Добавить в корзинуПозвонить
Найти в Дзене
Математика не для всех

Самая противоречивая формула математики. Чему равен ноль в нулевой степени?

Приветствую Вас, уважаемые Читатели! Сегодня я хочу поговорить о занимательном математическом выражении, о котором, я уверен, Вы хотя бы раз задумывались. Действительно, а имеет ли смысл выражение "ноль в нулевой степени"? Давайте разберемся. Я покажу Вам целых два варианта его толкования! Поехали! Итак, запишем группы таких выражений: Чему равно выражение в последней строчке? Из курса математики мы все знаем, что оно равно единице. К этому можно прийти чисто индуктивным путем: Теперь воспользуемся тем фактом, что мы можем домножить левую и правую часть равенства на одно и то же число: А теперь без потери общности (действительно, запиши мы вместо "3" любое другое число, ничего бы не поменялось) мы пишем так: Вот и разгадка! Оказывается, в нулевой степени любое число (тут есть поле для дискуссии, является ли "0" натуральным числом). Такое обоснование, конечно, очень просто, но мне больше по душе обоснование из теории множеств. В теории множеств Бурбаки число различных отображений n-эл

Приветствую Вас, уважаемые Читатели! Сегодня я хочу поговорить о занимательном математическом выражении, о котором, я уверен, Вы хотя бы раз задумывались. Действительно, а имеет ли смысл выражение "ноль в нулевой степени"? Давайте разберемся. Я покажу Вам целых два варианта его толкования! Поехали!

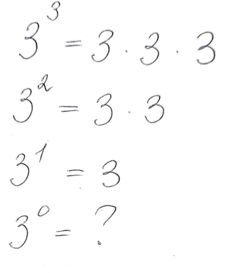
Итак, запишем группы таких выражений:

Чему равно выражение в последней строчке? Из курса математики мы все знаем, что оно равно единице. К этому можно прийти чисто индуктивным путем:

-2

Теперь воспользуемся тем фактом, что мы можем домножить левую и правую часть равенства на одно и то же число:

-3

А теперь без потери общности (действительно, запиши мы вместо "3" любое другое число, ничего бы не поменялось) мы пишем так:

-4

Вот и разгадка! Оказывается, в нулевой степени любое число (тут есть поле для дискуссии, является ли "0" натуральным числом). Такое обоснование, конечно, очень просто, но мне больше по душе обоснование из теории множеств.

-5

В теории множеств Бурбаки число различных отображений n-элементного множества в m-элементное равно "m в степени n", если в качестве множеств взять пустые, то всё равно останется один единственный способ отобразить пустое множество в пустое! Кстати:

-6
  • Спасибо за внимание! TELEGRAM и Вконтакте- там я публикую не только интересные статьи, но и математический юмор и многое другое.