Добавить в корзинуПозвонить
Найти в Дзене
MathScience

Разбираем все задания на производные, первообразные, а также касательные из сборника ЕГЭ-2022 по профильной математике.

Всем привет! В предыдущей статье я Вам рассказывал про одно из заданий пробника ЕГЭ-2022 по профильной математике на точки экстремума функций, а также наименьшее и наибольшее значение функции на заданном отрезке, и я решил, что раз уж мы заговорили про функции, грех не разобрать ещё пару заданий на эту тему. Сегодня мы с Вами научимся решать задания из ЕГЭ на касательные к графику функции, производные а также первообразные функции, и убедимся на примере, что такие задания решать очень-очень легко, и если понимать алгоритм их решения - это на экзамене это будет для Вас лишь халявный балл. Ну что же, приступим к выполнению заданий! Часть №1 - Производные функции. Задача №1 Начнём мы с самого лёгкого, что вам может попасться на экзамене, и это задания на производные функции. Давайте же посмотрим, что предлагают нам авторы сборника ЕГЭ и попробуем решить одно из таких заданий. Вот так выглядит наша с Вами первая задача на сегодня: Решается данная задача на самом деле элементарно. Достато
Оглавление

Всем привет! В предыдущей статье я Вам рассказывал про одно из заданий пробника ЕГЭ-2022 по профильной математике на точки экстремума функций, а также наименьшее и наибольшее значение функции на заданном отрезке, и я решил, что раз уж мы заговорили про функции, грех не разобрать ещё пару заданий на эту тему. Сегодня мы с Вами научимся решать задания из ЕГЭ на касательные к графику функции, производные а также первообразные функции, и убедимся на примере, что такие задания решать очень-очень легко, и если понимать алгоритм их решения - это на экзамене это будет для Вас лишь халявный балл. Ну что же, приступим к выполнению заданий!

Часть №1 - Производные функции.

Задача №1

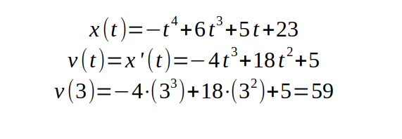
Начнём мы с самого лёгкого, что вам может попасться на экзамене, и это задания на производные функции. Давайте же посмотрим, что предлагают нам авторы сборника ЕГЭ и попробуем решить одно из таких заданий. Вот так выглядит наша с Вами первая задача на сегодня:

Решается данная задача на самом деле элементарно. Достаточно лишь знать одно из правил кинематики, что если взять производную у зависимости S(t) (в нашем случае это x(t)), то мы с вами получим новую зависимость скорости от времени v(t). Значит, наша задача - найти производную данной функции и найти значение производной в точке t = 3. Приступим к выполнению задания!

-2

Задача №2

Это было невероятно лёгкое задание, но и это самое примитивное, что Вам может встретиться на ЕГЭ. Рассмотрим ещё одно задание, которое уже намного сложней, чем предыдущее, но тем не менее, решается оно тоже легко:

-3

Здесь нас просят найти точку, в которой функция f(x) принимает наименьшее значение, если f(-1) < f(3). Давайте же попробуем её решить!

Итак, нам дан график f'(x), который пересекает ось абцисс в трёх точках: -2; 1; 3. Значит, это точка экстремума, ведь именно в них производная равна нулю. Точки -2 и 3 будут являться точками минимума, так как до них производная убывает, а после - возрастает, а точка 1 будет точкой максимума, так как до неё производная возрастает, а после - убывает. Значит, в одной из этих точек функция будет выдавать наименьшее значение. Точка -1 находится после точки минимума -2, значит по сути, функция в этом промежутке уже начала возрастать, и получается, что значение функции в точке -2 намного меньше, чем в точке -1. Получается следующее неравенство.

f(-2) < f(-1) < f(3).

Так как -2 и 3 - точки минимума, и f(-2) < f(3), то наименьшее значение функции у нас будет в точке -2, это и есть наш ответ к задаче.

Задача №3

Эта задача уже была по-тяжелее, чем предыдущая, но всё же, её решение тоже довольно понятное и не такое уж и сложное, как кажется. Попробуем решить похожее задание из сборника. Вот так выглядит следующее задание:

-4

Итак, в этой задаче нас просят найти, сколько раз за время движения скорость точки M обращалась в ноль. Как же это сделать? Сейчас покажу.

