Найти в Дзене

14 задание ЕГЭ - 0 баллов

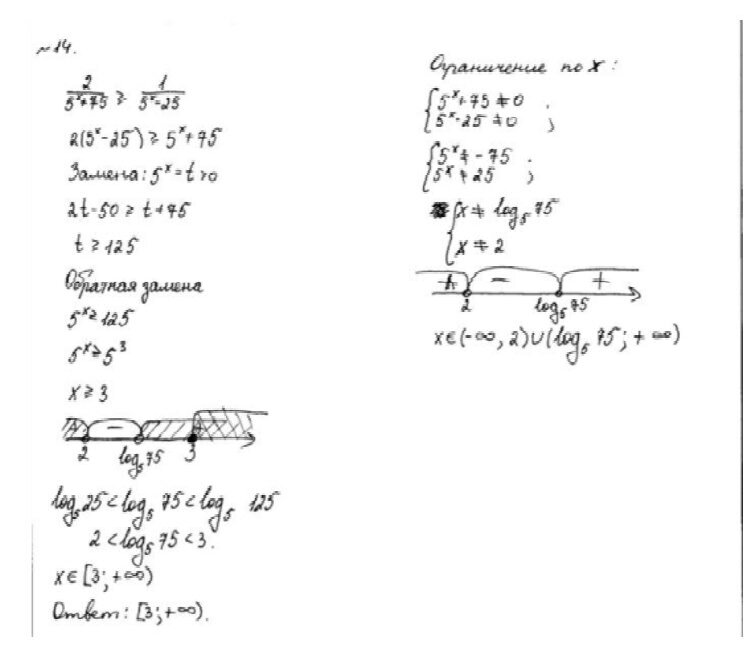
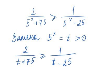
Работа моей ученицы. Стресс, усталость, выгорание сделали свое чёрное дело. Результат 0 баллов даже в таком несложном 14 задании. Давайте посмотрим, где были допущены ошибки Что же не так с этим решением? Записала ограничения по х вместо ОДЗ. Допустимо, но так как после замены неравенство сводится к дробно-рациональному, а для этого типа неравенств запись ограничений не нужна. Решая дробно-рациональные неравенства, никогда не "отбрасываем" знаменатели, содержащие неизвестную. Для неравенства получаем два промежутка в решении, поэтому ответ для переменой t запишем в виде совокупности. "Совокупность" в переводе на русский означает "или этот промежуток, или тот". Возвращаемся к старым переменным. И получаем ответ.

Работа моей ученицы. Стресс, усталость, выгорание сделали свое чёрное дело. Результат 0 баллов даже в таком несложном 14 задании. Давайте посмотрим, где были допущены ошибки

Что же не так с этим решением? Записала ограничения по х вместо ОДЗ. Допустимо, но так как после замены неравенство сводится к дробно-рациональному, а для этого типа неравенств запись ограничений не нужна.

-2

Решая дробно-рациональные неравенства, никогда не "отбрасываем" знаменатели, содержащие неизвестную.

-3

Для неравенства получаем два промежутка в решении, поэтому ответ для переменой t запишем в виде совокупности. "Совокупность" в переводе на русский означает "или этот промежуток, или тот".

-4

Возвращаемся к старым переменным.

-5

И получаем ответ.