющимся в пространстве-времени тензорным полем тяготения.

На взгляд автора, принципиальным является следующий момент. В отличие от «классических» электромагнитных волн, являющихся линейными, возмущения гравитационных полей нелинейны, они меняют свойства среды распространения, воздействуя на неё и на гравитирующие объекты. Думается, что в некотором смысле, движущиеся в строго определённом направлении гравитационные возмущения должны быть подобны уединённым волнам или взаимодействующим нелинейным волновым пакетам – аналогам солитонов и кноидальных волн, описываемых в нелинейной волновой динамике уравнениями Уизема, Буссинеска и Кортевега-де Вриза. Следовательно, можно указать, как минимум, ещё одно направление для теоретического исследования и содержательного описания гравитационных взаимодействий – поиск «солитоноподобных» решений системы уравнений Эйнштейна в частных случаях, например, для сферически-симметричных полей тяготения.

Итак, в соответствии с представлениями современной физики, во Вселенной существуют две фундаментальных формы материи – вещество, состоящее из атомов и поле, состоящее из фотонов либо других «динамических» (существующих в движении) элементарных частиц.

Данные космологии, биофизики и современной психологии, по нашему мнению, позволяют существенно расширить круг актуальных форм материи. А именно, в настоящее время может быть постулировано существование их следующих форм:

1. Вещество.

2. Поле.

3. Гравитация (тяготение).

4. Мыслящая материя (разумная жизнь в виде земной разумной жизни – человеческой цивилизации и пока ещё не обнаруженных внеземных цивилизаций – ВЦ).

По мнению автора, кроме вышеперечисленных актуальных форм материи следует также назвать ещё одну – пятую (потенциальную):

5. Богочеловечество (потенциальная форма духовной мыслящей материи)[4].

Следовательно, существуют не две, а четыре актуальных формы материи и одна потенциальная.

Первые три формы материи – неживые, пассивные – чисто физические объекты, предназначенные для активного приложения творческого потенциала четвёртой (субъектной) или активной формы материи.

Четвёртая форма материи – это Мыслящая материя (ММ) – вся совокупность ВЦ, включая и низкоразвитые, в т.ч. земное человечество, но потенциально способные стать «патрициями империи небесной»[5].

Сейчас (для нас – это здесь!) возможно уже существуют и отдельные фрагменты (или кластеры) пятой формы материи (одухотворённой) в виде пока ещё недоступных нашему современному пониманию и представлению Зон Вечной Жизни, своего рода «Метагалактических Ойкумен Духа, Воли и Разума», т.е. областей обитания высокоразвитых внеземных цивилизаций (ВРВЦ), рассеянных в глубинах Космоса…

Чёрные дыры, горячие сверхгиганты, белые, оранжевые, красные, коричневые и др. карлики, красные сверхгиганты низкой температуры, не имеющие планетных систем или удалённые на безопасные расстояния от таковых – возможно, что многие из этих объектов – артефакты древних ВРВЦ и астроинженерные сооружения, как действующие, так и «законсервированные» их Создателями, уже достигшими максимально возможной интеллектуальной, социальной и духовной зрелости …

Плотность в пространстве-времени древних ВРВЦ должна быть наибольшей в «старых» областях Метагалактики, в скоплениях эллиптических галактик, отделённых от нас сотнями миллионов и миллиардами световых лет…

Вполне логично представить, что сами Создатели при необходимости личного физического присутствия перемещаются в пространстве-времени почти мгновенно в виде свободно (по своей воле и замыслу) трансформируемых сгустков энергии-импульса, используя естественный «каркас» гравитационных полей между мирами актуальной Вселенной.

Существование, точнее сказать, возможность существования цивилизаций Создателей нашего Мира, по мысли автора, косвенно следует из уравнений Эйнштейна для энергии-импульса гравитационного поля и материи…

Обобщая сказанное выше, предлагаем следующую краткую морфологическую таблицу.

Морфологическая таблица форм материи.
Морфологическая таблица форм материи.

* Первые четыре формы – актуальны, пятая – потенциальна.

Главные выводы, которые следуют из сказанного в этой части книги, по мнению автора, заключаются в следующем.

1) Первые три формы пассивной неживой материи есть лишь объекты для приложения творческой энергии активной субъектной её формы – мыслящей материи, достигшей в своём развитии высших ступеней зрелости и могущества.

