Найти в Дзене
Not_facebooked

Перспективная схемотехника сварочных инверторов. Часть 1.

Настоящая статья представляет собой обзор публикаций, посвященных разработке силовой части мощных ключевых преобразователей, перспективных, по мнению авторов публикаций, в качестве основы для построения сварочного инвертора. Под сварочным инвертором будет пониматься источник сварочного тока инверторного типа (далее – ИИСТ) - мощный ключевой преобразователь, работающий на частотах преобразования порядка 20 – 100 кГц с MOSFET либо IGBT транзисторами в качестве ключевых элементов. Силовую часть ИИСТ можно рассматривать безотносительно конкретной технологии сварочного процесса, так как основная ее задача – обеспечить необходимый уровень мощности, подводимой к сварочной дуге, а формирование нагрузочной характеристики, алгоритмов «поведения» ИИСТ и сервисных функций осуществляется блоком управления. Поэтому все описанные ниже схемы силовой части ИИСТ могут найти применение в сварочных инверторах для любого типа сварочного процесса из числа наиболее распространенных на практике: ручная

Настоящая статья представляет собой обзор публикаций, посвященных разработке силовой части мощных ключевых преобразователей, перспективных, по мнению авторов публикаций, в качестве основы для построения сварочного инвертора. Под сварочным инвертором будет пониматься источник сварочного тока инверторного типа (далее – ИИСТ) - мощный ключевой преобразователь, работающий на частотах преобразования порядка 20 – 100 кГц с MOSFET либо IGBT транзисторами в качестве ключевых элементов. Силовую часть ИИСТ можно рассматривать безотносительно конкретной технологии сварочного процесса, так как основная ее задача – обеспечить необходимый уровень мощности, подводимой к сварочной дуге, а формирование нагрузочной характеристики, алгоритмов «поведения» ИИСТ и сервисных функций осуществляется блоком управления. Поэтому все описанные ниже схемы силовой части ИИСТ могут найти применение в сварочных инверторах для любого типа сварочного процесса из числа наиболее распространенных на практике: ручная дуговая сварка штучным электродом (ММА), полуавтоматическая сварка в среде защитного газа (MIG/MAG) и сварка неплавящимся вольфрамовым электродом в защитном газе (WIG/TIG).

Однотактные сварочные инверторы

Авторы работы [1] утверждают, что в ИИСТ промышленного производства применяются, в основном, две топологии силовой части: однотактный прямоходовой мостовой конвертер (далее – ОПМК, в зарубежной литературе за этим типом преобразователя закрепилось два равноценных названия – double-ended forward converter и asymmetric half-bridge, последний вариант не совсем удачный) и конвертер мостового типа с ШИМ или с ШИМ и фазовым сдвигом (ШИМ-ФС).

Авторы также считают, что по совокупности свойств, ОПМК является оптимальным типом преобразователя для построения ИИСТ на ток до 200А (известны промышленные ИИСТ с топологией ОПМК на ток до 250А). По этой причине авторы разработали ИИСТ

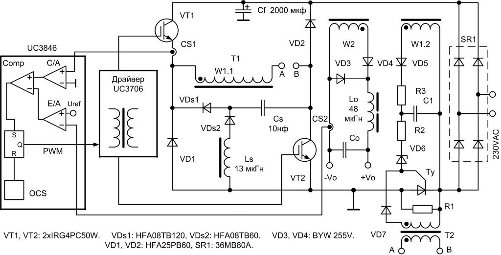
Рис.1 Силовая часть сварочного инвертора из работы [1]. Рабочая частота 40 кГц.
Рис.1 Силовая часть сварочного инвертора из работы [1]. Рабочая частота 40 кГц.

с топологией ОПМК на ток до 150 А, особенностью которого является применение бездиссипативного демпфера, снижающего коммутационные потери при выключении силовых транзисторов. Схема этого ИИСТ приведена на рис.1. Бездиссипативный демпфер состоит из элементов Ls, Cs, VDs1, VDs2 и был предложен в работе [2]. Принцип работы демпфера проиллюстрирован диаграммами на рис.2.

Рис.2 Диаграммы напряжений и токов в ОПМК с бездиссипативным демпфером [1].
Рис.2 Диаграммы напряжений и токов в ОПМК с бездиссипативным демпфером [1].

