Найти в Дзене

Анализ реального 34-го задания ЕГЭ по химии 2022. Возможно ли два варианта ответа?

Вы хотите познавать химию и профессионально, и с удовольствием? Тогда вам сюда! Автор методики системно-аналитического изучения химии Богунова В.Г. раскрывает тайны решения задач, делится секретами мастерства при подготовке к ОГЭ, ЕГЭ, ДВИ, олимпиадам Хочешь сдать ЕГЭ по химии и биологии на 90+? WhatsApp репетитора Богуновой В.Г. +7(903)186-74-55 Сайт репетитора Богуновой В.Г. Репетитор Богунова В.Г. ВК Полный каталог статей - на авторском сайте в разделе "Статьи репетитора Богуновой В.Г." Не пропусти летний курс алгоритмики химии "Стартап+ (химия с нуля по-взрослому)" ! Это твой шанс научиться решать задачи по химии системно, с использованием основ математической логики! Пиши на WhatsApp +7(903)186-74-55 Разгребаю кучу материала, которые вываливают абитуриенты в самых разных группах сразу после экзамена. Сортирую задания. Уточняю данные. Делаю наброски решений. Каждый день преподносит новые открытия. Сегодня наткнулась на 34 задание с азотом. Задача как задача, но... Впрочем, смотрите

Вы хотите познавать химию и профессионально, и с удовольствием? Тогда вам сюда! Автор методики системно-аналитического изучения химии Богунова В.Г. раскрывает тайны решения задач, делится секретами мастерства при подготовке к ОГЭ, ЕГЭ, ДВИ, олимпиадам

Хочешь сдать ЕГЭ по химии и биологии на 90+? WhatsApp репетитора Богуновой В.Г. +7(903)186-74-55

Сайт репетитора Богуновой В.Г.

Репетитор Богунова В.Г. ВК

Полный каталог статей - на авторском сайте в разделе "Статьи репетитора Богуновой В.Г."

Не пропусти летний курс алгоритмики химии "Стартап+ (химия с нуля по-взрослому)" ! Это твой шанс научиться решать задачи по химии системно, с использованием основ математической логики!
Пиши на WhatsApp +7(903)186-74-55

Разгребаю кучу материала, которые вываливают абитуриенты в самых разных группах сразу после экзамена. Сортирую задания. Уточняю данные. Делаю наброски решений.

Каждый день преподносит новые открытия. Сегодня наткнулась на 34 задание с азотом. Задача как задача, но... Впрочем, смотрите сами.

В конце публикации, как всегда, подарок от репетитора.

Реальная 34-я задача ЕГЭ 2022

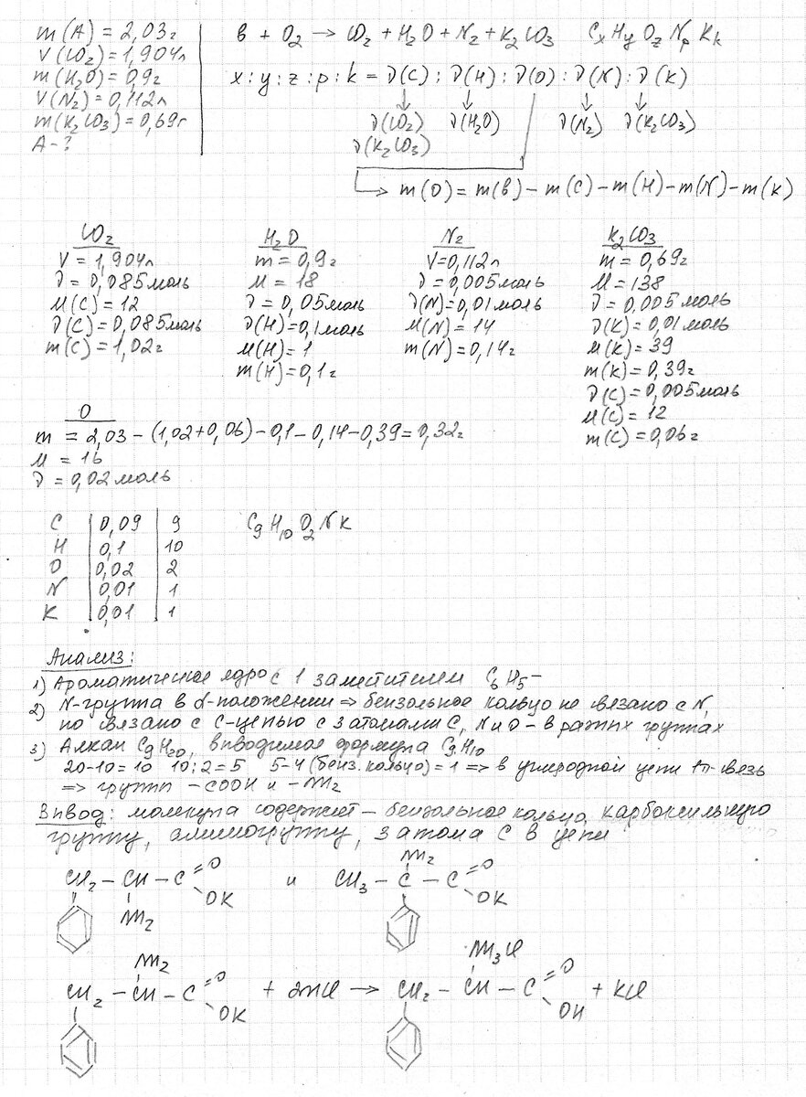
При сгорании 2,03 г органического вещества А образуется 1,904 л (н.у.) углекислого газа, 0,9 г воды, 0,112 л (н.у.) азота и 0,69 г карбоната калия. Известно, что в веществе А азотсодержащая функциональная группа находится в α-положении по отношению к кислородсодержащей, а в ароматическом ядре замещен только один атом водорода.
На основании данных условия задания:
1) проведите необходимые вычисления (указывайте единицы измерения искомых физических величин) и установите молекулярную формулу органического вещества А;
2) составьте возможную структурную формулу вещества А, которая однозначно отражает порядок связи атомов;
3) напишите уравнение реакции взаимодействия вещества А с избытком соляной кислоты (используйте структурные формулы органических веществ).
Реальная 34-я задача ЕГЭ по химии 2022. Решает репетитор Богунова В.Г.
Реальная 34-я задача ЕГЭ по химии 2022. Решает репетитор Богунова В.Г.

