Добавить в корзинуПозвонить
Найти в Дзене
Математика не для всех

Что будет, если мнимая единица в квадрате равна 1 (i²=1) ? Мы получим паракомплексные числа с особыми свойствами!

Приветствую Вас, уважаемые Читатели! Сегодня я хочу рассказать Вам об одной интересной алгебраической конструкции, имя которой - паракомплексные числа. Обычные комплексные числа, я думаю, знакомы подавляющему большинству, заглянувших ко мне на канал. Если же хочется освежить в памяти, прошу по ссылке: Мы же перейдем в "параллельный" мир. Итак, среди паракомплексных чисел есть свой аналог мнимой единицы, вот только в квадрате он дает...обычную вещественную единицу! В принципе, ничего страшного, зато у нас есть сразу четыре квадратных корня из единицы: Что нам даёт введение такой величины? Обычные сложение и умножение определяются по аналогии с комплексными числами: так же складываем почленно и умножаем, раскрывая скобки. Интересности начинаются, когда мы умножим паракомплексное число на сопряженное ему: Внимательно оцените, что мы сейчас сделали: мы перемножили два ненулевых паракомплексных числа и можем получить при определенных условиях....0! Давайте на арифметическом примере: Сведущи

Приветствую Вас, уважаемые Читатели! Сегодня я хочу рассказать Вам об одной интересной алгебраической конструкции, имя которой - паракомплексные числа. Обычные комплексные числа, я думаю, знакомы подавляющему большинству, заглянувших ко мне на канал. Если же хочется освежить в памяти, прошу по ссылке:

Мы же перейдем в "параллельный" мир. Итак, среди паракомплексных чисел есть свой аналог мнимой единицы, вот только в квадрате он дает...обычную вещественную единицу!

Для ясности будем обозначать её как "йот"
Для ясности будем обозначать её как "йот"

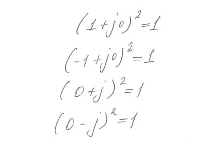
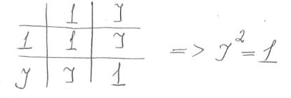
В принципе, ничего страшного, зато у нас есть сразу четыре квадратных корня из единицы:

-2

Что нам даёт введение такой величины? Обычные сложение и умножение определяются по аналогии с комплексными числами: так же складываем почленно и умножаем, раскрывая скобки. Интересности начинаются, когда мы умножим паракомплексное число на сопряженное ему:

-3

Внимательно оцените, что мы сейчас сделали: мы перемножили два ненулевых паракомплексных числа и можем получить при определенных условиях....0! Давайте на арифметическом примере:

-4

Сведущие люди скажут: среди паракомплексных чисел есть делители нуля - и их бесконечное количество, определяемое равенством или противоположностью мнимой и вещественной части.

А это, на минуточку, говорит нам о том, что паракомплексные числа вместе с операциями сложения и умножения образуют всего лишь кольцо! В отличие от обычных комплексных, которые образуют поле!

Паракомплексные делители нуля при умножении на любое число преобразуют его в делитель нуля:

Про делители нуля и области целостности обязательно расскажу подробнее. Подписывайтесь
Про делители нуля и области целостности обязательно расскажу подробнее. Подписывайтесь

Почему наши подопытные не являются полем, я думаю понятно. Они не удовлетворяют условию наличия обратного элемента для каждого ненулевого. Например, не существует такого числа х, что

x*(12+12j) = 1

Выразим х = 1/(12+12j) = (12-12j)/ (144 - 12j^2) = (12-12j) / 0 ! Не пойдет!

Следующие отличия от комплексных чисел проявляются, когда мы раскладываем паракомплексное число в базис делителей нуля:

Каждое паракомплексное число представимо в таком виде. Паракомплексные числа не являются полем, но могу быть разложены в сумму вещественных полей!
Каждое паракомплексное число представимо в таком виде. Паракомплексные числа не являются полем, но могу быть разложены в сумму вещественных полей!

А теперь обратите внимание, как мы можем умножать паракомплексные числа, представленные в таком базисе:

-7

Т.е. в таком виде мы просто перемножаем координаты! Число, разложенное в такой базис нормированных делителей нуля, как бы начинает существовать в виде двух чисел, находящихся в независимых пространствах, в которых и выполняются операции сложения и умножения при выполнении сложения и умножения над самими числами.

Паракомплексные числа называют еще гиперболическими, потому что разложение комплексное экспоненты получается заменой всех тригонометрических функций на соответствующие гиперболические:

-8

Последнее выражение называется формулой Муавра для паракомплексных чисел. Геометрически на декартовой плоскости они изображаются следующим образом:

Гиперболические числа описывают пространство Минковского с сигнатурой (1,1). в этом пространстве "другие" расстояния, углы между векторами, условия ортогональности и т.д.
Гиперболические числа описывают пространство Минковского с сигнатурой (1,1). в этом пространстве "другие" расстояния, углы между векторами, условия ортогональности и т.д.

Если повращать рисунок и добавить объем, мы получим что-то похожее на пространство Минковского, с помощью которого сделана попытка описать окружающее нас пространство-время. Спасибо за внимание!

  • TELEGRAM и Вконтакте- там я публикую не только интересные статьи, но и математический юмор и многое другое.