Мы с вами уже знаем, что производная от зависимости пути ко времени S(t) равна зависимости скорости от времени v(t). Тогда, получается, нам нужно с Вами выяснить, сколько раз производная функции S(t) обращается в ноль. Если производная функции в некоторой точке равна нулю, то эта точка называется точкой экстремума. Значит, нам нужно с Вами посчитать количество точек экстремума на графике. Обнаружить их можно очень легко, ведь это те точки, в которых функция, если она возрастала - то она начинает убывать, а если убывала - наоборот, возрастать. Таких точек, если посчитать, у нас на графике всего 6. Значит, это и будет наш ответ.

Часть №2 - Первообразные функции

Задача №1

Итак, вторая часть нашей статьи будет посвящена первообразным в ЕГЭ. В принципе, их решать точно также легко, как и задания на производные функции. Попробуем решить первое задание и убедимся в этом сами:

-5

Итак, здесь нам дан график функции f(x), и нас просят найти F(6) - F(2), где F(x) - одна из первообразных функции. Но как же решать такие задания? Сейчас попробуем разобраться.

Итак, как же найти F(6) - F(2)? Многие из Вас знают, что когда мы находим разность значений первообразной функции по формуле F(b) - F(a) - это тоже самое, что и определённый интеграл с пределами интегрирования от a до b. Значит, если мы с Вами вычислим определённый интеграл функции f(x) с пределами интегрирования от 2 до 6 - мы с Вами найдём разность F(6) - F(2). Но ведь нам даже не дано уравнение функции f(x), как же тогда быть? А очень даже просто! Достаточно лишь знать одну из функций определённого интеграла, а именно, что определённый интеграл - это площадь под графиком на заданном отрезке. Значит, если мы с Вами вычислим площадь под графиком на заданном отрезке - то мы решим с Вами задачу. Здесь, на заданном отрезке [2; 6] мы с Вами видим трапецию с основаниями 3 и 4, и высотой 2. Значит, нам достаточно всего-лишь по известной нами формуле найти площадь трапеции, так и сделаем:

-6

Всё, вот так просто мы и решили с Вами первую задачу. Согласитесь, она была не такой уж и сложной.

Задача №2

Чтобы закрепить наш скилл решения этого подтипа задач на первообразную функции, решим похожее задание:

-7

Здесь нас просят вычислить определённый интеграл функции f(x) с пределами интегрирования от 1 до 5. Решается эта задача точно также, как и предыдущая. Мы с Вами знаем, что определённый интеграл - это площадь под графиком, значит вычисляем площадь фигуры под графиком на отрезке [1; 5]. Под графиком мы опять видим трапецию, у неё нижнее основание 4, верхнее - 2, а высота - 4. Значит, вычисляем площадь по той же формуле, что и в предыдущем задании:

-8

Всё, вот так просто мы с Вами решили второе задание. Переходим к следующему типу таких задач!

Задача №3.

Следующий тип задач на первообразную функции ничем не отличается от первого типа, только лишь алгоритмом решения. Рассмотрим одну из таких задач:

-9

Итак, здесь нам дано уравнение первообразной функции F(x), а также график функции f(x). Наша задача - найти площадь закрашенной фигуры, которая лежит на отрезке [8; 10]. Сделать это очень легко. Для этого, нам нужно лишь вычислить F(10) - F(8), это и будет площадь нашей с Вами закрашенной фигуры. Приступим к решению!

-10

Всё! Вот так легко и решается наша третья задача. И это был последний тип задач на первообразную функции.

P.s. Я не написал в решении задачи константу неизвестного интегрирования C, которая в нашем случае равна -3/4. Я решил, что нет смысла лишний раз писать эту константу, так как на площадь она абсолютно никак не влияет и при раскрытии скобок тупо взаимоуничтожается и даёт алгебраическую сумму, равную нулю.