Рассмотрим работу схемы в установившемся режиме. В течение интервала времени t0-t1 транзисторы VT1, VT2 находятся в проводящем состоянии (Vge1, Vge2 – напряжения на затворах VT1 и VT2). Через VT1 (VT2) течет ток первичной обмотки Ip плюс ток намагничивания Im. Ток коллектора VT1 (VT2) нарастает со скоростью:

формула (1)
формула (1)

где n – коэффициент трансформации силового трансформатора Т1 (под “n” понимается отношение числа витков первичной обмотки к числу витков вторичной), Vd – напряжение питания (Vd =320В), VO - выходное напряжение инвертора, LO - индуктивность выходного дросселя, LLk - индуктивность рассеивания силового трансформатора, приведенная к первичной обмотке, Lm - индуктивность намагничивания Т1. Авторы использовали трансформатор Т1 со следующими параметрами: LLk =6,6 мкГн, Lm =1,1 мГн и n=2,8. Ток в обмотке выходного дросселя LO на этом временном интервале нарастает со скоростью:

формула (2)
формула (2)

В момент времени t1 выключаются транзисторы VT1, VT2 и демпферный конденсатор Cs заряжается током:

формула (3)
формула (3)

где ICmax - мгновенное значение тока коллектора силового транзистора в момент t1, при этом считается, что в течение короткого интервала dt=t2-t1 ток ICmax остается неизменным. Iumax - максимальное значение тока намагничивания. Таким образом, демпфер «работает» только на интервале t1-t2: при выключении транзисторов открывается диод VDs1 и конденсатор Cs оказывается подключенным параллельно первичной обмотке W1.1. За время t2-t1 демпферный конденсатор заряжаясь поглощает заряд Q=2CsVd, что приводит к снижению скорости изменения напряжения на первичной обмотке, а следовательно, к «затягиванию» фронта напряжения «коллектор-эмиттер» транзисторов VT1 и VT2.
Скорость нарастания напряжения на конденсаторе Cs равна:

формула (4)
формула (4)

Номинал Cs, необходимый для эффективной работы демпфера, можно оценить из соотношения:

формула (5)
формула (5)

где tf - время выключения силового транзистора, а VIO - величина напряжения на коллекторе транзистора при его выключении, к тому моменту, когда ток коллектора спадет до нуля. Обычно выбирается VIO = 0,5Vd.

На интервале времени t2-t3 транзисторы закрыты, конденсатор Cs заряжен до напряжения питания Vd и ток намагничивания Т1 спадает до нуля. Ток выходного дросселя уменьшается со скоростью:

формула (6)
формула (6)

В момент времени t3 снова включаются транзисторы VT1 и VT2, причем скорость нарастания тока коллектора ограничена индуктивностью рассеивания LLk, которая выполняет роль демпфера «на включение» транзисторов. Конденсатор Cs перезаряжается через открытые VT2, VDs2 с +Vd до -Vd и передает накопленную в предыдущем такте энергию в

индуктивность Ls. Напряжение на демпферном конденсаторе изменяется по закону:

формула (7), где
формула (7), где
- собственная резонансная частота контура, образованного элементами демпфера Ls  и Cs.
- собственная резонансная частота контура, образованного элементами демпфера Ls и Cs.

Выбор номинала индуктивности производится из соотношения:

формула (8)
формула (8)

где Vdmax - максимальное возможное напряжение питания и ILSmax - выбранная при расчете демпфера амплитуда импульса тока через индуктивность Ls. Амплитуда этого импульса тока равна:

формула (9), где
формула (9), где
- характеристическое сопротивление контура LsCs.
- характеристическое сопротивление контура LsCs.

Так как диод VDs2 не позволяет току в контуре совершить полный период колебания, то импульсы перезарядки Cs будут иметь форму «половины синусоиды» с длительностью:

формула (10)
формула (10)

К моменту времени t4 конденсатор Cs заряжен до напряжения -Vd и подготовлен к следующему такту выключения транзисторов.

