Добавить в корзинуПозвонить
Найти в Дзене
Валерий Тимин

Могут ли сосуществовать эфир и релятивистское пространство

В этой статье я буду рассматривать метрическое поле расстояний в пространстве–времени, как бы заполненной сплошной средой (с.с.), выступающей как бы в роли всем известного, но никому не доступного "эфира" или "вакуума" как модели. И покажу, что в ней может существовать "физика", в которой параметр движения этой среды может полностью исчезать, превращая пространство–время в пространство СТО А.Эйнштейна. Пусть в некотором ИСО пространства, заполненного некой с.с., она находится в состоянии покоя. В таком случае эта ИСО будет представлять собой абсолютную АСО, или АИСО. В ней может существовать однородное и изотропное волновое поле, скорость распространения волн в которой будет одной и той в любом направлении – и это, думаю, не требует доказательств. Она очевидна. В таком условно покоящемся абсолютном пространстве должно выполняться условие распространения волны: c²Δt² – Δr² = 0. (1) Эта запись означает, что за одно и то же время Δt в АИСО волна пройдет одно и то же расстояние Δr. Наприме
В этой статье я буду рассматривать метрическое поле расстояний в пространстве–времени, как бы заполненной сплошной средой (с.с.), выступающей как бы в роли всем известного, но никому не доступного "эфира" или "вакуума" как модели. И покажу, что в ней может существовать "физика", в которой параметр движения этой среды может полностью исчезать, превращая пространство–время в пространство СТО А.Эйнштейна.

Пусть в некотором ИСО пространства, заполненного некой с.с., она находится в состоянии покоя. В таком случае эта ИСО будет представлять собой абсолютную АСО, или АИСО. В ней может существовать однородное и изотропное волновое поле, скорость распространения волн в которой будет одной и той в любом направлении – и это, думаю, не требует доказательств. Она очевидна. В таком условно покоящемся абсолютном пространстве должно выполняться условие распространения волны:

c²Δt² – Δr² = 0. (1)

Эта запись означает, что за одно и то же время Δt в АИСО волна пройдет одно и то же расстояние Δr. Например, за 1 с пройдет расстояние 300 000 000 м, что соответствует скорости света. И в этом весь смысл постоянства скорости света (или волны). В другом ИСО, движущемся со скоростью V, согласно классической механике, построенной в галилеевом пространстве, скорость волны должна вычисляться по закону сложения скоростей:

c' = c – V – при движении волны в сторону движения ИСО, и

c' = c + V – при движении волны в противоположную сторону от движения ИСО.

В этом случае (1) с использованием этих измененных скоростей превращается в

c'²Δt² – Δr'² = 0. (2)

в любом ИСО. И это тоже, вроде бы, должно быть очевидно. И оно, действительно, очевидно, если в качестве с.с. будем использовать, например, воду, воздух, и другие твердые тела. А волны будут в этом случае называться звуковыми.

А может ли быть по другому? Например, так, как А.Эйнштейна? В соответствии с его специальной теорией относительности (СТО) – может. И в том пространстве с той средой, которую никто до сих пор никак не называет, кроме как вакуум, и никто не может назвать "эфиром", скорость света всегда, в любом ИСО (не только АИСО!) одна и та же и равна одной и то же величине c = 300 000 000 м/с. Т.е. в любом ИСО выполняется уравнение (1), а не (2). Что, конечно, совсем не очевидно. Эфиром нельзя назвать, потому что с эфиром обязательно связывается АСО, в котором он покоится. Потому что очевидным является галилеево пространство классической механики. А в СТО АСО нет. Точнее, он не нужен.

https://sciencevibe.com/wp-content/uploads/2017/08/EinsteinRightAgain.jpg
https://sciencevibe.com/wp-content/uploads/2017/08/EinsteinRightAgain.jpg

Здесь я дам несколько альтернативный подход к проблеме существования/не существования эфира и одновременно в полном согласии с СТО А.Эйнштейна. Я покажу, что преобразования Лоренца галилееву с.с. превращают в релятивистскую с.с.

Изменение волновой метрики РП с полем движущейся в ней с.с.