Анализ алгоритма решения задачи

1. Вывести формулу вещества по продуктам сжигания - просто. В рамках этой публикации я не буду объяснять соответствующий алгоритм. Но если кто-то не знает даже этого, рекомендую прочитать мои статьи

Секретная шпаргалка по химии. 5.4. Вывод формулы вещества по продуктам сжигания

Репетитор по химии готовит к ЕГЭ 2019. 35-е задание (по следам продуктов сжигания - к формуле дихлорпропановой кислоты)

Репетитор по химии готовит к ЕГЭ 2019. 35-е задание (по следам продуктов сжигания - к формуле этилформиата)

2. Итак, мы вывели формулу С9Н10О2NК
3. Из условия понятно, что молекула вещества имеет ароматическое ядро, в котором замещен только один атом Н, т.е. С6Н5-
4. Азотсодержащая группа находится в альфа-положении по отношению к кислородсодержащей группе.
Альфа-положение относится к первому атому С, связанному с функциональной группой. Значит, азотсодержащая группа не связана с бензольным кольцом.
Азот не связан с кислородом (по условию - это разные группы).
Вывод: азот находится в аминогруппе, расположенной в альфа-положении.
5. Определяем число π-связей в молекуле.
Алкан С9Н20 (20 атомов Н)
Вещество С9Н10О2NК (10+1-1 атомов Н) (при наличии аминогруппы число атомов Н увеличивается на 1)
20 - 10 = 10
Бензольное кольцо - 3 π-связи + 1 цикл (8 атомов Н)
10-8 = 2, значит в оставшейся части формулы еще 1 π-связь
Поскольку, в цепи 3 атома С (9 - 6 = 3), π-связь может быть только с атомом О.
6. В молекуле 2 атома О и 1 π-связь, значит это - карбоксильная группа, в которой атом Н замещен на К.
7. Молекула содержит:
1) бензольное кольцо
2) аминогруппу в альфа-положении
3) карбоксильную группу (с атомом К)
4) 3 атома С в цепи (один из них - карбоксильный)
8. Определяем вещество. В условии задачи нет указания на природное происхождение вещества, поэтому невозможно составить "структурную формулу вещества А, которая ОДНОЗНАЧНО отражает порядок связи атомов". Предлагается два варианта:
1) фенилаланин (аминокислота, входящая в состав белков)
2) 2-фенилаланин (аминокислота)

Вот так вот! "Это вам, батенька, не в пинг-понг играть!" Не знаю, как эксперты будут проверять это задание. Но есть над чем задуматься. У кого попалось такая задача (без указания на природное происхождение вещества), но вы не набрали 3 балла, можете смело идти на апелляцию, сославшись на мою статью.

А теперь, обещанный подарок от репетитора с нестандартным (пока еще) условием 34-го задания.

Задача от автора

При сгорании органического вещества А количеством 0,025 моль получено 4,48  л (н. у.) углекислого газа и 1,8  г воды. На сжигание данного количества вещества израсходовано 5,04 л кислорода. Известно, что вещество А вступает в реакцию с раствором гидроксида натрия при нагревании, в результате чего образуется предельный одноатомный спирт и соль, кислотный остаток которой содержит семь атомов углерода.
На основании данных условия задачи:
1) проведите необходимые вычисления (указывайте единицы измерения искомых физических величин) и установите молекулярную формулу вещества А;
2) составьте возможную структурную формулу вещества А, которая однозначно отражает порядок связи атомов в его молекуле;
3) напишите уравнение реакции вещества А с раствором гидроксида натрия при нагревании (используйте структурные формулы органических веществ).

Скоро ожидайте еще одну ОЧЕНЬ ВАЖНУЮ сенсацию!

Не пропусти летний курс алгоритмики химии "Стартап+ (химия с нуля по-взрослому)"! Это твой шанс научиться решать задачи по химии системно, с использованием основ математической логики!
Пиши на WhatsApp +7(903)186-74-55

Понравилась статья? Самое интересное, как всегда, впереди! Успехов и удачи! До встречи на Яндекс Дзен!

Не забывайте подписаться на мой канал и поставить лайк!

Репетитор по химии и биологии кбн В.Богунова