Добавить в корзину
Позвонить
Найти в Дзене
Войти
ПОДГОТОВКА ОГЭ ЕГЭ
164 подписчика
Подписаться
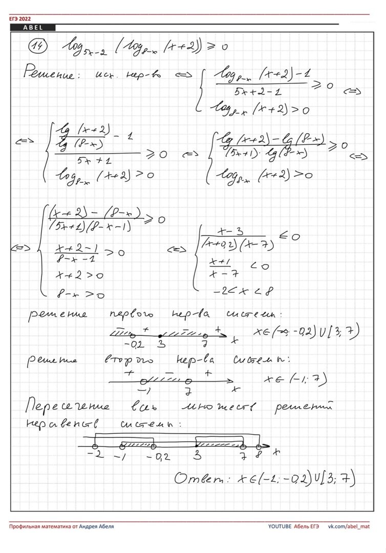
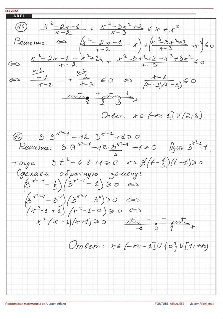
Задание №14 из ЕГЭ 2022
29 мая 2022
29 мая 2022
27
...
Читать далее
1
2296203084.856.1777634469398.51330