Найти в Дзене

Ужасы ЕГЭ по химии 2022. Почему не решили 33-ю задачу? Неужели во всем виноваты протоны?

Вы хотите познавать химию и профессионально, и с удовольствием? Тогда вам сюда! Автор методики системно-аналитического изучения химии Богунова В.Г. раскрывает тайны решения задач, делится секретами мастерства при подготовке к ОГЭ, ЕГЭ, ДВИ, олимпиадам Хочешь сдать ЕГЭ по химии и биологии на 90+? WhatsApp репетитора Богуновой В.Г. +7(903)186-74-55 Сайт репетитора Богуновой В.Г. Репетитор Богунова В.Г. ВК Продолжаю публиковать решение и анализ реальных задач ЕГЭ 2022. Многие абитуриенты даже не стали решать на ЕГЭ 33-ю задачу, увидев там протоны, электроны и число Авогадро. Однако, если разобраться, сложность 33-х заданий 2022 года связана далеко не только с протонами. Лично мне понравились 33-и задачи ЕГЭ 2022, поскольку в них, помимо протонов-электронов, стали появляться действительно интересные фишки. Чтобы их (эти фишки) прочувствовать и методически разобрать, нужно заняться серьезным (системным) "препарированием" заданий. Благо, сейчас лето и работы не так много. Я очень люблю ск

Вы хотите познавать химию и профессионально, и с удовольствием? Тогда вам сюда! Автор методики системно-аналитического изучения химии Богунова В.Г. раскрывает тайны решения задач, делится секретами мастерства при подготовке к ОГЭ, ЕГЭ, ДВИ, олимпиадам

Хочешь сдать ЕГЭ по химии и биологии на 90+? WhatsApp репетитора Богуновой В.Г. +7(903)186-74-55

Сайт репетитора Богуновой В.Г.

Репетитор Богунова В.Г. ВК

Продолжаю публиковать решение и анализ реальных задач ЕГЭ 2022.

Многие абитуриенты даже не стали решать на ЕГЭ 33-ю задачу, увидев там протоны, электроны и число Авогадро. Однако, если разобраться, сложность 33-х заданий 2022 года связана далеко не только с протонами.

Лично мне понравились 33-и задачи ЕГЭ 2022, поскольку в них, помимо протонов-электронов, стали появляться действительно интересные фишки. Чтобы их (эти фишки) прочувствовать и методически разобрать, нужно заняться серьезным (системным) "препарированием" заданий. Благо, сейчас лето и работы не так много.

Я очень люблю скрупулезно покопаться в задаче, разложить все по полочкам, насладиться "кружевом алгоритма", выбрать "главный по уровню сложности" элемент алгоритма и зафиксировать его в методической базе, на основе реальной задачи составить десяток коротких несложных заданий для проработки отдельных элементов.

Не буду продолжать лирическое введение, лучше насладимся решением еще одной реальной задачи ЕГЭ. И вы сами поймете, что в сложности заданий ЕГЭ виноваты далеко не только протоны.

В конце публикации вас ожидает ПОДАРОК от репетитора!

Реальная 33 задача ЕГЭ 2022

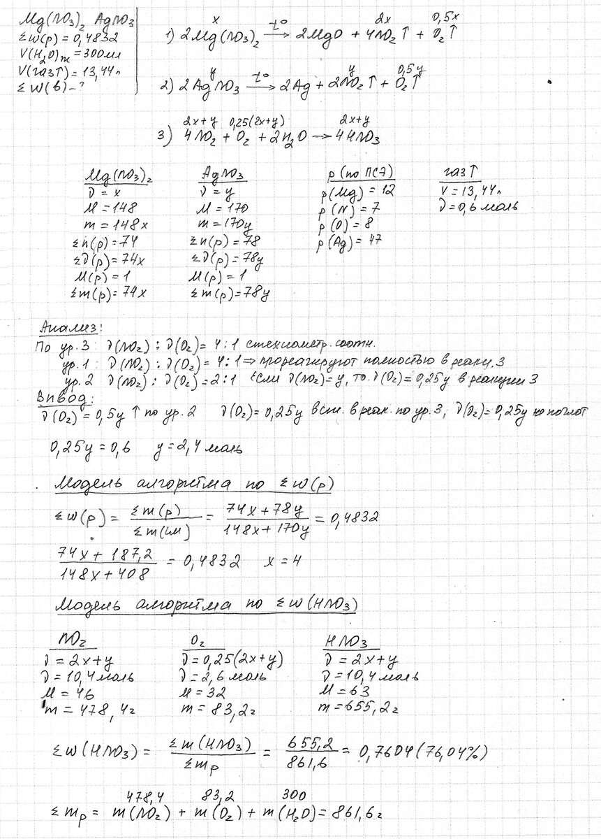
Смесь нитрата магния и нитрата серебра, в которой масса протонов составляет 48,32% от общей массы смеси, прокалили до постоянной массы. Выделившуюся смесь газов пропустили через 300 мл воды. При этом объем непоглотившегося газа составил 13,44 л (н.у.). Вычислите массовую долю растворенного вещества в образовавшемся растворе.
Реальная задача ЕГЭ по химии 2022. Решает репетитор Богунова В.Г.
Реальная задача ЕГЭ по химии 2022. Решает репетитор Богунова В.Г.

