Добавить в корзинуПозвонить
Найти в Дзене

Сечение параллелепипеда. Задание №4335

Сегодня разберём несложную стереометрическую задачу №4335. На сайте ФИПИ её уровень обозначен, как «повышенный», однако, её решение доступно даже слабым ученикам, помнящим геометрию из средних классов. Как всегда, напомню, поскольку Дзен плохо поддерживает формулы – я использую скриншоты из редактора. В дальнейшем для подписчиков планируется возможность получения решений в "вордовском" .DOCX формате со стандартными формулами и рисунками. Пока – кому требуется, делайте запросы в комментариях – я предоставлю файл. Дальше – что-нибудь придумаем. Общий список заданий, разобранных на канале, приведён здесь. Задание В прямоугольном параллелепипеде ABCDA1B1C1D1 известны длины рёбер: AB = 7, AD = 3, AA1 = 4. Найдите площадь сечения параллелепипеда плоскостью, проходящей через точки A, B и C1: Рассуждаем. В условии дан чертёж, из которого видно, что сечение является параллелограммом. Поэтому данный факт доказывать не надо. Но, надо вспомнить следующее правило: Свойство параллелепипеда: Диагона
Оглавление

Сегодня разберём несложную стереометрическую задачу №4335. На сайте ФИПИ её уровень обозначен, как «повышенный», однако, её решение доступно даже слабым ученикам, помнящим геометрию из средних классов.

Как всегда, напомню, поскольку Дзен плохо поддерживает формулы – я использую скриншоты из редактора.
В дальнейшем для подписчиков планируется возможность получения решений в "вордовском" .DOCX формате со стандартными формулами и рисунками.
Пока – кому требуется, делайте запросы в комментариях – я предоставлю файл. Дальше – что-нибудь придумаем.
Общий список заданий, разобранных на канале, приведён здесь.

Задание

В прямоугольном параллелепипеде ABCDA1B1C1D1 известны длины рёбер: AB = 7, AD = 3, AA1 = 4. Найдите площадь сечения параллелепипеда плоскостью, проходящей через точки A, B и C1:

Задание №4335
Задание №4335

Рассуждаем.

В условии дан чертёж, из которого видно, что сечение является параллелограммом. Поэтому данный факт доказывать не надо. Но, надо вспомнить следующее правило:

Свойство параллелепипеда: Диагонали параллелепипеда равны.

Поскольку две диагонали параллелепипеда совпадают с диагоналями параллелограмма сечения, отсюда следует, что они равны, а значит, параллелограмм сечения является прямоугольником.

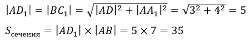
Одна из сторон этого прямоугольника известна, она совпадает с заданной стороной параллелепипеда. Вторую можно найти с помощью теоремы Пифагора. Зная обе стороны – находим площадь.

План решения

  • Из теоремы Пифагора найдём длину боковых сторон прямоугольного сечения.
  • Зная обе длины сторон прямоугольного сечения, найдём его площадь.

Решение

-2

Замечание

Если бы в условии не было бы чертежа, то дополнительно надо было бы ещё доказать, что сечение проходит через точку D1. Для этого надо вспомнить свойство точки, лежащей на прямой, которая принадлежит плоскости:

Точка лежит в плоскости, если она принадлежит прямой, лежащей в плоскости.

Диагонали параллелепипеда совпадают с диагоналями сечения. Все их точки, включая середину диагоналей, лежат в плоскости сечения. Значит и вторая диагональ, в которую входит и точка D1, также принадлежит плоскости сечения.