Часть №3. Касательные к графику функции

Задача №1

Напоследок я решил оставить самое вкусное, а именно - задачи на касательные к графику функции. Это самый распространённый вид задач из всех трёх, что мы с Вами сегодня разобрали, и поэтому нужно обязательно научиться решать такие задачки. Рассмотрим одну из таких:

-11

Здесь нам дан график функции y = f(x), а также точка касания. Наша задача - найти значение производной функции в точке 8. Как же это сделать? Сейчас расскажу.

Итак, мы с Вами знаем, что значение производной функции в точке касания равна угловому коэффициенту касательной, а также тангенсу угла наклона этой касательной, а 8 - это как-раз таки точка касания. Значит, f'(8) = k, и для решения задачи нам надо найти угловой коэффициент касательной. По условию задачи, касательная проходит через начало координат, а если линейная функция проходит через начало координат, то у неё коэффициент b равен нулю. Значит, уравнение нашей касательной выглядит вот так:

-12

Подставим вместо переменных x и y значения в точке касания (так как это точка касания, то график касательной 100% будет проходить через эту точку), решим уравнение относительно переменной k и найдём с Вами наш угловой коэффициент функции:

-13

Получается, что наш угловой коэффициент равен 1,25, значит f'(8) = 1,25. Это и есть ответ к нашей задаче.

Задача №2

Вторая задача уже будет чуть по-сложней, чем предыдущая. Вот так выглядит её условие:

-14

Здесь, нам дан график функции f(x) и касательная к этому графику в некоторой точке касания, и наша задача - найти значение производной функции в этой точке касания. Мы уже с Вами знаем, что f'(x0) = k, значит нам надо всего-лишь найти угловой коэффициент касательной. Но как это сделать, если у нас ни уравнения касательной, ничего? Очень даже просто. Мы видим на графике две зелёные точки, через которые проходит касательная. Запишем их в виде системы уравнений, подставив значения вместо x и y:

-15

Получилась вот такая классная система уравнений. Решим её, и получим коэффициенты k и b нашего графика:

-16

Всё, систему уравнений мы с Вами решили, что же делать дальше? Нас в условии задачи просили найти значение производной функции в точке x0. Так как f'(x0) = k, а мы с Вами знаем угловой коэффициент, то тогда f'(x0) = -1,75. Это и есть ответ к нашей задаче.

Задача №3

Третья задача тоже немного похожа на предыдущую. Вот так она выглядит:

-17

Здесь нас просят найти абциссу точки касания к квадратичной функции, а также дан график прямой, которая параллельна касательной. Как же решать эту задачу? Вновь воспользуемся свойством, которое гласит, что производная функции в точке касания равна угловому коэффициенту касательной. Так как нам дан график прямой, параллельный касательной, то значит, что угловые коэффициенты наших прямых равны, а вот коэффициенты b, отвечающие за движение по оси Oy разные, но нам коэффициент b особо и не нужен. Найдём производную нашей квадратичной функции, приравняем её к угловому коэффициенту этой прямой, и найдём абциссу точки касания:

-18

У нас получился ответ x = 0.5, это и есть абцисса нашей точки касания. Вот мы и решили с Вами задачу.

Задача №4

Четвёртая задача будет немного сложней, чем предыдущие. Вот так выглядит условие задачи:

-19

Здесь нам дано уравнение касательной, а также некая функция g(x). Наша задача - найти значение производной функции g(x) в точке касания x0. Для начала, найдём производную этой функции:

-20

Весь прикол этой задачи в том, что нам не надо знать даже координаты точки x0. Ведь если мы подставим в функцию g'(x) абциссу точки x0, то тогда f'(x0) = k, ведь мы находим значение производной функции f(x) в точке касания. Тогда, подставив в функцию g'(x) абциссу точки x0, получаем:

-21

Всё! Вот так легко и решается эта задача. Достаточно лишь знать правила дифференцирования функций, а также свойство производной функции в точке касания, и наше задание решается в два счёта.

Итог занятия

Сегодня мы с Вами решили несколько задач на производные, первообразные а также касательные к графику функции из сборника ЕГЭ-2022 по профильной математике, и на собственном опыте убедились, что такие задачки не так уж и сложно решать. А на этом у меня всё, следите за нашими новостями в Telegram, а также в VK. Всем пока!

Telegram: https://t.me/mathsciencechan
VK: https://vk.com/mathscienceproject