2) Пятая форма материи – Богочеловечество пока существует в виде островов Вечной Жизни, рассеянных по Метагалактике, но, несомненно, имеющих связь друг с другом посредством использования гравитационных взаимодействий, распространяющихся с громадной скоростью.

3) Мыслящая материя Вселенной содержит как в себе, так и в особенностях своего развития сложно структурированную, «живую» нечёткую меру Вечности, которая есть Свет. Эта мера – и есть судьба развития каждой уникальной цивилизации – от этапа зарождения мыслящих существ (Пятой Эры) – до достижения вершин Разума и Духа (Восьмой Эры).

Здесь требует особого пояснения термин «нечёткая мера». Нечёткая мера – это специальный математический теоретико-множественный конструкт, предложенный в 1972 г. японским учёным Мичио Сугено для математически строгого описания сложноорганизованных систем с изменчивым поведением и произвольным целеполаганием.

Фото из Интернета: https://yandex.ru/images/search?pos=1&img_url=http%3A%2F%2Fslideplayer.info%2Fslide%2F2839885%2F10%2Fimages%2F39%2FMichio%2BSugeno.jpg&text=%D0%9C%D0%B8%D1%87%D0%B8%D0%BE%20%D0%A1%D1%83%D0%B3%D0%B5%D0%BD%D0%BE&lr=47&rpt=simage&source=serp
Фото из Интернета: https://yandex.ru/images/search?pos=1&img_url=http%3A%2F%2Fslideplayer.info%2Fslide%2F2839885%2F10%2Fimages%2F39%2FMichio%2BSugeno.jpg&text=%D0%9C%D0%B8%D1%87%D0%B8%D0%BE%20%D0%A1%D1%83%D0%B3%D0%B5%D0%BD%D0%BE&lr=47&rpt=simage&source=serp

Известны также научные работы российских авторов, посвящённые приложениям теории нечётких мер и интеграла Сугено в экономике и различных предметных областях. К ним, прежде всего, относятся монографии В.П. Бочарникова, прекрасный и ёмкий учебник для вузов, содержащий много расчётных примеров, написанный в 2006 г. А.Н. Павловым и Б.В. Соколовым, труды учёных «питерской школы»: А.Г. Броневича, А.Н. Каркищенко, А.В. Леоненкова и ряда других…

4) Цивилизации, достигшие опыта и зрелости Восьмой Эры, должны иметь в своём распоряжении физические механизмы сохранения и развития очагов мыслящей материи, рассеянных в глубинах космоса до наступления Девятой Эры.

5) Их главной миссией является максимизация нечёткого отношения (интеграла) количества одухотворённой материи к количеству неживой материи при заданных исторически условиях существования Метагалактики. Внешне указанная миссия выражается в постепенном накоплении духовной энергии мыслящей материи для осуществления качественного скачка – всеобщего перехода рассеянной в Космосе мыслящей материи в Девятую Эру – к одухотворённой материи или Вечности, которая есть Свет.

[1] Переработанный текст двух статей автора, написанных летом 2016 года.

[2] Забудем на мгновение, что такое пока (с помощью существующих технических возможностей) физически неосуществимо! Однако в последнее время в научных кругах всё активнее дебатируется создание технологии космических «нанозондов» – сверхминиатюрных аппаратов, разгоняемых лазерным лучом до субсветовых скоростей.

[3] 1 парсек = 9,46·10^15 м – расстояние, с которого большая полуось земной орбиты видна под углом в 1”.

[4] Здесь автор следует научно-философской традиции, идущей от В.С. Соловьёва (1853-1900 г.) с его знаменитыми «Чтениями о Богочеловечестве» и Н.А. Бердяева (1874-1948) «Опыт эсхатологической метафизики».

[5] Данте Алигьери. Божественная Комедия. Рай. песнь ХХХI, ст. 117. (в переводе М. Лозинского).

Эта часть моей научно-философской повести написана примерно на 6 лет раньше, книги "Изложение физической теории гравитации" (2022 г.). Здесь я в предельно упрощённой форме, на основе простых общефизических соображений излагаю свои идеи о гравитации, которые в дальнейшем получили развитие и оформление в виде Физической теории гравитации (2020-22 гг.) и Теории Всеобщего Объединения (2022 г.). О них я подробно, с соответствующим математическим обоснованием пишу в книге "Изложение физической теории гравитации", предназначенной для специалистов-физиков.

