Добавить в корзинуПозвонить
Найти в Дзене

Предел с двойными факториалами. Как решать?

Математика онлайн. Доступно о сложном. Серия «Лайфаки для студентов» Здравствуйте, уважаемые любители математики! Предел выглядит жутковато ))) Но начнем разбираться. Если факториал числа n – это произведение всех натуральных чисел от 1 до n, то двойной факториал – это произведение натуральных чисел из отрезка [1, n] той же четности, что и число n. Например, 5!! = 1*3*5=15 – произведение всех нечетных чисел от 1 до 5; 6!! = 2*4*6=48 – произведение всех четных натуральных чисел до 6 включительно. При этом 5! = 1*2*3*4*5=120, 6! = 1*2*3*4*5*6=720. Вернемся к нашему пределу. Видим (2n)!! и (2n+2)!!. Выражение (2n)!! – это произведение всех четных чисел от 2 до 2n, а (2n+2)!! –произведение всех четных чисел от 2 до (2n+2), при этом предпоследний множитель будет на 2 меньше, чем последний, т.е. 2n. Теперь можно (2n+2)!! записать через (2n)!!, а затем и в числителе, и в знаменателе вынести (2n)!! за скобки и сократить. Выражение под знаком предела станет проще. Теперь разберемся с (2n-1)!!

Математика онлайн. Доступно о сложном. Серия «Лайфаки для студентов»

Двойные факториалы под знаком предела
Двойные факториалы под знаком предела

Здравствуйте, уважаемые любители математики!

Предел выглядит жутковато )))

Но начнем разбираться.

Если факториал числа n – это произведение всех натуральных чисел от 1 до n, то двойной факториал – это произведение натуральных чисел из отрезка [1, n] той же четности, что и число n.

Например,

5!! = 1*3*5=15 – произведение всех нечетных чисел от 1 до 5;

6!! = 2*4*6=48 – произведение всех четных натуральных чисел до 6 включительно.

При этом 5! = 1*2*3*4*5=120, 6! = 1*2*3*4*5*6=720.

Вернемся к нашему пределу.

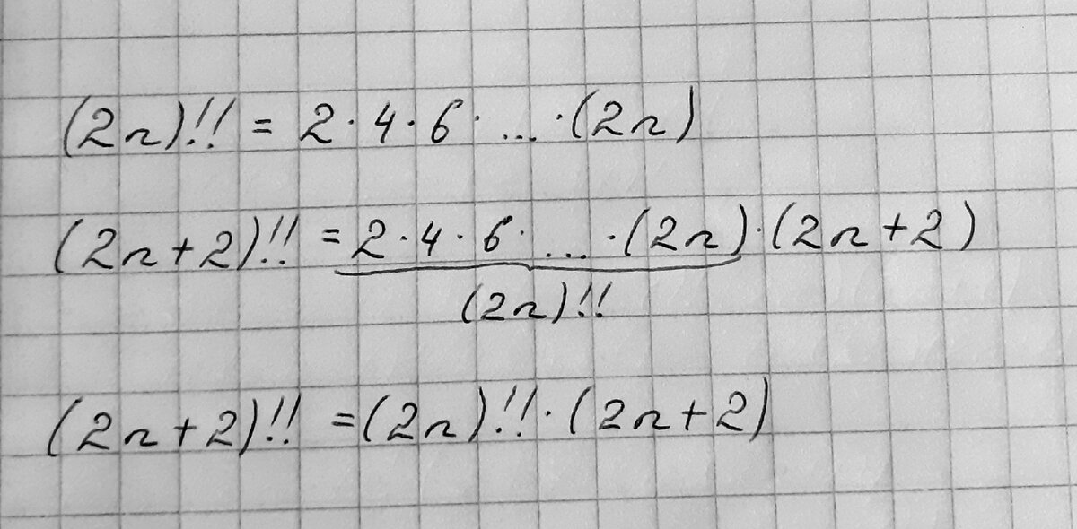
Видим (2n)!! и (2n+2)!!.

Выражение (2n)!! – это произведение всех четных чисел от 2 до 2n, а (2n+2)!! –произведение всех четных чисел от 2 до (2n+2), при этом предпоследний множитель будет на 2 меньше, чем последний, т.е. 2n.

Двойной факториал четного числа
Двойной факториал четного числа

Теперь можно (2n+2)!! записать через (2n)!!, а затем и в числителе, и в знаменателе вынести (2n)!! за скобки и сократить.

Выражение под знаком предела станет проще.

Сокращение на (2n)!!
Сокращение на (2n)!!

Теперь разберемся с (2n-1)!! и (2n-3)!!

И (2n-1), и (2n-3) нечетны, т.е. при вычислении двойных факториалов будем умножать нечетные числа.

Расписывая произведения, увидим, что (2n-1)!! выражается через (2n-3)!!

Двойной факториал нечетного числа
Двойной факториал нечетного числа

Подставим полученное представление в предел, вынесем (2n-3)!! за скобки и сократим на него.

Получим отношение двух многочленов.

Дальше можно было бы раскрыть скобки и привести подобные слагаемые, но мы не будем это делать.

Если внимательно посмотреть, то можно увидеть, что и в числителе, и в знаменателе стоят многочлены второй степени. Причем коэффициент перед n^2 в числителе равен 16, а в знаменателе – 28.

Сокращение на (2n-3)!!
Сокращение на (2n-3)!!

Следовательно, предел равен 16/28=4/7.

На моем телеграм-канале вышла серия постов, посвященных пределам выражений с факториалами. Если эта тема интересна, заходите, читайте, решайте.

Другие статьи серии «Лайфаки для студентов»

О канале

Рубрикатор канала

#математика онлайн (лайфаки) #математика #высшая математика #задачи #задачи по математике #образование #репетитор #репетитор по математике #онлайн-обучение #репетитор онлайн