Найти в Дзене

Площадь осевого сечения конуса. Тестовое задание для ЕГЭ №4377.

Сегодня рассмотрим задание №4377 из банка тестовых заданий для ЕГЭ ФИПИ. Это несложное стереометрическое задание , хотя оно, по мнению этого института, имеет «повышенный» уровень сложности. Напоминаю, для подписчиков планируется возможность получения решений в «вордовском» .DOCX формате со стандартными формулами и рисунками. Пока – кому требуется, делайте запросы в комментариях – я предоставлю файл. Дальше – посмотрим. Общий список заданий, разобранных на канале, приведён здесь. Задание Площадь основания конуса равна 36π, высота — 10. Найдите площадь осевого сечения этого конуса: Рассуждаем Осевое сечение конуса – это сечение, проходящее через его вертикальную ось, то есть ось будет лежать в плоскости этого сечения. Сечениями конуса могут быть и круги, и эллипсы, и сегменты параболы или гиперболы. Докажем, что фигура осевого сечения конуса – это треугольник. Поскольку ось лежит в плоскости сечения, то и все её точки также будут лежать в этой плоскости. Для нас важны две точки – верши
Оглавление

Сегодня рассмотрим задание №4377 из банка тестовых заданий для ЕГЭ ФИПИ. Это несложное стереометрическое задание , хотя оно, по мнению этого института, имеет «повышенный» уровень сложности.

Напоминаю, для подписчиков планируется возможность получения решений в «вордовском» .DOCX формате со стандартными формулами и рисунками.
Пока – кому требуется, делайте запросы в комментариях – я предоставлю файл. Дальше – посмотрим.
Общий список заданий, разобранных на канале, приведён здесь.

Задание

Площадь основания конуса равна 36π, высота — 10. Найдите площадь осевого сечения этого конуса:

Рассуждаем

Осевое сечение конуса – это сечение, проходящее через его вертикальную ось, то есть ось будет лежать в плоскости этого сечения. Сечениями конуса могут быть и круги, и эллипсы, и сегменты параболы или гиперболы. Докажем, что фигура осевого сечения конуса – это треугольник.

Поскольку ось лежит в плоскости сечения, то и все её точки также будут лежать в этой плоскости. Для нас важны две точки – вершина конуса и центр основания. Плоскость сечения, проходящая через центр основания (а основание в конусе – это круг), будет проходить по диаметру этого круга. Следовательно, плоскость сечения будет включать и крайние точки диаметра.

Получается, что в плоскости сечения будет три точки - вершина и две крайние точки диаметра. Между вершиной и любой точкой основания конуса (в том числе и крайними точками диаметра) проходят прямые - образующие конуса, а между крайними точками диаметра через основание проходит сам диаметр. Таким образом, все три отрезка между тремя точками лежат в плоскости сечения, а значит, эта фигура – треугольник.

Причём, основание этого треугольника – это диаметр основания конуса, а стороны равны, как образующие конуса. То есть, треугольник – равнобедренный. Высота конуса совпадает с высотой треугольника.

Для нахождения площади треугольника надо знать высоту и основание. Высота задана в условии. Основание треугольника получим из формулы площади круга-основания конуса.

План решения

  • По площади основания конуса найдём диаметр.
  • Зная высоту и основание треугольника (диаметр основания конуса), найдём площадь осевого сечения.

Решение

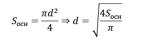
Площадь основания конуса равна площади круга диаметром d:

-2

Диаметр d – это основание треугольника сечения. Площадь треугольника равна:

-3

Подставляем исходные значения и получаем, ответ:

-4

Замечание

Нередко ученики помнят формулу площади круга через радиус, а не через диаметр:

-5

Вначале решения можно использовать и её, диаметр вдвое больше радиуса, в результате первая формула решения получается такой же.