Библиография к Части 3

[1] Бицадзе А.В. Уравнения математической физики. – М.: Наука, 1982. – 336 с. – 22.16, Б-66, УДК 517.

[2] Голдстейн Г. Классическая механика. – М.: Наука, 1957. – 408 с. (по цифровой версии).

[3] Зельдович Я.Б., Новиков И.Д. Теория тяготения и эволюция звёзд. – М.: Наука, 1971. – 484 с. 528, З-50, УДК 523.11.

[4] Зельдович Я. Б., Мышкис А. Д. Элементы математической физики. Главная редакция физико-математической литературы изд-ва «Наука», 1973. – 352 с. – 517.2, 3-50, УДК 517.

[5] Коткин Г.Л., Сербо В.Г. Сборник задач по классической механике. – М.: Наука, 1977. – 320 с. (по цифровой версии).

[6] Ландау Л.Д., Лифшиц Е.М., Теоретическая физика в десяти томах. Т.2. Теория поля. – М.: Наука, 1988. – 512 с. – ISBN 5-02-014420-7.

[7] Peebles, P.I.E. The large-scale structure of the Universe. – Prinston, New Jersey. PUP., 1983. (пер. с англ. Клыпина А.А. и Дорошкевича А.Г.). – М.: Мир, 1983. – 408 с. УДК 52.

[8] Полянин А. Д., Зайцев В. Ф., Журов А. И. Методы решения нелинейных уравнений математической физики и механики. — М.: ФИЗМАТЛИТ, 2005. – 256 с. – ISBN 5-9221-0539-6.

[9] Савельев И.В. Курс общей физики. Т.3 Квантовая оптика. Атомная физика. Физика твёрдого тела. Физика атомного ядра и элементарных частиц. – М.: Наука, 1987. – 320 с. ББК 22.3, С-12, УДК 53 (075.8).

[10] Седов Л.И., Цыпкин А.Г. Основы макроскопических теорий гравитации и электромагнетизма. – М.: Наука, 1989. – 272 с. – ISBN 5-02-013805-3.

[11] Гаврюсев В.Г. Измерение и свойства пространства-времени. – М.: Едиториал УРСС, 2004. – 176 с. – ISBN 5-534-00678-3.

Часть 4. Мерою жизни – мерою Вечности. Вехи Пути

…И так в тумане омутной воды

Стояло тихо кладбище глухое,

Таким всё было смертным и святым,

Что до конца не будет мне покоя.

Николай Рубцов

Наступил момент самый важный и самый волнующий для автора.

Это момент «лицезрения Бога», в чём-то подобный описанному у Данте, в XXXIII канцоне третьей части «Божественной Комедии».

"Райская Роза. Венец" - Большое Красное Пятно Юпитера - гигантский ротобризер Россби, сфотографированный с близкого расстояния космическим роботом "Кассини".
"Райская Роза. Венец" - Большое Красное Пятно Юпитера - гигантский ротобризер Россби, сфотографированный с близкого расстояния космическим роботом "Кассини".

Как людям, в смысле – земному человечеству – реально достичь Вечности, которая есть Свет?

Я не знаю точного ответа на этот вопрос, я не могу его знать, не потому что это величайшая тайна, а потому что ответа как такового просто нет – он должен ещё родиться по мере движения земного человечества через все локальные изгибы труднейшего пути восхождения к вершинам Духа.

Я могу лишь приблизительно указать отдельные вехи этого пути, опираясь на здравый смысл, правдоподобные рассуждения и научную логику.

Итак, начнём.

Первая веха (Шестая Эра) – создание устойчивого и динамично развивающегося общества нового типа, основанного на широкой кооперации его членов и внутренней, органически присущей ему идеологии социальной справедливости.

Это произойдёт сначала в России, как стране имеющей на данный момент самый глубокий исторический опыт подобного рода социальных преобразований.

Затем, следуя успешному примеру России, будут созданы аналогичные кластеры специфических национальных обществ и в других странах.

