Найти в Дзене
Территория комфорта

Определение значений нормативной температуры обратной сетевой воды в нерасчетном режиме

В настоящее время теплоснабжение большинства городов осуществляется с температурой сетевой воды в подающих магистралях, заниженной относительно директивного графика 150°/70° или 130°/70°. В таких условиях эксплуатационный персонал лишен возможности определять нормативную температуру возвращаемой обратной сетевой воды (t нобр). И в силу этого создаются условия бесконтрольного использования теплоты. Предлагается методика подсчета температуры обратной сетевой воды для переменных и нерасчетных тепловых режимов на основе графика 150°/70°, по которому запроектированы все теплоприемники потребителей и здания. Она наглядно представлена на рисунке, где график 150°/70° трансформирован как зависимость не только температуры воды на подающей магистрали (t пр), но и разности температур подающей и обратной сетевой воды (∆t) от температуры наружного воздуха Из графика видно, что для каждой температуры поступающей сетевой воды соответствует своя нормативная величина (∆tH = tпр - tобр), которая также о

В настоящее время теплоснабжение большинства городов осуществляется с температурой сетевой воды в подающих магистралях, заниженной относительно директивного графика 150°/70° или 130°/70°. В таких условиях эксплуатационный персонал лишен возможности определять нормативную температуру возвращаемой обратной сетевой воды (t нобр). И в силу этого создаются условия бесконтрольного использования теплоты.

Предлагается методика подсчета температуры обратной сетевой воды для переменных и нерасчетных тепловых режимов на основе графика 150°/70°, по которому запроектированы все теплоприемники потребителей и здания. Она наглядно представлена на рисунке, где график 150°/70° трансформирован как зависимость не только температуры воды на подающей магистрали (t пр), но и разности температур подающей и обратной сетевой воды (∆t) от температуры наружного воздуха

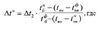
Из графика видно, что для каждой температуры поступающей сетевой воды соответствует своя нормативная величина (∆tH = tпр - tобр), которая также определяется еще и температурой наружного воздуха (tнв). Но как отмечалось выше, очень часто в действительности tпр не совпадает с требуемой по графику tнв. Точки 1 - это начальные условия -фактически температура подающей сетевой воды и реальный мороз. Этим двум точкам по нижней кривой соответствуют свои значения ∆t! и ∆t2. Обе величины не реальные, т.к. для ∆t2 не соблюдено условие фактического более сильного мороза, а ∆t! не имеет такую высокую температуру tн. Поэтому искомая величина ∆tH находится между ними ∆t2<∆tH<∆t1. Для определения ∆tH используется изложенный в [Л 2] принцип подсчета разности температур tпр - tобр при условии совпадения всех параметров теплосети с применяемым нормативным графиком 150°/70°. В нашем же случае имеется рассогласование показателей с графиком. И на количество переданной в теплоприемнике теплоты Q (Q = FK∆t, где R К и ∆t соответственно поверхность, коэффициент теплопередачи и температурный напор) в нашем случае сильно влияет изменяющаяся величина ∆t. Она зависит от фактического значения температуры сетевой воды, находящейся в отопительном теплообменном аппарате (батарее), и от фактических температур наружного воздуха и внутри помещения. Общий вид формулы определения нормативной разности температур для различающихся параметров теплосети выглядит следующим образом:

∆t2 - разность температур по графику 150°/70° для фактической температуры подающей сетевой воды; tнб - температура сетевой воды в отопительной батарее потребителя, определенная по графику 150°/70° для фактического значения tср нв;
tвн - температура воздуха внутри помещения, принимаемая за + 18 °С;
tф вн - фактическая температура наружного воздуха;
tфб- температура сетевой воды в батарее потребителя, определенная по графику 150°/70°для фактической температуры подающей сетевой воды;
V нв - температура наружного воздуха, взятая по
графику 150°/70° по фактической температуре подающей сетевой воды
∆t2 - разность температур по графику 150°/70° для фактической температуры подающей сетевой воды; tнб - температура сетевой воды в отопительной батарее потребителя, определенная по графику 150°/70° для фактического значения tср нв; tвн - температура воздуха внутри помещения, принимаемая за + 18 °С; tф вн - фактическая температура наружного воздуха; tфб- температура сетевой воды в батарее потребителя, определенная по графику 150°/70°для фактической температуры подающей сетевой воды; V нв - температура наружного воздуха, взятая по графику 150°/70° по фактической температуре подающей сетевой воды

Проверка формулы показала практическое совпадение результатов.

Таким образом, удалось впервые показать, что в любом режиме работы теплосети для любой температуры воды в подающем теплопроводе существует своя нормативная температура возвращаемой обратной сетевой воды. Сравнение с нормативной и фактической температурой обратной сетевой воды является главнейшим рычагом в деле более полного и эффективного использования теплоты сетевой воды и основой глубокого анализа режима работы сети.

Литература

1.Е.Я.Соколов. Тепловые сети. Москва, 1982 г.

2.Справочник по теплоснабжению и вентиляции. Под. ред.Щекина. Киев, 1996 г.