Добавить в корзинуПозвонить
Найти в Дзене

Думалка #5

Приветствую вас, любители интересной математики. Известно, что x = (2 + корень из 2):(2 - корень из 2). Найдите значение следущего выражения: Решение: Сначала, давайте внимательнее посмотрим на значение x. Дробь в данном случае очень неудобна, так что избавимся от знаменателя путём умножения дроби на числитель(т.к. знаменатель можно будет расписать по формуле разности квадратов). P.S. Т.к. мы умножаем на дробь, числитель и знаменатель которой равны, наша дробь от этого не меняется, т.к. по сути мы нашу дробь умножаем на 1. В числителе тогда получится квадрат суммы, а в числителе 2 - 1 т.е. 1. Получили более удобное значение x = 3 + 2 корня из 2. Затем, перенесём 3 в левую сторону и возыедём обе части в квадрат. Заметим, что в искомом нами уравнении в первых 2 слагаемых можно вынести x в квадрате и тогда в скобках мы получим наше полученное уравнение. Всё! Остаётся лишь подставить вместо x наше полученное в 1 шаге уравнение. Ответ: x = -2 корня из 2.

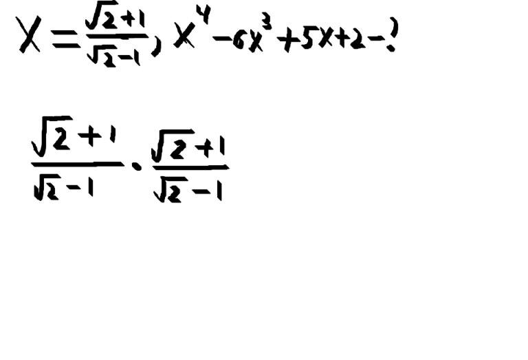
Приветствую вас, любители интересной математики. Известно, что x = (2 + корень из 2):(2 - корень из 2). Найдите значение следущего выражения:

Решение:

Сначала, давайте внимательнее посмотрим на значение x. Дробь в данном случае очень неудобна, так что избавимся от знаменателя путём умножения дроби на числитель(т.к. знаменатель можно будет расписать по формуле разности квадратов).

P.S. Т.к. мы умножаем на дробь, числитель и знаменатель которой равны, наша дробь от этого не меняется, т.к. по сути мы нашу дробь умножаем на 1.

-2

В числителе тогда получится квадрат суммы, а в числителе 2 - 1 т.е. 1.

-3

Получили более удобное значение x = 3 + 2 корня из 2. Затем, перенесём 3 в левую сторону и возыедём обе части в квадрат.

-4

Заметим, что в искомом нами уравнении в первых 2 слагаемых можно вынести x в квадрате и тогда в скобках мы получим наше полученное уравнение.

-5

Всё! Остаётся лишь подставить вместо x наше полученное в 1 шаге уравнение.

-6

Ответ: x = -2 корня из 2.