Найти в Дзене
Курс Агент

ТИПИЧНЫЕ ОШИБКИ НА ЕГЭ ПО МАТЕМАТИКЕ

Какие ошибки допускают выпускники на ЕГЭ по профильной математике чаще всего? Рекомендации репетитора в последние дни перед ЕГЭ Эта статья написана  в первую очередь для выпускников, которые совсем скоро пойдут на важный и ответственный бой, называемый единым государственным экзаменом. От исхода этого поединка зависит дальнейший вектор развития. Но прошу Вас, не думайте, что от результатов зависит вся ваша жизнь. Экзамен – это лишь рубеж, испытание, которое нужно пройти с высоко поднятой головой. Я достаточно давно и интенсивно занимаюсь подготовкой абитуриентов к единому государственному экзамену по математике и физике. После экзамена ребята активно делятся впечатлениями, когда приходят результаты - отправляют сканы работ, которые я внимательно изучаю. И я вижу, что из года в год ребята теряют баллы на вполне конкретных заданиях.  И чтобы Ваши потери на экзамене на фоне волнения были минимальными, давайте разберем типичные ошибки ученика на ЕГЭ. 1) Уравнения с квадратным корнем Не заб
Оглавление

Какие ошибки допускают выпускники на ЕГЭ по профильной математике чаще всего? Рекомендации репетитора в последние дни перед ЕГЭ

Эта статья написана  в первую очередь для выпускников, которые совсем скоро пойдут на важный и ответственный бой, называемый единым государственным экзаменом. От исхода этого поединка зависит дальнейший вектор развития. Но прошу Вас, не думайте, что от результатов зависит вся ваша жизнь. Экзамен – это лишь рубеж, испытание, которое нужно пройти с высоко поднятой головой.

Я достаточно давно и интенсивно занимаюсь подготовкой абитуриентов к единому государственному экзамену по математике и физике. После экзамена ребята активно делятся впечатлениями, когда приходят результаты - отправляют сканы работ, которые я внимательно изучаю. И я вижу, что из года в год ребята теряют баллы на вполне конкретных заданиях.  И чтобы Ваши потери на экзамене на фоне волнения были минимальными, давайте разберем типичные ошибки ученика на ЕГЭ.

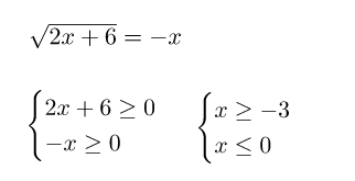
1) Уравнения с квадратным корнем

-2

Не забывайте про ограничения!!! Вообще говоря можно наложить ограничения и на подкоренное  выражение и на правую часть, но если решаете возведением обеих частей в квадрат, то первое неравенство избыточно.

Как альтернатива, выполните проверку, подставив полученные корни в уравнение. Составители очень часто ловят на этом задании, провоцируют указать именно тот корень, который не удовлетворяет ограничениям.
Ограничения актуальны и для обычных дробных уравнений такого вида:

-3

Ну и конечно, куда без ограничений при решении логарифмических уравнений. Напоминаю, что аргумент логарифма должен быть СТРОГО БОЛЬШЕ НУЛЯ:

-4

Ну а если Вы имеете дело с логарифмом с переменным основанием, то не забудьте, что основание должно быть положительным и не равняться единице.

-5

2) Планиметрия

Что касается планиметрии, советую повторить:
1. Формулы для расчета площадей все фигур. Не забудьте повторить, как находится длина дугового сектора и площадь сектора, на всякий случай. Хотя встречаются на ЕГЭ они не так часто.
2. Помните, что медиана в прямоугольном треугольнике не только делит гипотенузу пополам, но и равна половине гипотенузы.

-6

3. Повторите свойства пропорциональных отрезков в прямоугольном треугольнике. Высота, проведенная из вершины прямого угла делит прямоугольный треугольник на два подобных. Расписав отношения сторон всех подобных треугольников Вы придете к формулам:

-7

4. Повторите теоремы синусов и косинусов. Теорема синусов бывает весьма полезна для нахождения радиуса описанной окружности

-8
-9

5. Из года в год найдется ученик, который забудет формулу для расчета радиуса вписанной окружности. А она ведь такая простая!

-10

И работает не только для треугольников, но и для четырехугольников, пятиугольников и так далее. Не забудьте, что в формуле берется ПОЛУПЕРИМЕТР, а S – это площадь фигуры, а не круга!

3) Немного поговорим про преобразование выражений

Чаще всего ребята ошибаются именно в тригонометрии при использовании формул приведения.

Напоминаю алгоритм:

1. Определяем номер четверти, в которой лежит угол.

2. Определяем знак функции. Напоминаю, что знак смотрится по исходной функции.