Очень важно подчеркнуть, что Россия в этом плане будет духовным лидером, отнюдь не опирающимся на какую-либо идеологию, насилие или силу оружия. Оружие, как и всякий инструмент насилия даёт лишь иллюзию силы и может временно подавить внутренние противоречия, но не может помочь решить проблему устойчивости общества по сути – способствовать ныне подавленной, но до конца не сломленной воле народов к стабильному динамичному процветанию за счёт внутреннего естественного стремления к развитию, к гармонии социальных отношений…

Воцарение социально устойчивого, внутренне гармоничного общества на Земле будет означать окончание Шестой Эры. С моей точки зрения этот период может занять около тысячи лет.

Вторая веха (Седьмая Эра) – освоение Солнечной системы, окончательное преодоление кризиса конца доступных ресурсов, расцвет науки и техники, служащей развитию внутренних сил человечества и накоплению его духовной энергии. Практическое освоение возможностей управления тяготением и мгновенными перемещениями между мирами Метагалактики.

Встреча с разумными и духовными цивилизациями иных миров, создание и поддержание устойчивых связей с ними с целью обмена опытом освоения Вселенной и преумножения духовного потенциала будет знаменовать конец Седьмой Эры. Период Седьмой Эры для землян продлится несколько тысячелетий.

Третья веха (Восьмая Эра) – создание устойчивых кластеров Вечной Жизни[1] – пятой формы материи, создание артефактов астроинженерного типа на просторах Метагалактики, которые управляют жизнеобеспечением упомянутых кластеров, широкое одухотворение мыслящей материи, приобщение всё новых членов – внеземных цивилизаций в единое Мета-Человечество Вселенной (Богочеловечество).

Конец Восьмой Эры для земного человечества наступит, когда будет практически решена проблема Бессмертия и воскрешения прежде живших поколений землян, достойных Бессмертия (по Николаю Фёдорову). Таковых большинство.

Отдельные же личности, точнее анти-личности, которые оставили в истории земного человечества глубокий «отрицательный след», такие, например, как Адольф Гитлер, нацистские и современные военные преступники, ряд древнеримских императоров-тиранов, создатели и «гуру» различных тоталитарных сект и лжеучений, предназначенных для духовного порабощения людей, маньяки-преступники и т.п. – вряд ли получат шанс на воскрешение. Ввиду отсутствия целесообразности их дальнейшего (бесконечного) существования.

Выпил яду злодей и сдох, как шелудивый пёс!
Выпил яду злодей и сдох, как шелудивый пёс!

В первую очередь, будут воскрешены герои-освободители, гениальные мыслители, художники, поэты и писатели, чьи идеи и творения вошли в сокровищницу бессмертных ценностей человечества, учёные-подвижники, принесшие человечеству огромную пользу своим трудом, затем, как мне представляется, – прочие честные труженики и безымянные пока «солдаты», павшие на пути к Бессмертию земного человечества…

Герой, ты достоин быть в Aeternitas, quae est Lux, среди равных тебе!
Герой, ты достоин быть в Aeternitas, quae est Lux, среди равных тебе!

За третьей вехой и концом Восьмой Эры наступит Вечность, которая есть Свет. Время перестанет существовать как субстанция, несущая Смерть. Единое Богочеловечество Вселенной сможет управлять любой её частью в соответствии со своей волей и замыслом, т.е. сможет одухотворять ещё неодухотворённую материю, изгоняя Смерть из отдельных частей бесконечной Вселенной.

Это трудно понять на нынешнем уровне развития знания, потому что люди до сих пор имели опыт управления лишь конечными объектами. Управление бесконечными объектами – всей Вселенной в целом и её частями – дело будущего, очень далёкого по нашим меркам.

Полагаю, однако, что принципы такого управления будут разработаны, задолго до того, когда в них возникнет практическая потребность. Но эта потребность удалена от нас не одним тысячелетием, даже не одной Эрой, а как минимум тремя. Так что для нас, это пока неактуально.

Период Восьмой Эры для землян продлится ещё несколько тысячелетий. Но на фоне медленно протекающих эволюционных процессов физического мира – это всего лишь очень незначительный период. В сравнении с десятками миллиардов лет существования Метагалактики – даже сотня тысячелетий – величина пренебрежимо малая, поскольку меньше первой почти на восемь порядков!

