Добавить в корзинуПозвонить
Найти в Дзене
Chemstudy

Методы получения алканов

В реакции Вюрца могут участвовать разные галогеналканы, в результате получается смесь алканов 2. Реакция Дюма - декарбоксилирование солей карбоновых кислот Образуется алкан, у которого на один атом водорода больше, чем в радикале, и на один атом углерода меньше исходного вещества 3. Реакция Кольбе - протекает при прохождении электрического тока через раствор/ расплав соли карбоновой кислоты 4. Гидролиз карбида алюминия 5. Реакция Фишера-Тропша Способ получения различных жидких углеводородов из монооксида углерода (CO) и водорода в присутствии катализатора #алканы #химия #егэ 2022 #экзамены

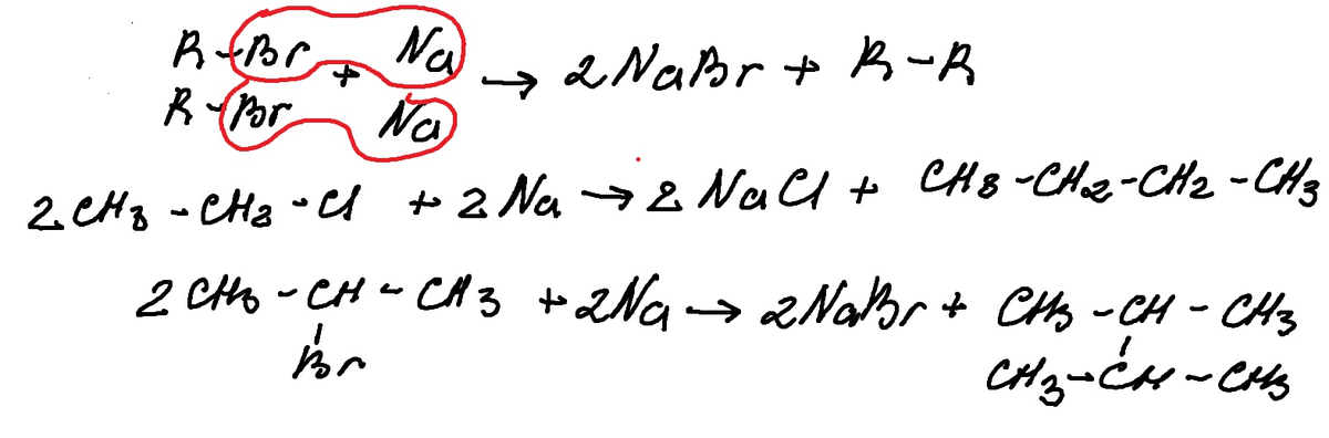
  1. Реакция Вюрца - метод получения алканов взаимодействием галогеналкана и металла (Na, K)
Атомы металла отрывают атомы галогенов от галогеналкана и оставшиеся радикалы соединяются попарно. В результате реакции получается симметричный алкан с  удвоенным числом атомов углерода
Атомы металла отрывают атомы галогенов от галогеналкана и оставшиеся радикалы соединяются попарно. В результате реакции получается симметричный алкан с удвоенным числом атомов углерода
-3
В реакции Вюрца могут участвовать разные галогеналканы, в результате получается смесь алканов

2. Реакция Дюма - декарбоксилирование солей карбоновых кислот

От соли карбоновой кислоты отрывается группа COONa, а от NaOH отходит NaO. В результате NaO соединяется с COONa, образуя Na2CO3. Оставшийся атом водорода в молекуле гидроксида натрия присоединяется к радикалу R
От соли карбоновой кислоты отрывается группа COONa, а от NaOH отходит NaO. В результате NaO соединяется с COONa, образуя Na2CO3. Оставшийся атом водорода в молекуле гидроксида натрия присоединяется к радикалу R

Образуется алкан, у которого на один атом водорода больше, чем в радикале, и на один атом углерода меньше исходного вещества

3. Реакция Кольбе - протекает при прохождении электрического тока через раствор/ расплав соли карбоновой кислоты

На катоде выделяется водород и гидроксид натрия, а на аноде-углекислый газ и симметричный алкан
На катоде выделяется водород и гидроксид натрия, а на аноде-углекислый газ и симметричный алкан

4. Гидролиз карбида алюминия

-6

5. Реакция Фишера-Тропша

Способ получения различных жидких углеводородов из монооксида углерода (CO) и водорода в присутствии катализатора
-7

#алканы #химия #егэ 2022 #экзамены