Добавить в корзинуПозвонить
Найти в Дзене
Универ на диване

Пример расчета усилительного каскада на биполярном транзисторе с типом включения с общей базой

Здравствуйте, Дорогие друзья! Как и обещал в этой статье мы с Вами рассмотрим простой способ расчета усилительного каскада, построенного на базе биполярного транзистора с включением по типу с общей базой. Для начала схемку в студию: Что мы видим: каркас о котором мы говорили в прошлой статье, три конденсатора, один из которых, а именно С2, включен в базовую цепь транзистора. Также мы видим, что сигнал в усилителе подается на эмиттер транзистора, а усиленный сигнал снимается с коллектора. Давайте рассмотрим эту схему когда у нас все сигналы – постоянный ток, то есть его частота равна или близка к нулю. В таком случае сопротивление конденсаторов будет стремиться к бесконечности: То есть конденсаторы в таком случае – обыкновенные разрывы. Если слышишь такое впервые легко запутаться. Привожу пример: пусть у нас есть наипростейшая схема, состоящая из батарейки, двух проводов и лампочки. Как эти компоненты друг к другу можно подключить, думаю пояснять не нужно. Итак, условно примем сопротивл

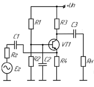
Здравствуйте, Дорогие друзья! Как и обещал в этой статье мы с Вами рассмотрим простой способ расчета усилительного каскада, построенного на базе биполярного транзистора с включением по типу с общей базой. Для начала схемку в студию:

Рисунок 1 – УК на БТ с ОБ
Рисунок 1 – УК на БТ с ОБ

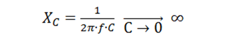
Что мы видим: каркас о котором мы говорили в прошлой статье, три конденсатора, один из которых, а именно С2, включен в базовую цепь транзистора. Также мы видим, что сигнал в усилителе подается на эмиттер транзистора, а усиленный сигнал снимается с коллектора. Давайте рассмотрим эту схему когда у нас все сигналы – постоянный ток, то есть его частота равна или близка к нулю. В таком случае сопротивление конденсаторов будет стремиться к бесконечности:

-2

То есть конденсаторы в таком случае – обыкновенные разрывы. Если слышишь такое впервые легко запутаться. Привожу пример: пусть у нас есть наипростейшая схема, состоящая из батарейки, двух проводов и лампочки. Как эти компоненты друг к другу можно подключить, думаю пояснять не нужно. Итак, условно примем сопротивление проводов очень близким к нулю, то есть считаем, что на них потерь энергии вообще нет (фантастика! Но не забываем, что это всего лишь допущение, так как потери на них есть, хоть и крохотные). Сопротивление ноль – весь ток в нагрузку, то бишь лампочку. А теперь представим себе, что один из проводов вдруг оторвался от батарейки, то есть сопротивление между контактами батареи и лампочки стало бесконечным. Сопротивление бесконечность – ток в нагрузку не бежит. Теперь еще один момент: мощность, которая рассеивается на таком проводе. В первом случае, когда его сопротивление равно (близко) к нулю:

-3

Ну а теперь второй случай: сопротивление – бесконечность. Сразу же хочется записать вот так:

-4

Если не вдумываться, можно и такой абсурд принять за правду. Почему абсурд? Вспоминаем Второй закон Кирхгофа: падение напряжения на участках цепи в сумме равно совокупности ЭДС, отдаваемых источниками, включенными в эту цепь. То есть получается, что у нас в цепь включена батарейка с бесконечно большой мощностью (карманная электростанция). Такого быть не может. Где же тогда ошибка? Ошибка в токе. Мы уже сказали, что при бесконечном сопротивлении тока нет. А значит более правильно записать нашу формулу вот так:

-5

С этим разобрались. Возвращаемся к схеме усилителя. Напомню, что мы выбрали транзистор КТ315Б. В прошлой статье мы уже выполнили расчет номиналов «каркаса» схемы. Но для удобства привожу расчет здесь повторно.

-6

Ближайшим значением к рассчитанному является 110 кОм.

-7

Для того, чтобы рассчитать значения емкостей конденсаторов нам нужно знать входное и выходное сопротивления каскада. Когда мы искали значение входного сопротивления для каскада с Общим эмиттером, то учитывали входное сопротивление транзистора и сопротивление резисторов в делителе напряжения. Что изменится сейчас? Вход в нашей схеме «переехал» с базы транзистора на эмиттер. Разбираемся как было и как стало:

-8

Вспоминаем, что Rэ очень мало, а сопротивление R4 по сравнению с ним очень велико. Поэтому мы можем принять допущение:

-9

Похоже на правду, но: чем больше будет значение Rэ, тем больше будет отклонение в этом примере.

Итак, входное сопротивление каскада в этом случае приблизительно равно Rэ. Находим емкость конденсатора С1:

-10

Чтобы не возникло недопонимания напомню, что в прошлой статье мы задали верхнюю частоту спектра сигнала равной 1 кГц, отсюда и тысяча в знаменателе дроби. Так как сигнал мы снимаем также с коллектора, как и в случае схемы с общим эмиттером, то выходное сопротивление остается тоже таким же (мы его не вычисляли). Однако, емкость конденсатора С3 также является аналогичной ранее вычисленной:

-11

Теперь осталось найти С2. Зададим его равным:

-12

Определим коэффициент передачи каскада. Для начала найдем коэффициент передачи по входу. Здесь у нас имеется три параллельно стоящих сопротивления: rэ, R4 и Rг. Как мы ранее выяснили, два первых сопротивления можно принять за rэ, тогда:

-13

Коэффициент усиления каскада можно найти как произведение крутизны нагрузочной характеристики транзистора на эквивалентное сопротивление параллельно включенных резисторов (нагрузок) в выходной цепи.

-14

Сквозной коэффициент передачи по напряжению:

-15

У нас получилось довольно хорошее значение. И получилось оно потому что сопротивление источника мы задали небольшое. Прогнозируем максимальное падение напряжения на нагрузке:

-16

Чтож, неплохо. Мы рассмотрели процесс самого простого расчета усилительного каскада на биполярном транзисторе по схеме включения с общей базой. Надеюсь эта статья была Вам полезна. Если да, то пожалуйста, поставьте палец вверх, я буду знать, что трудился не зря. Спасибо, что читаете! Удачи в учебе и труде!