Добавить в корзинуПозвонить
Найти в Дзене

Очередной кошмарный №17 из ЕГЭ!!! Как это вообще решать?

Условие задачи: Найти все такие значения параметра а, при которых уравнения Имеют общий действительный корень. Решение: Выражу а через х из (1).: Подставлю в (2).: Решаю получившееся уравнение: Следовательно, корней нет, а значит выражение не равно 0, т.е. на него можно сократить: Корни уравнения: Теперь эти корни необходимо подставить в изначальную систему, чтобы найти значения параметра а, при которых будут такие x: Спасибо за прочтение! Автор статьи: https://vk.com/gregoryabramychev Ютуб канал: https://www.youtube.com/channel/UCTAe6tX9iKPBwFbAyIHcTuw Дзен канал: https://zen.yandex.ru/fizmatika Телеграмм канал: https://t.me/fizmatichka Группа в вк: https://vk.com/club214170364
Оглавление

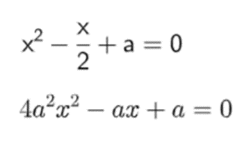
Условие задачи:

Найти все такие значения параметра а, при которых уравнения

-2

Имеют общий действительный корень.

Решение:

-3

Выражу а через х из (1).:

-4

Подставлю в (2).:

-5

Решаю получившееся уравнение:

-6
-7
-8
-9
-10
-11

Следовательно, корней нет, а значит выражение не равно 0, т.е. на него можно сократить:

-12

Корни уравнения:

-13

Теперь эти корни необходимо подставить в изначальную систему, чтобы найти значения параметра а, при которых будут такие x:

-14
-15

Спасибо за прочтение!

Автор статьи: https://vk.com/gregoryabramychev

Ютуб канал: https://www.youtube.com/channel/UCTAe6tX9iKPBwFbAyIHcTuw

Дзен канал: https://zen.yandex.ru/fizmatika

Телеграмм канал: https://t.me/fizmatichka

Группа в вк: https://vk.com/club214170364