Вероятно, в сложнейшем процессе освоения областей Метагалактики каждым из народов-человечеств, членов единого и бесконечно разнообразного Богочеловечества будут неизбежны случайные ошибки, в том числе и «фатальные», приводящие к гибели отдельных учёных, инженеров-испытателей, первопроходцев неведомого и многочисленных исследовательских групп, отважно штурмующих неизвестные глубины Космоса.

No pasaran! Venseremos!
No pasaran! Venseremos!

Следовательно, воскрешение таких «случайно погибших» будет необходимо, станет своего рода долгом Богочеловечества и делом всеобщей чести. Это станет одним из своеобразных источников, питающих «генератор Бессмертия».

Другим важнейшим источником, как уже было сказано, станет всеобщее стремление к гармонии, одухотворению материи, творческому приложению накопленной духовной энергии членов единого Богочеловечества.

В это трудно сейчас поверить, но я всё-таки надеюсь, что может быть, пройдёт немного времени и множество людей, как было ещё недавно принято говорить, «доброй воли» поймут мои идеи и согласятся с ними, а также активно поддержат их.

Иначе, как я полагаю, рассуждать о Вечности, которая есть Свет и тем более своими помыслами и делами стремиться к ней – занятие априори бесполезное…

Но, тем не менее, как основательно полагает автор, Вселенная подсказывает нам мысль о мудрости Творца, создавшего её в виде замысла грядущего Бессмертия, а значит, о фактическом отсутствии бессмысленности своего существования.

Пресловутое «равнодушие Вселенной» к страданиям и радостям земного человечества – отнюдь не равнодушие, а хладнокровное и спокойное молчание мудрого творца-исследователя, наблюдающего за грандиозной и неповторимой мистерией пробуждения в земном человечестве, этой малой частице мыслящей материи, рассеянной в бесконечности мировых пространств, осознанной воли и стремления к Бессмертию

Великий русский поэт Александр Блок (1880-1921 гг.).
Великий русский поэт Александр Блок (1880-1921 гг.).

В начале XX века великий русский поэт Александр Блок написал стихотворение, в котором были такие строки (воспроизвожу их по памяти):

О, тоска! Через тысячу лет

Мы не сможем измерить души,

Мы услышим полёт всех планет,

Громовые раскаты в тиши.

А пока – в неизвестном живём,

И не ведаем сил мы своих,

И, как дети, играя с огнём,

Обжигаем себя и других.

В целом, это стихотворение Блока было посвящено тайнам человеческой психики, а именно – тому, что сейчас модно называть «экстрасенсорным восприятием».

«Измерить душу» – это значит, найти, построить такую нечёткую меру, которая позволила бы понять тончайшие механизмы взаимодействия человеческой психики с породившей её в процессе длительной мучительной животной эволюции и не менее мучительной и драматической, хотя и более короткой, социальной эволюции, – бесконечной и вечно изменяющейся Вселенной.

Трагическое противоречие, объективно существующий, как ныне, так и в обозримом будущем парадокс – между конечностью индивидуального бытия человеческой личности и бесконечными возможностями разума, духа и воли человека должен практически разрешиться через движение по пути к Вечности, которая есть Свет.

Нельзя иначе будет здраво

С Творцом премудрость согласить:

Прилично ли следствию дать право

Своей причины лучше быть?

Эти слова, сказанные Николаем Арцыбашевым более двухсот лет назад в гениальной оде «Бессмертие» (1815 г.), как нельзя лучше характеризуют необходимость практического разрешения парадокса между актуальной смертностью человека, величием его творений и его грядущим потенциальным бессмертием.

Steps in Aeternum...
Steps in Aeternum...

Основные выводы из завершающей части настоящей работы, подводящие итог всему изложенному научно-философскому исследованию, автор позволит себе кратко сформулировать в виде уже знакомой читателю морфологической таблицы.

Формы материи. Атрибуты. Масштабы modus vivendi.
Формы материи. Атрибуты. Масштабы modus vivendi.

ЗАКЛЮЧЕНИЕ

Монизм Вселенной в реальности...
Монизм Вселенной в реальности...

Привет, Россия – родина моя!

Как под твоей мне радостно листвою!

И пенья нет, но ясно слышу я

Незримых певчих пенье хоровое…

Николай Рубцов

"Привет, Россия, родина моя!"
"Привет, Россия, родина моя!"

И вот, наконец, уважаемый читатель, ты добрался до последних страниц моей научно-философской повести.

