Добавить в корзинуПозвонить
Найти в Дзене
Homework.ru

Дифференциальные уравнения. Примеры решения

Дифференциальное уравнение — это математическое выражение, содержащее одну или несколько производных. Дифференциальные уравнения очень распространены в науке и технике , а также во многих других областях количественных исследований. С их помощью можно наблюдать и измерять системы, претерпевающие изменения. Решение дифференциального уравнения предполагает функциональную зависимость одной переменной от одной или нескольких других и содержит постоянные члены, которых нет в исходном дифференциальном уравнении. Другими словами, решение дифференциального уравнения дает функция, которую можно использовать для предсказания поведения исходной системы при меняющихся условиями. Дифференциальное уравнение — уравнение, определяющее связь между неизвестной функцией и ее производными. Решение обыкновенного дифференциального уравнения состоит в том, чтобы найти функцию, который удовлетворяет этому уравнению. Виды дифференциальных уравнений Дифференциальные уравнения можно разделить на следующие группы
Оглавление

Дифференциальное уравнение — это математическое выражение, содержащее одну или несколько производных. Дифференциальные уравнения очень распространены в науке и технике , а также во многих других областях количественных исследований. С их помощью можно наблюдать и измерять системы, претерпевающие изменения. Решение дифференциального уравнения предполагает функциональную зависимость одной переменной от одной или нескольких других и содержит постоянные члены, которых нет в исходном дифференциальном уравнении. Другими словами, решение дифференциального уравнения дает функция, которую можно использовать для предсказания поведения исходной системы при меняющихся условиями.

Дифференциальное уравнение — уравнение, определяющее связь между неизвестной функцией и ее производными. Решение обыкновенного дифференциального уравнения состоит в том, чтобы найти функцию, который удовлетворяет этому уравнению.

Виды дифференциальных уравнений

Дифференциальные уравнения можно разделить на следующие группы:

➔ обыкновенные дифференциальные уравнения, в которых нужно найти функцию одной переменной;

➔ уравнения в частных производных, в которых мы ищем функции нескольких переменных.

Существуют методы решения некоторых типов дифференциальных уравнений, но многие задачи не имеют явных решений. В математической практике данные о его существовании часто является более важной информацией, чем вид самого решения.

В настоящее время проводится много исследований последующих схем решения дифференциальных уравнений, так как они имеют множество практических приложений. Во многих университетах создаются специальные кафедры дифференциальных уравнений, которые занимаются практически только поиском решений последовательных новаторских уравнений.

Примеры и способы решения

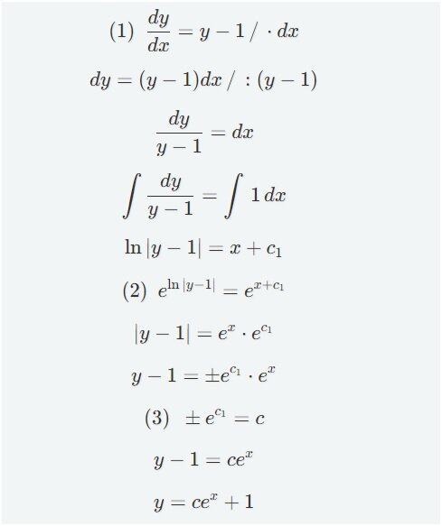
Задача: найти интеграл дифференциального уравнения y’=y−1 означает, что нам нужно найти функцию y(x), удовлетворяющую дифференциальному уравнению.

Задача решается методом разделенных переменных. Дифференциальное уравнение представляет собой уравнение с разделенными переменными. Для решения можно использовать следующую последовательность:

Для проверки правильности расчетов подставляем решение (полученную функцию) в дифференциальное уравнение и проверяем, равна ли левая часть правой части.

-2

Где используются дифференциальные уравнения?

Данный метод вычислений применяется во всех сложных системах. Дифференциальные уравнения могут описать, как меняется население, как перемещается тепло, как вибрируют пружины, как распадается радиоактивный материал и многое другое. Это очень естественный способ описать многие вещи во Вселенной.

Дифференциальные уравнения (ДУ) очень важны при математическом моделировании физических систем. Многие фундаментальные законы физики и химии можно сформулировать с их помощью. В биологии и экономике дифференциальные уравнения используются для моделирования поведения сложных систем. Математическая теория дифференциальных уравнений развивалась вместе с науками, в которых возникли закономерности и где их результаты нашли применение. Однако различные задачи, возникающие иногда в совершенно разных областях науки, могут порождать одни и те же ДУ. Всякий раз, когда это происходит, математическую теорию, лежащую в основе уравнений, можно рассматривать как объединяющий принцип, лежащий в основе различных явлений.

В качестве примера рассмотрим распространение света и звука в атмосфере и волн на поверхности пруда. Все они могут быть описаны одним и тем же уравнением в частных производных второго порядка (волновым уравнением), что позволяет нам думать о свете и звуке как о формах волн, очень похожих на знакомые волны в воде. Теплопроводность регулируется другим уравнением в частных производных второго порядка — уравнением теплопроводности.

Хорошим примером физической системы, моделируемой дифференциальными уравнениями, является радиоактивный распад в физике. Со временем радиоактивные элементы распадаются. Период полураспада представляет собой время, за которое активность данного количества радиоактивного вещества уменьшается до половины его первоначального значения. Среднее время жизни — это среднее время жизни радиоактивной частицы до распада. Константа распада — обратная величина среднего срока службы. Мы можем объединить эти величины в дифференциальное уравнение, чтобы определить активность вещества. Для количества радиоактивных частиц активность или количество распадов за время определяется выражением:

-3

Для визуализации решений дифференциальных уравнений используется метод Эйлера. Данный способ решений дифференциальных уравнений предполагает, что наклон в точке такой же, как наклон между этой точкой и следующей точкой. Метод Эйлера дает приближенные решения дифференциальных уравнений, причем чем меньше расстояние между выбранными точками, тем точнее результат. Для графического представления используются поля направления, также известные как поля наклона. Эти элементы представляют собой графическое представление решения дифференциального уравнения первого порядка. Их можно получить без аналитического решения дифференциального уравнения, и они служат полезным способом визуализации решений.