3. Не забываем, что в точках π/2 и 3π/2 функция меняется на ко-функцию, то есть синус на косинус, косинус на синус, тангенс на котангенс и т.д.

Для лучшего понимания приведу пример

-11

Шаг 1: Определяем четверть

-12

Шаг 2: Определяем знак исходной функции в данной четверти. Знак котангенса в IV четв. будет отрицательным.

Шаг 3: Так как в выражении есть 3π/2, то ctg (...) заменим на tg (...), в итоге получим

-13

4) Переходим к стереометрии

Тут советы будут аналогичны советам по планиметрии. Повторите все формулы объемов фигур и площадей поверхностей, особенно шара. Легче всего эта формула запоминается, если вы запомните, что площадь поверхности шара – это производная от его объема.

-14

Если Вы имеете дело с комбинацией тел, то внимательно несколько раз прочитайте условие задачи. Цилиндр вписан в призму или описан около призмы, параллелепипед вписан в цилиндр или описан около цилиндра и так далее. Советую держать в голове картинки:
Это – пример призмы,
описанной около цилиндра

-15

А это – пример призмы, вписанной в цилиндр

-16

Ну а теперь поговорим о самых распространенных ошибках в стереометрии первой части:
1. Угол между двумя прямыми всегда не более 90 градусов.
Пример:

-17

Большая часть ребят проводит прямую D1C1, параллельную FA и берут угол E1D1C1, тем самым получая ответ в 120 градусов. Но это неправильно. Брать нужно смежный угол, который будет равен 60 градусам.

-18

2. Ошибки в применении коэффициента подобия

Через среднюю линию основания треугольной призмы проведена плоскость, параллельная боковому ребру. Найдите объем этой призмы, если объём отсеченной призмы равен 20.

-19

Классический пример – призма и плоскость проведенная через среднюю линию треугольника, лежащего в основании. Ребята полагают, что отношение объемов малой призмы к большой призме равно кубу коэффициента подобия, который в нашем случае равен 1/2. Но это не так. Отличаются эти призмы только основанием, а вот высоты одинаковы. Следовательно, отношение объемов будет равно отношению площадей оснований. А это квадрат коэффициента подобия.

3. Ошибки в расчете площадей поверхностей составных многогранников.
Классическая проблема в данном случае заключается в том, что ребята достраивают фигуру до куба или параллелепипеда. В этом случае возникает опасность либо посчитать лишнюю поверхность, либо потерять нужную.
Найдите площадь поверхности многогранника, изображенного на рисунке (все двугранные углы прямые).

-20

Возможно это немного дольше, но я советую посчитать площадь каждого прямоугольника по отдельности и сложить все значения.

5) График функции и её производной.

Наше счастье и наша боль. Мне кажется, эта задача напоминает квест на внимательность. Прежде чем записывать ответ в бланк, советую внимательно несколько раз прочитать задание и для себя ответить на вопрос: я имею дело с графиком функции или ее производной.
1. Если Вы имеете дело с графиком самой функции, то помните, что точки экстремума – это точки, где функция переходит с возрастания на убывание или с убывания на возрастание. Точки пересечения графика с осью х ничего не означают.
Для примера предлагаю рассмотреть следующую функцию:

-21

Там, где функция возрастает (зелёные стрелки), производная функции положительна, а там, где функция убывает (красные стрелки), производная функции отрицательная. Производная равна нулю в точках экстремума x1, x2, x3, x4.

2. Если на экзамене Вам попалась производная функции, то помните: там, где график лежит выше оси х, функция возрастает, там, где график лежит ниже оси х – функция убывает, а точки пересечения графика с осью х-это точки экстремума.

x1, x2, x3 – точки экстремума, x1, x3 – точка максимума, x2 – точка минимума.

-22

3. Внимательно посмотрите на касательную к графику функции. Если она возрастает, значит значение производной положительно, если убывает-отрицательно.

-23
-24

6) Текстовые задачи

тоже довольно часто становятся камнем преткновения у выпускников. Советую повторить формулы для суммы арифметической прогрессии, связь концентрации и массы раствора, производительности и работы.
Любимая ошибка выпускников находить среднюю скорость как среднее арифметическое. Не делайте так! Средняя скорость – это общий путь, деленный на общее время.

-25
-26

Достаточно тяжело идут у ребят задачи на проценты такого вида:

В 2000 году диван подешевел на 7 процентов, в 2001 подорожал на 8 процентов. Конечная цена 25000 рублей. Найти начальную стоимость.

Советую начальную стоимость обозначить за х, тогда в 2000 году стоимость дивана станет (х-0.07х) =0.93 х рублей, а в 2001 году стоимость будет равна 0.93х*1.08 рублей, которая будет равна 25000 рублей. Можно, конечно, идти с конца, но тогда у ребят возникают сложности, что какую величину обозначить за 100 процентов, что за 107 процентов или может быть за 93 процента.