Теперь ты знаешь, что такое Вечность, которая есть Свет, что такое Бессмертие, как достичь его.

Ты теперь понимаешь ту громадную важность осознания простых, в общем-то, истин.

"Знаете, каким он парнем был?! Нет, не был - ведь смерть он победил!"
"Знаете, каким он парнем был?! Нет, не был - ведь смерть он победил!"

Ты понял и охватил своим мысленным взором громадную, пёструю и текучую историю земного человечества, уложенную автором в своеобразную ступенчатую пирамиду условной схематизации, вершиной своей ведущую в Вечность, которая есть Свет.

Опираясь на строгие научные данные, дополненные правдоподобными рассуждениями и гипотезами, принятыми в соответствии с принципом достаточности основания, я познакомил тебя со своей точкой зрения на Мироздание и принципы его устройства.

Используя научные данные и физические принципы, математику и логику, в особенности принцип достаточности основания, я развернул перед тобой грандиозную картину Вселенной, только 5% которой, по мнению большинства современных учёных – видимая и ощущаемая ныне существующими приборами неживая материя первой и второй форм.

Третью форму – тяготение – мы ощущаем по его взаимодействию с первыми двумя, что и отражено в тензорных уравнениях Альберта Эйнштейна, впервые написанных им более ста лет назад. А ещё раньше – в гениальной догадке сэра Исаака Ньютона, сформулированной им в виде закона всемирного тяготения.

Тяготение распространяется практически мгновенно – подобно упругим колебаниям тончайшего паутинчатого сверхгибкого и сверхпрочного каркаса, связывающего все тела и поля во Вселенной, непосредственно воздействуя на эти объекты.

Новый Иерусалим Космический...
Новый Иерусалим Космический...

Всякое перемещение, «вещественно-полевых» форм материи сопровождается взаимной трансформацией потенциальной энергии в кинетическую, «перетеканием» энергии-импульса из «вещественно-полевой» формы в тяготение и обратно. Тяготение в этом смысле подобно сети кровеносных сосудов или нервной ткани гигантского организма – Вселенной.

...Зажгуться вновь, как слёзы на щеке, растаявшие звёзды...
...Зажгуться вновь, как слёзы на щеке, растаявшие звёзды...

Тяготение, возможно, служит также для передачи информационных сигналов о текущем состоянии и изменении «вещественно-полевых» форм материи и их скоплений. Но кому и для чего передаётся эта информация? Как функционирует механизм её передачи? Ясно, что он не может быть волновым, т.е. подобным электромагнитным волнам – линейным волновым пакетам, «состоящим» из частиц с нулевой массой – фотонов. Линейные «классические» волновые процессы слишком медленны для эффективной передачи энергоинформационных взаимодействий в масштабах Вселенной, поскольку ограничены верхним пределом групповой скорости – скоростью света в пустоте, примерно равной 3∙10^8 м/с!

Клетки нервной ткани и Вселенная.
Клетки нервной ткани и Вселенная.

Первое, что приходит в голову автора, как «закоренелого радиофизика» – нелинейный механизм распространения гравитационных взаимодействий, когда бегущая от источника к приёмнику «волна» или «волновой пакет» существенно изменяет свойства среды – наподобие солитонов, передающих нервные импульсы по синапсам или преобразующие потенциальную энергию кристаллической решётки в кинетическую энергию движущихся доменов сильного электрического поля в кристалле арсенида галлия («классический» эффект Ганна).

Итак, как минимум, три вопроса на сегодняшний день остаются без ответа: кому, для чего и как передаются гравитационные взаимодействия, с громадной скоростью распространяющиеся по просторам космоса?

Не является ли всемирное тяготение основой какого-то таинственного самонастраивающегося механизма обеспечения внутренней устойчивости Вселенной? Своеобразным «ангелом-хранителем», позволяющим вспыхивать в глубинах бесконечно изменчивого космоса, в яростном кипении сталкивающихся вихрей мёртвой материи всё новым и новым очагам жизни и зарождаться новым островам мыслящей материи?

"...Создавый всё единым словом, В твореньи простираясь новом, Ты был, Ты есть, Ты будешь ввек!" (Г.Р. Державин, из оды "Бог", 1784 г.).
"...Создавый всё единым словом, В твореньи простираясь новом, Ты был, Ты есть, Ты будешь ввек!" (Г.Р. Державин, из оды "Бог", 1784 г.).

