Найти в Дзене
Алина Акишина

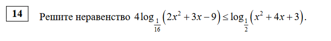
Статград математика профиль (март). Задание №14

На контрасте с предыдущей стереометрией, неравенство, хоть и логарифмическое, дали приятное, без каких-то хитрых уловок (кроме, может быть, для некоторых хитрость с основанием) или сложных вычислительных моментов. По сути, для его решения необходимо знать 3 вещи: 1) Свойства логарифмов, связанных со степенью основания 2) Основной принцип решения логарифмического неравенства базового типа 3) Правильное выписывание условий Для начала, давайте воспользуемся первым пунктом и вынесем степень из основания левого логарифма: Слева и справа логарифмы одинакового основания, поэтому, логарифмы можно опустить. НО! Есть 2 "но": 1) Основание меньше 1, поэтому знак неравенства надо поменять на противоположный 2) Условие по логарифму достаточно написать всего лишь одно. Второе можно - но оно будет излишне. Объясню почему: убирать логарифмы мы имеем право - это следует из убывания логарифмической функции с основанием меньше 1. Мы условием обеспечиваем, что правое подлогарифмическое выражение строго по

На контрасте с предыдущей стереометрией, неравенство, хоть и логарифмическое, дали приятное, без каких-то хитрых уловок (кроме, может быть, для некоторых хитрость с основанием) или сложных вычислительных моментов.

По сути, для его решения необходимо знать 3 вещи:

1) Свойства логарифмов, связанных со степенью основания

2) Основной принцип решения логарифмического неравенства базового типа

3) Правильное выписывание условий

Для начала, давайте воспользуемся первым пунктом и вынесем степень из основания левого логарифма:

-2

Слева и справа логарифмы одинакового основания, поэтому, логарифмы можно опустить. НО! Есть 2 "но":

-3

1) Основание меньше 1, поэтому знак неравенства надо поменять на противоположный

2) Условие по логарифму достаточно написать всего лишь одно. Второе можно - но оно будет излишне. Объясню почему: убирать логарифмы мы имеем право - это следует из убывания логарифмической функции с основанием меньше 1. Мы условием обеспечиваем, что правое подлогарифмическое выражение строго положительно. Поскольку при переходе левая часть больше или равна правой, а правая строго положительна, то левая автоматически получается строго положительной.

Ведь если правая часть >3, то левая автоматически для верного неравенства должна быть больше 3. Такие нюансы позволяют избегать лишних ненужных действий и решений.

-4

А далее решаем небольшую маленькую систему и получаем ответ.

А вы не забыли поменять знак неравенства при их опускании?

#егэ математика профиль #математика егэ #статград #вариант по математике #разборы #вторая часть #задание14 #неравенства #логарифмы #логарифмические неравества