Добавить в корзинуПозвонить
Найти в Дзене
Математика не для всех

Как извлечь квадратный корень, если нет калькулятора? Есть способ - в столбик!

Приветствую Вас, уважаемые Читатели! Активность в последнее время с введением подписочной модели явно ослабевает, но это не повод останавливаться! Итак, как Вы будете справляться с извлечением квадратного корня при наличии только ручки и бумаги? Конечно, всегда можно обойтись подбором, но есть и универсальный способ, который подойдет в любом случае. Начнем с простого примера: Делим число на пары, а затем находим число, которое в квадрате ближе всего "снизу" к 15. Из 15 вычитаем возведенное в квадрат "3" и списываем следующие две цифры. Затем берем "3", умножаем его на 2 и приписываем "звездочку": В качестве звездочки мы должный найти наибольшую цифру, которая при умножении не даст результат, больший числа справа (621). В нашем случае - это цифра 9. Окончательный ответ ровный. В следующем примере рассмотрим пятизначное число: Единственное отличие в том, что мы искусственно приписываем 0 для создания пары. Теперь же рассмотрим менее приятный пример, в котором мы можем вычислить квадратн

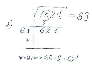
Приветствую Вас, уважаемые Читатели! Активность в последнее время с введением подписочной модели явно ослабевает, но это не повод останавливаться! Итак, как Вы будете справляться с извлечением квадратного корня при наличии только ручки и бумаги?

Конечно, всегда можно обойтись подбором, но есть и универсальный способ, который подойдет в любом случае. Начнем с простого примера:

Делим число на пары, а затем находим число, которое в квадрате ближе всего "снизу" к 15. Из 15 вычитаем возведенное в квадрат "3" и списываем следующие две цифры.

Затем берем "3", умножаем его на 2 и приписываем "звездочку":

-2

В качестве звездочки мы должный найти наибольшую цифру, которая при умножении не даст результат, больший числа справа (621). В нашем случае - это цифра 9. Окончательный ответ ровный.

В следующем примере рассмотрим пятизначное число:

-3

Единственное отличие в том, что мы искусственно приписываем 0 для создания пары. Теперь же рассмотрим менее приятный пример, в котором мы можем вычислить квадратный корень с произвольной степенью точности:

Тут списывать нечего справа, значит пишем "00" - и в бой! На самом деле, вычисление квадратного корня таким образом - дело практики. Пробуйте! Спасибо за внимание!

  • TELEGRAM и Вконтакте- там я публикую не только интересные статьи, но и математический юмор и многое другое.