Не является ли всемирное тяготение прообразом грядущей самоорганизации устойчивых вселенских сообществ мыслящей материи тем «порывом, что ведёт их сам», давая возможность концентрировать спонтанно возникшие и затем рассеянные до поры в толще косной материи обрывки смыслов и творческих замыслов? Тех, которые, в конце концов, сольются в единый замысел и найдут своё воплощение в воле и величайшем деянии единого Творца – Богочеловечества – с наступлением Девятой Эры, в грядущем «воскрешении отцов», о котором мечтал русский мудрец Николай Фёдоров?

Четвёртая форма – мыслящая материя, одним из видов которой является земное человечество и вид Homo Sapiens, распространена во Вселенной, постольку, поскольку, мы сейчас уже точно знаем, распространены в ней экзопланетные системы, пригодные для белковой жизни[1].

В отличие от Джордано Бруно, смело догадавшегося об этом более четырёхсот лет назад, мы уже осознаём существование внеземных солнцеподобных миров как эмпирический факт.

"Так белой розой, чей венец раскрылся, Являлась мне святая рать высот, С которой Агнец кровью обручился..." (Данте Алигьери, "Божественная Комедия", "Рай", песнь XXXI, ст.1-3, перевод Михаила Лозинского).
"Так белой розой, чей венец раскрылся, Являлась мне святая рать высот, С которой Агнец кровью обручился..." (Данте Алигьери, "Божественная Комедия", "Рай", песнь XXXI, ст.1-3, перевод Михаила Лозинского).

Пятая форма материи – потенциальная – Богочеловечество существует в виде отдельных фрагментов, зон одухотворённой Вселенной.

Нам, земным людям, до тех пор, пока мы не решим свои внутренние проблемы и не построим устойчиво развивающееся гармоничное общество, имея все возможности для этого, контакт с этими зонами заказан. Он до определённого момента закрыт от нас, для нашего же блага, как естественно предположить…

Нетрудно вообразить, какая катастрофа может произойти на Земле, если какая-либо из стран, в особенности Западного мира, случайно получила бы доступ к знаниям и технологиям обитателей «зон Вечности».

Поэтому контакт с обитателями «зон Вечности», на мой взгляд, вряд ли возможен и целесообразен до момента превращения какой-то значимой для дальнейшего развития части землян («критической массы» вида Homo Sapiens) в вид Homo Spiritualis, т.е. до фактического и необратимого победного наступления на Земле Шестой Эры.

"Я не зову вас к вечному покою, но к радости безмерной вас зову..." (Анастасий Маяковский , из стихотворения "Фра Джордано", 2013 г.).
"Я не зову вас к вечному покою, но к радости безмерной вас зову..." (Анастасий Маяковский , из стихотворения "Фра Джордано", 2013 г.).

И потому, завершая своё произведение, посвящённое актуальнейшей и интереснейшей мировоззренческой проблеме и подробно раскрывающее предлагаемое мной естественное в своей силе простоты и колоссальной важности решение, я обращаю слово благодарности к читателю, за его труд понять меня.

До свидания, дорогой читатель!

И снова здравствуй!

Я предлагаю вместе пройти по дороге общей судьбы, неизбежно, ведущей к Вечности, которая есть Свет, – как я в этом глубоко убеждён, и частицу силы своей убеждённости хочу передать тебе.

... Вся наша жизнь - как бесконечная память о нём!
... Вся наша жизнь - как бесконечная память о нём!

22 октября 2016 г.

[1] Проблему возможного существования небелковых форм жизни, тем более разумной, мы оставляем «за скобками», ввиду неосновательности, на наш взгляд, такого рода гипотезы. Интересные аргументы по этому вопросу изложены, например, в известной научно-популярной монографии советского астрофизика И.С. Шкловского «Вселенная. Жизнь. Разум».

"К звёздам!"
"К звёздам!"

Beethoven Symphony No 9 - Herbert von Karajan, Berliner Philharmoniker:

https://yandex.ru/video/preview/?text=бетховен%209%20симфония%20слушать&path=yandex_search&parent-reqid=1660377196160491-10060528692391002963-sas5-9946-38a-sas-l7-balancer-8080-BAL-8249&from_type=vast&filmId=8885762180097501804