Здесь следует обратить внимание на то, что выбор номиналов Ls и Сs на практике осуществляется на основе компромисса. Главная трудность заключается в том, что при коротком замыкании нагрузки, что является штатным режимом работы сварочного инвертора, блок управления силовой частью формирует короткие импульсы с типичной длите-льностью порядка 1 мксек. Длительность этих импульсов должна быть не менее длительности импульса тока перезарядки конденсатора Cs. В противном случае Cs перезаряжается не полностью и эффективность демпфера падает, причем происходит это в тяжелом для транзисторов режиме. Фактически, разработчику приходится сначала выбирать вели-чину емкости Cs, исходя из параметров быстродействия примененных транзисторов, а затем, зная минимальную длительность проводящего состояния транзисторов tONmin, расcчитывать величину Ls в соответствии с (10), соблюдая условие tLS < tONmin. При применении «медленных» транзисторов потребуется «большая» емкость Cs и, следовательно, «маленькая» индуктивность Ls, что приведет к тому, что амплитуда импульса тока перезаряда демпферного конденсатора может составлять десятки ампер. Невозможность независимого выбора номиналов Cs и Ls является общим недостатком демпферных цепей подобного типа. Наличие интервала времени, необходимого для перезарядки Cs ограничивает возможности по увеличению частоты преобразования.

К интересным особенностям обсуждаемой схемы ОПМК можно отнести способ управления шунтирующим тиристором Ту. При включении инвертора в сеть 220/230В конденсатор фильтра Cf заряжается через токоограничивающий резистор R1. После окончания этого процесса запускается силовая часть и на управляющий электрод тиристора Ту подается необходимое для его включения напряжение с дополнительной обмотки силового трансформатора W1.2 (такое решение применяет в своих инверторах фирма ESAB).

Это напряжение подается с задержкой, величина которой определяется элементами С1, R3, VD6. Но в режиме короткого замыкания напряжение на W1.2 падает ниже необходимого для управления тиристором уровня и для преодоления этой проблемы авторы работы [1] применили дополнительный трансформатор тока Т2, включенный в цепь первичной обмотки трансформатора Т1. При коротком замыкании напряжение на вторичной обмотке Т2 максимально и достаточно для поддержания тиристора Ту в открытом состоянии.

Блок управления инвертора построен на базе ШИМ-контроллера UC3846 фирмы Texas Instruments, управление силовыми транзисторами осуществляется драйвером, состоящим из микросхемы UC3706 и трансформатора гальванической развязки. Блок управления работает в режиме управления по току с двухпетлевой ООС: с датчика тока CS1 снимается сигнал, пропорциональный мгновенному току первичной обмотки, а с датчика тока CS2 – сигнал, пропорциональный мгновенному значению тока нагрузки.

Авторы отмечают хорошую динамику регулирования: среднее значение тока нагрузки, в соответствии с выставленным заданием, устанавливается за время порядка двух миллисекунд. Эффективность инвертора при токе нагрузки до 120А составила около 90%.

Рассмотрим еще один прототип сварочного инвертора, построенный по однотактной топологии: однотактный однотранзисторный прямоходовой преобразователь с фиксирующей обмоткой (далее – ООПП) [3]. Структурная схема предложенной авторами силовой части показана на рис.3. В данной топологии обмотка w1.2 не является более чисто размагничивающей, как в традиционной схеме однотактного прямоходового преобразователя с одним транзистором и размагничивающей обмоткой, а служит для перезарядки конденсатора С1 при включенном состоянии VT1. При закрытом состоянии транзистора VT1 энергия, накопленная в индуктивностях рассеивания и намагничивания в предыдущем такте, рекуперирует в конденсатор С1 и затем в источник питания. Если емкость этого конденсатора выбрана достаточно большой, тогда среднее напряжение на «поперечном» конденсаторе С1 равно напряжению питания Vd и напряжение на коллекторе VT1 фиксировано на уровне 2Vd. Схема на рис.3 отличается от ранее известных схем ограничения напряжения на силовом транзисторе в ООПП наличием дополнительного диода VD2. В работе [4] описаны примеры применения подобных цепей ограничения напряжения (со структурой без VD2) в составе других известных топологий однотактных однотранзисторных преобразователей: SEPIC, ZETA, Cuk, Flyback. Кроме того, в [5] описаны полезные модификации данной схемы ограничения напряжения, расширяющие ее возможности и область применения.

Рис.3 Однотактный прямоходовой преобразователь с фиксирующей обмоткой (W1.1=W1.2) [3].
Рис.3 Однотактный прямоходовой преобразователь с фиксирующей обмоткой (W1.1=W1.2) [3].

