Найти в Дзене

Новое Положение об оценке заявок по Закону № 44-ФЗ: критерий «расходы»

Снежана Постовалова, старший юрист Экспертного центра Института госзакупок
Снежана Постовалова, старший юрист Экспертного центра Института госзакупок

Настоящая статья посвящена одному из критериев оценки заявок, предусмотренному ст. 32 Закона № 44-ФЗ, а именно, критерию «расходы на эксплуатацию и ремонт товаров, использование результатов работ» (далее – «расходы»), правила оценки по которому закреплены в разделе III Положения об оценке заявок (далее – Положение), утвержденному постановлением Правительства РФ от 31.12.2021 № 2604.

Критерий «расходы» является одним из четырех критериев оценки, предусмотренных ст. 32 Закона № 44-ФЗ. И в отличие от критерия «цена контракта» является факультативным. Это означает, что заказчик вправе сам определить целесообразность его установления в тех или иных случаях.

Данный критерий может устанавливаться только при проведении закупок на поставку товаров или выполнение работ и применяется исключительно в целях определения наименьшего значения, не предусмотренных условиями контракта расходов, которые возникнут у заказчика после приемки товаров, работ. Однако при этом существуют определенные риски. Поскольку речь идет о «гипотетических» расходах, которые будут понесены заказчиком за пределами рамок контракта, заключение которого планируется по результатам данной закупки, недобросовестный участник может предоставить в составе заявки недостоверное предложение, которое будет способствовать получению им максимального количества баллов по критерию, но не сможет впоследствии быть реализованным заказчиком, так как не существует на рынке. При этом на стадии рассмотрения и оценки такой заявки заказчик вряд ли сможет эту недостоверность подтвердить и предпринять какие-либо законные действия. Сам же участник фактически никакой ответственности не несет. И об этом важно помнить, принимая решение об установлении такого критерия.

Для целей выполнения оценки по критерию должны применяться исключительно количественные значения, а предложение участника о расходах не может быть равным нулю или быть ниже нуля.

Также обязательным является условие, что перечень расходов и единицы их измерения должны по общему правилу устанавливаться в соответствии с классификатором ОКЕИ и быть закреплены в документе, предусмотренном Приложением № 1 к Положению, который является обязательной и неотъемлемой частью извещения об осуществлении закупки путем проведения электронного конкурса. В структурированной форме извещения о закупке, формируемого в ЕИС, потребуется заполнить информацию о применяемых критериях и указать их значимость, то есть вес в критериальной оценке.

При этом важно помнить о соблюдении правила, предусмотренного пп. «г» п. 5 Положения, устанавливающего, что значимость критерия «расходы» должна быть меньше или равна значимости критерия «цена контракта».

Стоит напомнить, что по отдельным видам товаров и работ максимальная граница значимости урегулирована Приложением № 2 к Положению и составляет 10% из 100 возможных, что по сути является специальным правилом.

А тот факт, что деления критериев на группы «стоимостные» и «нестоимостные» больше не существует, наводит на мысль о том, что критерий «расходы» потенциально может нести в себе не только ценовую, но и в некотором роде качественную составляющую.

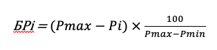
Расчет баллов заявок по рассматриваемому критерию осуществляется по следующей формуле:

-2

где:

БРi - значение расходов, содержащееся в предложении участника, заявка (часть заявки) которого подлежит оценке;

Рmin - минимальное значение расходов, содержащееся в заявках (частях заявок), подлежащих оценке;

Рmax - максимальное значение расходов, содержащееся в заявках (частях заявок), подлежащих оценке.

Рассмотрим пару примеров применения формулы.

Пример I:

Поступили следующие предложения о расходе:

Участник № 1 – 100;

Участник № 2 – 80;

Участник № 3 – 75.

Соответственно, наибольшим значением из поступивших, в данном случае, будет 100, а наименьшим 75.

Подставляем значения в формулу, считаем и получаем следующий результат:

-3

Таким образом, участник № 1 с наименее выгодным предложением о расходе получает 0 баллов, участник № 2 – 80, а участник № 3, предложивший лучшее условие, получает 100 баллов.

Следует отметить, что в отличие от правил оценки по критерию «цена контракта», где прямо предусмотрено, что лучшее предложение о цене сразу получает максимально возможные 100 баллов без расчета по формуле, при оценке по критерию «расходы» лучшее предложение подлежит расчету и подставляется в специальную формулу наравне с процедурой оценки остальных участников.

Пример II:

Заказчику поступили следующие предложения о расходе:

Участник № 1 – 100;

Участник № 2 – 80;

Участник № 3 – 30.

Рассчитываем баллы по формуле:

-4

В итоге участнику № 1 присудили 0 баллов, участнику № 2 – 28,6, а участник № 3, у которого было наилучшее предложение о расходах, получил 100 баллов.

Любопытно, что участник, который предлагает наименее выгодное предложение о расходах, будет всегда получать 0 баллов. Что кажется несколько несправедливым, поскольку, как мы знаем, 0 баллов присваивается также заявке, которая вовсе не содержит предложения по оцениваемому критерию. Однако именно такой результат будет получаться всегда при применении формулы, установленной Положением по критерию «расходы».

В случае оценки по критерию 2 и более видов расходов следует учитывать правила, предусмотренные п. 7 Положения, а именно:

  • необходимо указать показатели оценки (расходы);
  • в отношении каждого показателя установить значимость с учетом того, что сумма величин значимости всех применяемых показателей должна составлять 100%;
  • процесс оценки заявки (части заявки) по критерию будет определяться путем суммирования среднего количества баллов, присвоенных всеми принимавшими участие в ее рассмотрении и оценке членами комиссии по осуществлению закупок по каждому показателю оценки, умноженного на значимость соответствующего показателя. При этом среднее количество баллов определяется путем суммирования количества баллов, присвоенных каждым членом комиссии по осуществлению закупок, и последующего деления на количество таких членов.

Автор статьи: Снежана Постовалова, старший юрист Экспертного центра Института госзакупок

Источник: ежемесячное электронное издание «Вестник Института госзакупок» (выпуск № 4 (92), апрель 2022 г.)

Видео по данной теме можно посмотреть на Ютуб Канале Института госзакупок: