Добавить в корзинуПозвонить
Найти в Дзене

ЕГЭ по химии 2022 уже скоро! Решение ОЧЕНЬ КРУТОЙ задачи на пластины + еще одна ЖЕСТЬ!

Вы хотите познавать химию и профессионально, и с удовольствием? Тогда вам сюда! Автор методики системно-аналитического изучения химии Богунова В.Г. раскрывает тайны решения задач, делится секретами мастерства при подготовке к ОГЭ, ЕГЭ, ДВИ, олимпиадам Хочешь сдать ЕГЭ по химии и биологии на 90+? WhatsApp репетитора Богуновой В.Г. +7(903)186-74-55 Сайт репетитора Богуновой В.Г. Репетитор Богунова В.Г. ВК Полный каталог статей - на авторском сайте в разделе "Статьи репетитора Богуновой В.Г." Не пропусти летний курс алгоритмики химии "Стартап+ (химия с нуля по-взрослому)" ! Это твой шанс научиться решать задачи по химии системно, с использованием основ математической логики! В одной из последних статей я поместила авторское условие логически сложной задачи "на пластины": Богунова В.Г. "Крутая и очень крутая задачи на пластины на ЕГЭ по химии 2022" Только несколько человек смогли правильно решить предложенную задачу. Кстати, это были преподаватели химии. Мои ученики, "прошедшие чрез терн

Вы хотите познавать химию и профессионально, и с удовольствием? Тогда вам сюда! Автор методики системно-аналитического изучения химии Богунова В.Г. раскрывает тайны решения задач, делится секретами мастерства при подготовке к ОГЭ, ЕГЭ, ДВИ, олимпиадам

Хочешь сдать ЕГЭ по химии и биологии на 90+? WhatsApp репетитора Богуновой В.Г. +7(903)186-74-55

Сайт репетитора Богуновой В.Г.

Репетитор Богунова В.Г. ВК

Полный каталог статей - на авторском сайте в разделе "Статьи репетитора Богуновой В.Г."

Не пропусти летний курс алгоритмики химии "Стартап+ (химия с нуля по-взрослому)" ! Это твой шанс научиться решать задачи по химии системно, с использованием основ математической логики!

В одной из последних статей я поместила авторское условие логически сложной задачи "на пластины": Богунова В.Г. "Крутая и очень крутая задачи на пластины на ЕГЭ по химии 2022"

Только несколько человек смогли правильно решить предложенную задачу. Кстати, это были преподаватели химии.

Мои ученики, "прошедшие чрез терни" летнего курса Стартап+, давно решают такого типа задания (я имею в виду, задачи с логически сложным алгоритмом решения, так или иначе связанные с атомистикой). Однако, для большинства моих читателей представленная задача оказалась "не по зубам" и они, выбросив белый флаг, взмолились с просьбой решить задачу и опубликовать подробный анализ ее алгоритма.

Просили? Читайте, разбирайтесь, решайте вместе со мной!

Задача на пластины (автор репетитор Богунова В.Г.)

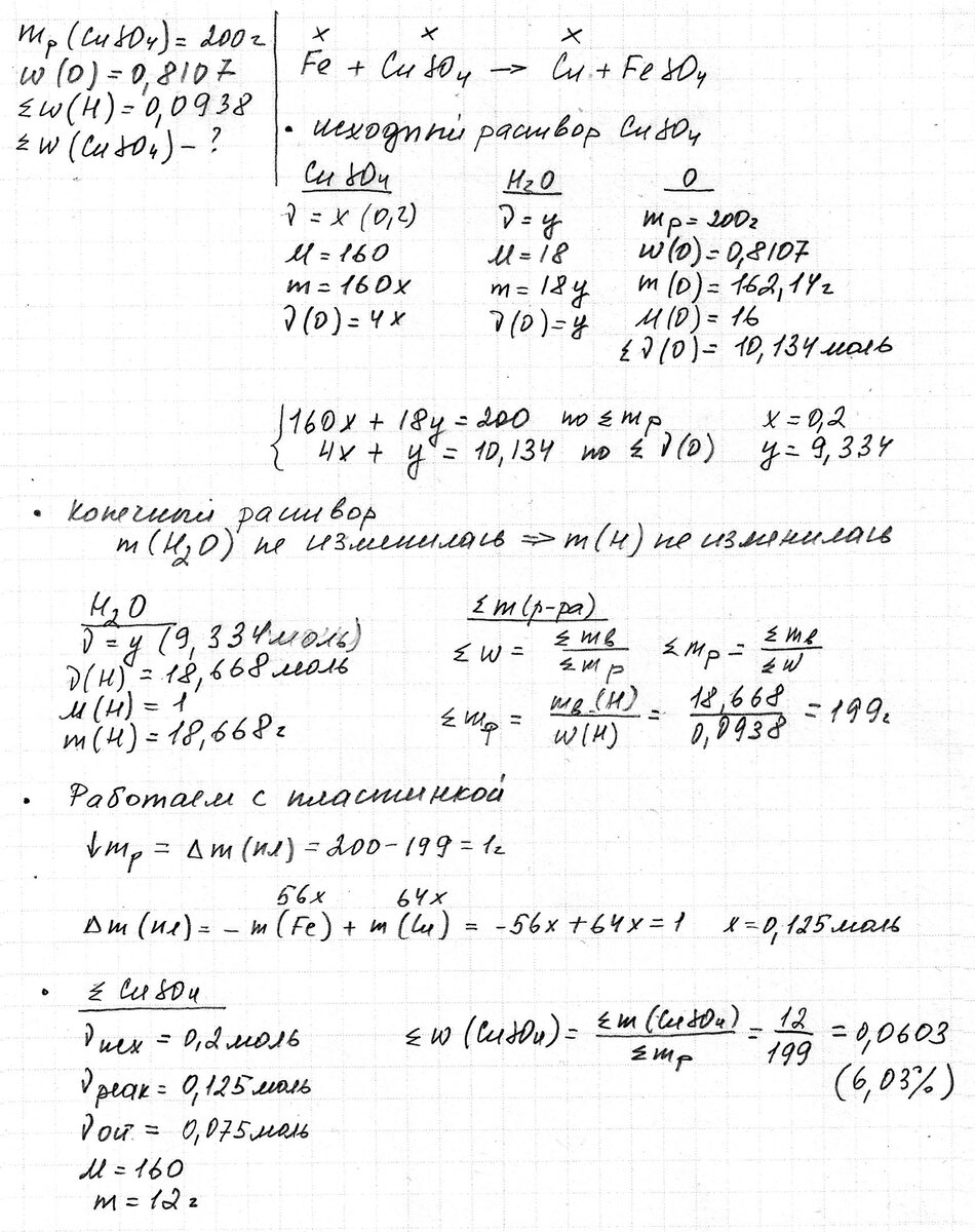
В 200 г раствора сульфата меди с массовой долей кислорода 81,07% поместили железную пластину. Через некоторое время пластину вынули. Определите массовую долю сульфата меди в образовавшемся растворе, если массовая доля атомов водорода в нем увеличилась до 9,38%.
Сложная задача по химии "на пластины". Автор репетитор Богунова В.Г.
Сложная задача по химии "на пластины". Автор репетитор Богунова В.Г.

