Добавить в корзинуПозвонить
Найти в Дзене
MathLang

Решение пределов с помощью правила Лопиталя

Доброго времени суток. В данной статье постараюсь объяснить как применять правило Лопиталя при решении пределов.
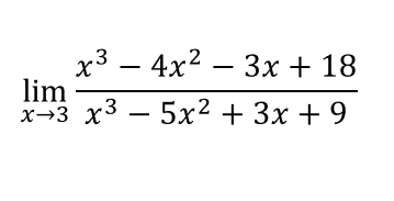
Перед тем, как приступить к разбору решений, нужно знать, что правило Лопиталя не всегда доступно. Оно применяется только при двух неопределенностей предела: Если выходит так, что неопределенность другого вида, то не стоит отчаиваться. Скорее всего, ее можно свести к нашим двум неопределенностям :) Это минимальная теория, которая позволит нам использовать это замечательное правило. Теперь можно перейти к объяснениям на примерах. Пример №1 1 шаг. Смотрим на то, к чему стремиться наш x. Подставим циферку 3 вместо х и найдем нашу неопределенность. На выходе получаем наш 2 случай неопределенности "ноль на ноль". 2 шаг. Берем производную числителя и знаменателя отдельно друг от друга! Это важно! Опять подставляем тройку вместо x и получаем ту же неопределенность вида "ноль на ноль". Значит опять берем производную числителя и знаменателя. Получаем Также подставляем тройку. О чуд
Оглавление

Доброго времени суток. В данной статье постараюсь объяснить как применять правило Лопиталя при решении пределов.
Перед тем, как приступить к разбору решений, нужно знать, что правило Лопиталя не всегда доступно. Оно применяется только при двух неопределенностей предела:

  1. Неопределенность вида "бесконечность на бесконечность"
  2. Неопределенность вида "ноль на ноль"

Если выходит так, что неопределенность другого вида, то не стоит отчаиваться. Скорее всего, ее можно свести к нашим двум неопределенностям :)

Это минимальная теория, которая позволит нам использовать это замечательное правило. Теперь можно перейти к объяснениям на примерах.

Пример №1

-2

1 шаг. Смотрим на то, к чему стремиться наш x. Подставим циферку 3 вместо х и найдем нашу неопределенность.

-3

На выходе получаем наш 2 случай неопределенности "ноль на ноль".

2 шаг. Берем производную числителя и знаменателя отдельно друг от друга! Это важно!

-4

Опять подставляем тройку вместо x и получаем ту же неопределенность вида "ноль на ноль". Значит опять берем производную числителя и знаменателя. Получаем

-5

Также подставляем тройку. О чудо, наш предел получил вид

-6

3 шаг. Получаем ответ в виде константы "десять делить на восемь" или же "пять делить на четыре".

Полное решение

-7

Пример №2

-8

1 шаг. Подставляем 0 вместо x и находим неопределенность предела.

-9

Вот и ситуация, где возникает неопределенность вида "бесконечность минус бесконечность", которая нам не подходит. Преобразуем ее к одной из нужных нам. Подойдет "бесконечность делить на бесконечность", так как больше всего похожа на исходную. Недолго думая, можно понять, что выражение внутри предела можно свести к общему знаменателю. Подставляем ноль вместо x и получаем

-10

Получили нужную нам неопределенность!

2 шаг. Берем производную числителя и знаменателя.

-11

Подставляем 0 вместо х и получаем

-12

3 шаг. Получаем ответ "три делить на ноль" т.е. "бесконечность".

-13

Полное решение

-14

Примеры для тренировки

-15

Спасибо за прочтение данной статьи, надеюсь она поможет Вам при решении пределов!

#МАТАНАЛИЗ #ВЫСШАЯ МАТЕМАТИКА #АЛГОРИТМ #лопиталь #пределы #производные