7) Графики функций.

Для правильного выполнения данного номера я советую Вам повторить , какие коэффициенты в функции отвечают за смещение графика вправо или влево, какие вверх или вниз, повторить формулу для расчета вершины параболы x0 = -b / (2a)

Если у Вас функция вида

-27

то коэффициент b отвечает за смещение графика функции вверх или вниз.

-28

А здесь – график с положительным коэффициентом b, равным 2:

-29

Если же Ваш график имеет вид

-30

то вы должны понимать, что при положительном значении b ваш график смещается влево, а при отрицательном значении b вправо.

-31

Абсолютно аналогично и с графиками показательной функции.

Если вы имеете дело с графиком вида

-32

то при положительном b график смещается вверх, при отрицательном b вниз.
На первом графике пример отрицательного коэффициента b, на втором графике пример положительного b.

-33
-34

Ну и не забывайте о графиках показательной функции вида

-35

Здесь коэффициент b отвечает за смещение графика функции вправо или влево.

-36
-37

Если вдруг у Вас на экзамене все эти смещения туда-сюда вылетели их головы, то берите одну-две-три точки (по ситуации), подставляйте в уравнение функции и находите нужные Вам коэффициенты.

И хотелось бы напомнить , что основание логарифма и основание показательной функции МОГУТ БЫТЬ ТОЛЬКО ПОЛОЖИТЕЛЬНЫМИ.

8) Ну и нельзя оставить без внимания задания на нахождение точек максимума и минимума и на нахождение наибольшего и наименьшего значения функции.

Тут советов будет несколько:

1) Повторите таблицу производных функций и вспомните формулы для производной частного и произведения.

2) Если Вам нужно найти наибольшее или наименьшее значение функции, содержащей логарифм, например

-38

то в большинстве случаев это значение достигается при таком х, когда логарифм обращается в нуль, а число под логарифмом рано единице. В данном случае точка экстремума равна -4. Именно в этой точке достигается наименьшее значение функции.

3) Если Вы имеете дело с иррациональной функцией, например

-39

то точка экстремума может быть найдена с помощью формулы для расчета вершины параболы. Одним словом, координата вершины параболы это и есть точка экстремума.

4) Теперь поговорим о показательных и логарифмических функциях. Если график возрастающий, то есть основание больше единицы, например

-40

то  экстремум (в данном случае минимум) достигается в вершине квадратичной функции

-41

Ну а подставив точку минимума в саму функцию, Вы имеете все шансы быстро и легко найти наименьшее значение.

С логарифмической функцией дела обстоят аналогичным образом. Давайте рассмотрим функцию вида

-42

Основание больше единицы и равно 5. Значит функция возрастающая. Смотрим внимательно на аргумент под логарифмом. Он представляет собой квадратичную функцию, графиком является парабола с ветвями вниз. Найдя вершину параболы по формуле x вершины = -b/(2a), вы найдете точку экстремума, в данном случае максимума, ну а подставив ее в саму функцию, вы найдите ее наибольшее значение. И для полноты картины, предлагаю рассмотреть убывающую логарифмическую функцию

-43

с основанием меньше единицы и равным 1/3. Подлогарифмическое выражение также представляет собой параболу с ветвями вверх. Найдя вершину параболы, вы найдите точку минимума, а подставив ее в саму функцию, вы получите наибольшее значение функции.

PS: Наверное, многие задумались, почему, подставляя точки минимума, мы получаем наибольшее значение. Ответ прост – если Ваша функция убывающая, то чем больше аргумент, тем меньше значение самой функции.

9) В своей статье я совсем не затронула задачи на вероятность.

Думаю, со вторым номером из кимов справляются практически все. А вот 10 номер такой непредсказуемый, столько интересных и новых задач. И каждая задача не похожа на предыдущую… Здесь сложно дать какой-либо совет. Проработайте задачи из открытого банка ФИПИ, с сайта Решу ЕГЭ, посмотрите свежие сборники 2022 года, варианты Статграда.

Я постаралась очень кратко пробежаться по основным ошибкам выпускников. Если Вам эта статья будет хоть на 0,01 процента будет полезна, то значит, писалась она не зря.

PS: Хотелось бы выразить благодарность Филину Арсению Андреевичу за ценные замечания и помощь в публикации. Он опытный преподаватель, выпускник Физфака МГУ, в прошлом призер олимпиад Физтех и Ломоносов.

Ну а если Вы хотите повторить все темы перед экзаменом, обобщить знания, проработать свои ошибки и узнать еще больше подводных камней, смело могу порекомендовать финальный курс по математике, который будет проводить сам Арсений. Старт 17 мая. Скидка 1000 руб. по купону KursAgent-1000

Автор статьи: Филина-Михеева Есения