На рис.4 показан улучшенный вариант первоначальной схемы ООПП, в котором обеспечивается «мягкое» выключение транзистора VT1 за счет введения демпфирующих конденсаторов С2, С3 и разделения вспомогательной первичной обмотки на две равные части w1.2 и w1.3. Авторами был изготовлен макетный образец сварочного инвертора

по схеме, изображенной на рис.4, и получена мощность на нагрузке 3900 ватт при напряжении 26 вольт и частоте преобразования 20 кГц.

Рис.4 Улучшенный вариант ООПП с функцией демпфирования коллекторного напряжения. W1.2=W1.3=0,5W1.1.
Рис.4 Улучшенный вариант ООПП с функцией демпфирования коллекторного напряжения. W1.2=W1.3=0,5W1.1.

С целью проверки эффективности демпфирования напряжения на коллекторе VT1 и его фиксации автором данной статьи была разработана модель преобразователя по схеме на рис.4 в формате Micro-CAP 8. Моделирование работы схемы показало, что включение силового транзистора происходит «мягко» благодаря наличию индуктивности рассеивания, напряжение на коллекторе VT1 ограничено на нужном уровне и отсутствуют индуктивные выбросы. При этом выявился ряд недостатков схемы: демпфирование фронта напряжения на коллекторе VT1 происходит менее эффективно чем в ОПМК (рис.1) при одинаковых номиналах демпфирующих конденсаторов из-за индуктивности рассеивания, включенной последовательно с конденсаторами С2, С3. Кроме этого, на фронте тока коллектора появляется импульс перезарядки указанных конденсаторов, амплитуда которого ограничена только величиной индуктивности рассеивания. В переходных режимах (резкие изменения нагрузки, включение или выключение питания) возможен "заход" магнитопровода трансформатора в область насыщения. Последний недостаток можно устранить введением немагнитного зазора. По мнению автора, схема на рис.4 требует дополнительного изучения и, возможно, оптимальным вариантом было бы использование ООПП в варианте, показанном на рис.3, но с дополнительным бездиссипативным демпфером любого известного типа.

Двухтактные сварочные инверторы

Рассмотрим силовую часть ИИСТ, предложенную в работе [6] и показанную на рис.5. Преобразователь представляет собой мостовой конвертер с переключением силовых транзисторов при нулевом токе и напряжении, управляемый методом «ШИМ с регулируемым фазовым сдвигом» между сигналами управления полумостовыми «стойками» (Phase-shifted ZVZCS full bridge converter или – PS-ZVZCS-FB). В отличие от обычного мостового конвертера с ШИМ-ФС (PS-ZVS-FB) в данной топологии добавлены элементы Cb и Ls, а также вместо четырех демпфирующих конденсаторов, устанавливаемых параллельно силовым транзисторам, в данной схеме достаточно двух. Главная идея заключается в реализации алгоритма управления силовыми транзисторами таким образом, чтобы одно плечо моста коммутировалось при нулевом напряжении на транзисторах, а второе – при нулевом токе. На рис.6 приведены диаграммы токов и напряжений в характерных точках PS-ZVZCS-FB конвертера. Предполагается, что все элементы схемы идеальные, пульсации тока нагрузки равны нулю и индуктивность насыщающегося дросселя Ls много больше индуктивности рассеивания силового трансформатора LLk, приведенной к первичной обмотке. Можно выделить семь характерных временных интервалов в работе схемы.

Рис.5 Мостовой преобразователь с ШИМ-ФС и коммутацией при нулевом напряжении и токе ключей [6].
Рис.5 Мостовой преобразователь с ШИМ-ФС и коммутацией при нулевом напряжении и токе ключей [6].

В момент времени t0 включается транзистор VT4, при этом VT1 уже находится в открытом состоянии. Дроссель Ls, пока еще не насыщенный, ограничивает скорость нарастания тока коллектора VT4 - таким образом происходит «мягкое» его включение. К моменту времени t1 дроссель Ls насыщается из-за приложенного к нему напряжения.

На интервале времени t1-t2 ток через блокировочный конденсатор Сb нарастает со скоростью, определяемой индуктивностью рассеивания LLk, до значения тока нагрузки, приведенного к первичной обмотке Т1.

В течение интервала t2-t3 энергия из источника питания передается в нагрузку. Напряжение на блокирующем конденсаторе линейно возрастает от -VCbmax до +VCbmax . Этот конденсатор блокирует постоянную составляющую на первичной обмотке Т1, сохраняя ее в виде разности напряжения на Сb. В момент времени t3 транзистор VT1 выключается, а VT4 остается включенным.