Анализ алгоритма решения задачи

1. Согласно авторской методике, решение каждой задачи включает 4 ключевых шага: выписать данные в разделе "Дано", написать уравнения реакций, сделать предварительные расчеты, составить математическую модель алгоритма. Я об этом неоднократно писала во многочисленных публикациях.
2. Пишем три уравнения реакции. Кстати, разложение нитратов металлов (три пути, в зависимости от положения металла в ряду активности) нужно знать.
3. Проводим предварительные расчеты, выписывая досье на нитрат магния, нитрат серебра и газ, который не поглотился. Поскольку количества вещества солей неизвестны, определяем их как Х и Y.
4. Математическая составляющая алгоритма, явно, подразумевает два неизвестных и, соответственно, два уравнения системы. Но... нам не дана масса раствора. Значит, остается только одно алгебраическое уравнение, составленное по массовой доле протонов. Где взять второе алгебраическое уравнение или как-то определить одно из неизвестных?
5. Начинаем анализ еще одного данного - объем (и рассчитанное количество вещества) непоглотившегося газа.
Что это за газ?
В уравнении реакции 3) стехиометрическое соотношение газообразных реагентов 4 : 1. Аналогичное соотношение газообразных продуктов в уравнении реакции 1).
Вывод: продукты из уравнения реакции 1) полностью прореагировали по уравнению реакции 3)
В уравнении реакции 2) соотношение газообразных продуктов 2 : 1. Если использовать эти соотношения для расчетов по уравнению реакции 3), очевидно, что кислород - в избытке.
Вывод: непоглотившийся газ (0,6 моь) - это избыточный кислород, выделившийся по уравнению реакции 2).
Всего по уравнению реакции 2) кислорода выделилось 0,5y. Из этого количества в реакцию 3) вступает 0,25y (если сделать расчет по уравнению реакции), и остается 0,6 моль кислорода. Составляем алгебраическое уравнение и находим Y - количество вещества нитрата серебра (2,4 моль).
Кстати, это - самая интересная фишка задачи: закрутить стехиометрические количества разных реакций и массовую долю протонов в одном условии.
6. В алгебраическом уравнении массовой доли протонов подставляем Y (2,4 моль) и определяем Х - количество вещества нитрата магния (4 моль)
7. Делаем расчеты по уравнению реакции 3) и находим количество вещества азотной кислоты (10,4 моль).
8. Определяем массовую долю азотной кислоты в растворе.
Не забываем, что масса раствора складывается из масс прореагировавших газов (кислорода и диоксида азота) и массы воды.
Кстати, плотность чистой воды равна 1 г/мл.

Задача решена. Тот, кто выполнил это задание на ЕГЭ с таким же ответом, честно заработал 4 балла!

А теперь - обещанный подарок. Читайте, решайте и наслаждайтесь авторской стилизованной задачей "на протоны"

Стилизованная задача от автора

Смесь сульфата железа (II) и сульфата железа (III), в которой массовая доля протонов составляет 48,913%, поместили в раствор перманганата калия, подкисленный серной кислотой, массой 126,4 г с массовой долей протонов 55,182% (протоны атомов серной кислоты не учитывать). Вещества прореагировали полностью. Определите массу раствора гидроксида натрия с массовой долей протонов 54,444%, который может прореагировать с полученным раствором

Скоро ожидайте еще одну ОЧЕНЬ ВАЖНУЮ сенсацию!

Понравилась статья? Самое интересное, как всегда, впереди! Успехов и удачи! До встречи на Яндекс Дзен!

Не забывайте подписаться на мой канал и поставить лайк!

Репетитор по химии и биологии кбн В.Богунова