В СТО рассматриваются уравнения не (1) и (2), а несколько расширенное уравнение

Δs² = c²Δt² – Δr² = 0. (3)

Параметр Δs называется интервалом и при точном рассмотрении движения волны в с.с. показывает разность фаз распространяющихся в пространстве и времени волн в координатной системе, составленной с помощью этих самых волн. И фактически оно является волновым расстоянием, а не галилеевым классической механики.

Моя задача – показать, что в любом ИСО параметр интервал Δs будет одним и тем же. Что, в общем, является основным кинематическим параметром в СТО А.Эйнштейна.

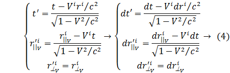
Для этого необходимо "вычислить" изменение метрического тензора при преобразованиях координат. Для нашего примера – заполненного движущейся с.с. пространства – необходимо рассмотреть изменение волновой метрики из условно выделенного ИСО для движущегося в ней с определенной скоростью V с.с. с т.з. наблюдателя, представляющих некоторое ИСО, в которой с.с. уже не может быть покоящейся. Для вычисления этого изменения необходимо вычислить "интервал" в выделенном ИСО с использованием координат движущегося ИСО, в которой метрика изотропна и соответствует (3). Для этого используем преобразования Лоренца координат релятивистского пространства (РП), модифицировав ее для общего положения:

-2

Впервые в похожем виде с разделением на перпендикулярную и параллельную составляющие РПТК были получены Герглоцем. Здесь Vi – скорость условного расчетного АСО (т.е. с.с.) относительно ИСО наблюдателя. Здесь надо иметь в виду, что (t, r||i) – пространственно–временной буст, в котором происходит движение, а r^i – перпендикулярные к бусту направления. В перпендикулярных направлениях релятивистский коэффициент Лоренца равен единице. Подставляя в формулу для волнового интервала, и имея в виду предыдущее, имеем:

Преобразования релятивистской метрики между ИСО. Главными здесь являются первая и последняя строки, все остальное - приложение (здесь красным цветом выделены сокращающиеся элементы, темно–красным – добавленные парные сокращающиеся элементы).
Преобразования релятивистской метрики между ИСО. Главными здесь являются первая и последняя строки, все остальное - приложение (здесь красным цветом выделены сокращающиеся элементы, темно–красным – добавленные парные сокращающиеся элементы).

Из результата проведенных преобразований уравнения видно, что метрика связанного с распространением фронта волны света в условной с.с. в релятивистском пространстве, движущейся совместно с некоторым ИСО, не изменяется, и, как следствие, условным АСО может быть принята любая ИСО. Как следствие, в РП любое ИСО является ортонормированным однородным изотропным пространством. В РП любые параметры движения с.с. как модели пространства–времени (по примеру ГП), недоступны для наблюдения, что и показали первые опыты Майкельсона–Морли в конце 19–го века. Если проще – эфир не обнаруживается, даже если она существует в РП в форме с.с.! И это вполне соответствует принципу относительности СТО, точнее, двум ее аксиомам, еще точнее – первому: равенству скорости света c фундаментальной скорости в любом ИСО, его изотропности и однородности в каждом из них. Для наблюдения параметров скорости и энергии движения необходимо дополнять теорию дополнительными гипотезами и материальными уравнениями.

Таким образом, в релятивистском пространстве при любом движении с.с. как материальной модели скорость с.с. становится не наблюдаемым. Для наблюдения параметров скорости движения необходимо дополнять теорию дополнительными материальными уравнениями через введение метрических тензоров риманова пространства, что и сделал А.Эйнштейн в своей ОТО в 1915 г.

ЗЫ: Звуковая волна не подчиняется этому закону. Это Вы и без меня знаете. Но ... Если Вы сможете придумать физические приборы, генераторы и прочее экспериментальное оборудование (или симулировать их) из чисто звуковых волн, Вы сможете подтвердить все законы СТО А.Эйнштейна!

ЕСЛИ ПОНРАВИЛАСЬ СТАТЬЯ _ СТАВЬТЕ ЛАЙК.
ЕСЛИ НЕТ - ну что ж, бывает.