Найти в Дзене

Очень актуально для подготовки к ЕГЭ по химии 2022! Два варианта 26 задания ЕГЭ от моих подписчиков

Вы хотите познавать химию и профессионально, и с удовольствием? Тогда вам сюда! Автор методики системно-аналитического изучения химии Богунова В.Г. раскрывает тайны решения задач, делится секретами мастерства при подготовке к ОГЭ, ЕГЭ, ДВИ, олимпиадам Хочешь сдать ЕГЭ по химии и биологии на 90+? WhatsApp репетитора Богуновой В.Г. +7(903)186-74-55 Сайт репетитора Богуновой В.Г. Репетитор Богунова В.Г. ВК Полный каталог статей - на авторском сайте в разделе "Статьи репетитора Богуновой В.Г." Не пропусти летний курс алгоритмики химии "Стартап+ (химия с нуля по-взрослому)" ! Это твой шанс научиться решать задачи по химии системно, с использованием основ математической логики! На своей странице ВК я постоянно общаюсь как с учениками, так и с читателями, которые запутались в сложных лабиринтах задач по химии. Часто мне предлагают решить довольно необычные задачи, с интересными элементами алгоритмики. Встречаются и простые задачи. Я в равной степени внимательно отношусь к любым типам задани

Вы хотите познавать химию и профессионально, и с удовольствием? Тогда вам сюда! Автор методики системно-аналитического изучения химии Богунова В.Г. раскрывает тайны решения задач, делится секретами мастерства при подготовке к ОГЭ, ЕГЭ, ДВИ, олимпиадам

Хочешь сдать ЕГЭ по химии и биологии на 90+? WhatsApp репетитора Богуновой В.Г. +7(903)186-74-55

Сайт репетитора Богуновой В.Г.

Репетитор Богунова В.Г. ВК

Полный каталог статей - на авторском сайте в разделе "Статьи репетитора Богуновой В.Г."

Не пропусти летний курс алгоритмики химии "Стартап+ (химия с нуля по-взрослому)" ! Это твой шанс научиться решать задачи по химии системно, с использованием основ математической логики!

На своей странице ВК я постоянно общаюсь как с учениками, так и с читателями, которые запутались в сложных лабиринтах задач по химии. Часто мне предлагают решить довольно необычные задачи, с интересными элементами алгоритмики. Встречаются и простые задачи.

Я в равной степени внимательно отношусь к любым типам заданий, поскольку "сложность задачи" - понятие относительное. Перефразируя известную поговорку, можно сказать: "Что для репетитора хорошо, то для абитуриента - завал!"

Пару дней назад один из моих читателей предложил мне решить несколько задач на растворы и растворимость, аналогичные тем, которые могут встретиться в 26 задании ЕГЭ по химии 2022.

Задачи по химии от читателей, аналогичные 26 заданию ЕГЭ 2022
Задачи по химии от читателей, аналогичные 26 заданию ЕГЭ 2022

Я не знаю, откуда были взяты условия (да простят меня их авторы). Я, всего лишь, "решатель" - автор алгоритмов решения задач.

Почему я взялась за столь несложные задачи? Они мне показались достаточно актуальными в "новой ситуации" ЕГЭ 2022. Вначале мы разобрали эти задания на занятиях с учениками. Выяснили все "плюсы - минусы - подводные камни". Теперь я предлагаю их решение с объяснением вам, мои читатели. Пробуйте решать их вместе со мной, ведь ЕГЭ уже мчится на всех парах нам на встречу. Я даже ощущаю его дыхание, холодящее душу.