Анализ алгоритма решения задачи

1. Согласно авторской методике, решение каждой задачи включает 4 ключевых шага: выписать данные в разделе "Дано", написать уравнения реакций, сделать предварительные расчеты, составить математическую модель алгоритма. Я об этом неоднократно писала во многочисленных публикациях.
2. В задаче представлена массовая доля атомов кислорода, который в качестве элемента входит как в растворитель (вода), так и в растворенное вещество (сульфат меди). Определяем массу атомов кислорода (по формуле массовой доли) и количество вещества атомов кислорода.
3. Оба компонента раствора в условии количественно не представлены. Поэтому принимаем их количества веществ в виде неизвестных - X и Y.
4. Составляем два алгебраических уравнения: одно - на основании общей массы раствора, второе - на основании общего количества атомов кислорода. Решение системы уравнений определяет исходное количество вещества сульфата меди (0,2 моль). Это и были предварительные расчеты на основании представленных данных.
5. Для дальнейшего решения задачи, нужно составить математическую модель алгоритма. Как это сделать? По вопросу задачи выписываем алгебраическую формулу и анализируем ее составляющие.
Вопрос задачи звучит следующим образом: "Определите массовую долю сульфата меди в образовавшемся растворе, если массовая доля атомов водорода в нем увеличилась до 9,38%". Значит, выписывается формула массовой доли, в которой числитель - масса сульфата меди, оставшаяся после реакции, а знаменатель - масса конечного раствора.
6. Анализ числителя (масса оставшегося сульфата меди). Вводим новое неизвестное Х - количество вещества сульфата меди, вступившее в реакцию. Делаем соответствующие расчеты по уравнению реакции: в реакцию вступило Х моль железа из пластины, на пластину осело Х моль меди.
7. Анализ знаменателя (масса раствора). Масса раствора меняется на такую же величину (с обратным знаком), на которую меняется масса пластины. Но нам неизвестна величина, на которую изменилась масса пластины. Значит, анализировать нужно в каком-то другом направлении.
В условии сказано о массовой доле атомов водорода в конечном растворе. Откуда водород взялся? Из воды. Вода участвовала в реакции? Нет. Значит, масса атомов водорода не изменилась в процессе реакции.
Возвращаемся к исходным расчетам (количество вещества сульфата меди и воды). Определяем количество вещества и массу атомов водорода.
Зная массу атомов водорода и его массовую долю, определяем массу конечного раствора (199 г).
8. Определяем разницу масс исходного и конечного раствора. На такую же величину (с обратным знаком) изменилась масса пластины.
9. Используя основную модель алгоритма задач "на пластины" (изменение массы пластины равно: минус масса металла пластины + масса атомов металла, осевшего на пластину), определяем количество вещества сульфата меди, вступившего в реакцию, оставшегося после реакции и его массу (12 г)
10. Подставляем найденные значения числителя (12 г) и знаменателя (199 г) и находим массовую долю сульфата меди в образовавшемся растворе (0,0603 или 6,03%).

Понравилось решение задачи? Хотите еще немного поработать над такого рода логическими фишками? Тогда, представляю вам еще одну авторскую задачу. Решайте!

Задача на пластины (автор репетитор Богунова В.Г.)

Сложная задача по химии "на пластины". Автор репетитор Богунова В.Г.
Сложная задача по химии "на пластины". Автор репетитор Богунова В.Г.

Скоро ожидайте еще одну ОЧЕНЬ ВАЖНУЮ сенсацию!

Не пропусти летний курс алгоритмики химии "Стартап+ (химия с нуля по-взрослому)" ! Это твой шанс научиться решать задачи по химии системно, с использованием основ математической логики!

Понравилась статья? Самое интересное, как всегда, впереди! Успехов и удачи! До встречи на Яндекс Дзен! Не забывайте подписаться на мой канал и поставить лайк!

Репетитор по химии и биологии кбн В.Богунова