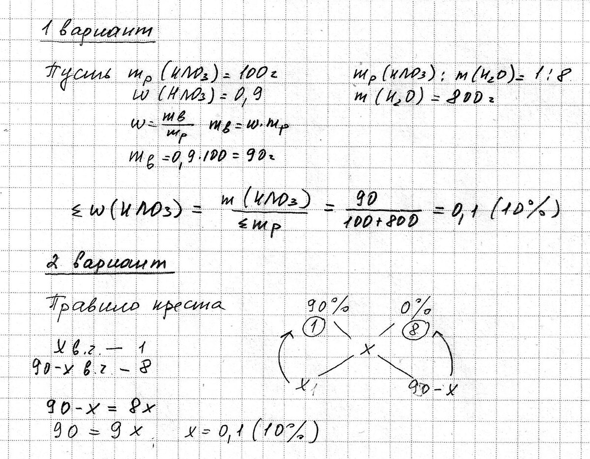
Задача 1

Раствор азотной кислоты с массовой долей 90% и воду смешали в соотношении 1: 8 соответственно. Найдите массовую долю кислоты в полученном растворе. Дайте ответ в %
Задача по химии, аналогичная 26 заданию ЕГЭ 2022. Решает репетитор Богунова В.Г.
Задача по химии, аналогичная 26 заданию ЕГЭ 2022. Решает репетитор Богунова В.Г.

Анализ алгоритма

1. Данная задача - параметрическая (на введение свободного параметра). Такая задача может быть в случае, если даются относительные показатели (массовая доля, соотношение воды и кислоты и т.д.), и ответ тоже должен быть представлен в виде относительного значения.
В таком случае рекомендуется ввести одно (!!!) абсолютное значение (по своему усмотрению). Обычно, в задачах с массовыми долями вводится параметр 100 г для общей массы или одной из масс. Если задача подразумевает расчеты по уравнению реакции, вводится параметр - количество вещества, соответствующее одному из коэффициентов в уравнении реакции.
2. Для решения задачи я ввела параметр - 100 г для раствора азотной кислоты. Соответственно, можно рассчитать массу вещества в 90%-ном растворе (90 г)
3. Поскольку масса кислоты и воды соотносятся как 1 : 8, масса воды будет 800 г
4. Определяем конечную массу раствора (100 + 800 = 900 г)
5. Масса вещества кислоты остается неизменным - 90 г. Пользуясь формулой определения массовой доли, рассчитываем ее (10%).

Люблю пробовать разные элементы алгоритмики. Здесь "сам Бог велел" "поиграть в правило креста". Заодно перепроверим решение.

Объяснять решение задачи правилом креста в рамках этой публикации не буду. Я уже писала статью о таком алгоритме решения задач на приготовление растворов.

В. Богунова "ЕГЭ по химии 2020. Загадки технологии и секретные фишки правила креста"

Задача 2

Вычислите массу насыщенного раствора хлорида калия, необходимую для приготовления 1 л 16%-ного раствора, плотностью 1,1 г/см3. Растворимость хлорида калия при данной температуре равна 36,8 г на 100 г воды. Ответ запишите в граммах, округлите до десятых.
Задача по химии, аналогичная 26 заданию ЕГЭ 2022. Решает репетитор Богунова В.Г.
Задача по химии, аналогичная 26 заданию ЕГЭ 2022. Решает репетитор Богунова В.Г.

Анализ алгоритма

1. Если в задаче представлены насыщенные растворы и коэффициенты растворимости, самое первое, что следует сделать, это рассчитать массовую долю насыщенного раствора, пользуясь соответствующей формулой.
2. Следует четко понимать, что из насыщенного раствора будут готовить новый раствор путем добавления воды (т.е. разбавления раствора) - массовая доля вещества в насыщенном растворе 26,9%, а новом растворе - 16%. Поэтому, в 1 л (1000 мл) нового раствора будет содержаться столько же вещества, сколько его было в насыщенном растворе (и наоборот), просто, воды станет больше.
Рассчитываем массу нового раствора (по соответствующей формуле плотности) и определяем массу вещества в растворе (по формуле массовой доли).
Не смущайтесь такой единице измерения, как 1 см3 (1 см3 = 1 мл)
3. Зная массовую долю насыщенного раствора и массу вещества, определяем массу раствора (по формуле массовой доли)

И еще раз о моей любви к "нестандартным фишкам". Это я о правиле креста, которым можно перепроверить правильность расчетов.

Вот, в принципе, и все, что касается решения несложных заданий 26-й линии. Но.. скоро ожидайте сенсации. Не пропустите!

Не пропусти летний курс алгоритмики химии "Стартап+ (химия с нуля по-взрослому)" ! Это твой шанс научиться решать задачи по химии системно, с использованием основ математической логики!

Понравилась статья? Самое интересное, как всегда, впереди! Успехов и удачи! До встречи на Яндекс Дзен! Не забывайте подписаться на мой канал и поставить лайк!

Репетитор по химии и биологии кбн В.Богунова