На интервале t3-t4 демпферный конденсатор Cs1 разряжается, а Cs2 заряжается током ICb, текущим через блокирующий конденсатор, то есть током размагничивания индуктивности рассеивания Т1.

Рис.6 Диаграммы токов и напряжений мостового преобразователя с ШИМ-ФС.
Рис.6 Диаграммы токов и напряжений мостового преобразователя с ШИМ-ФС.

По этой причине фронт напряжения «коллектор-эмиттер» VT1 затя-гивается и транзистор «мягко» выключается. Когда напряжение на вторичной обмотке становится меньше напряжения на нагрузке процесс передачи энергии в нагрузку прекращается. Ток дросселя Lo начинает течь через все диоды выходного выпрямителя и вторичная обмотка шунтируется. К моменту времени t4 Cs1 заряжается до напряжения питания, а Cs2 полностью разряжается после чего открывается диод VD2 током дросселя Ls.

В начале интервала времени t4-t5 на коллекторе VT2 из-за открытого диода VD2 удерживается равное нулю напряжение и транзистор можно включить «при нулевом напряжении» на нем. При включении VT2 напряжение на Cb прикладывается к насыщенному дросселю Ls и индуктивности рассеивания, ток ICb линейно уменьшается, продолжая проте-кать через диод VD2. К моменту времени t5 этот ток уменьшается до нуля и начинает течь через открытый VT2 в обратном направлении, а диод VD2 закрывается.

На интервале времени t5-t6 дроссель Ls более не насыщен. По этой причине диагональный ток удерживается на низком уровне и предотвращается разрядка блокирующего конденсатора Сb (для этого и нужен насыщающийся дроссель). Транзистор VT4 выключается

при почти нулевом токе.

Интервал t6-t7 дает возможность рекомбинировать оставшимся носителям заряда в p-n переходе внутреннего биполярного транзистора в составе VT4. Транзистор запирается быстрее, чем без использования режима «выключения при нуле тока».

В данной схеме важен оптимальный выбор величины демпферных конденсаторов Cs1 и Cs2: от этого зависят коммутационные потери транзисторов VT1 и VT2 при выключении. Авторами было установлено, что увеличение емкости Cs1 и Cs2 свыше определенного «критического» значения не приводит более к заметному снижению коммутационных

потерь. Поэтому оптимально использовать Cs1=Cs2=Cscrit. Для случая Cs>Cscrit мощность коммутационных потерь при выключении транзисторов VT1 и VT2 равна:

формула (11)
формула (11)

Для случая Cs<Cscrit:

формула (12)
формула (12)

Величину Cscrit можно найти из соотношения:

формула (13)
формула (13)

где tf - время спада коллекторного тока, ICb - ток через блокирующий конденсатор, Vd - напряжение питания преобразователя.

Насыщающийся дроссель Ls необходим для предотвращения разряда блокирующего конденсатора Cb на интервалах времени dt6 + dt7 (d – означает «дельта», разность) и ограничения тока при включении транзисторов VT3, VT4. Поэтому насыщение Ls в течение указанных интервалов времени не допустимо. Параметры Ls можно приближенно рассчитать из линеаризованных зависимостей напряжения на обмотке дросселя на интервалах dt7, dt6, dt1 (рис.6). Приняты следующие обозначения: dt1=t2-t1, dt6=t6-t5 и так далее. Площадь поперечного сечения магнитопровода и число витков дросселя Ls можно найти из:

формула (14)
формула (14)

где BLs_sat - индукция насыщения магнитопровода Ls, Sc - площадь поперечного сечения и NLs - число витков.

Выбор емкости блокирующего конденсатора производится на основе компромисса между желательно низким напряжением на конденсаторе VCbmax и длительностью времени спада тока диагонали моста dt5. По этой причине необходимо максимально уменьшать индуктивность рассеивания трансформатора Т1. Время спада тока, текущего по диа-гонали моста зависит от величины индуктивности рассеивания, от времени перекрытия сигналов управления транзисторами на интервалах dt3, dt4, от емкости блокирующего конденсатора и индуктивности дросселя Ls:

формула (15)
формула (15)

Максимальное напряжение на блокирующем конденсаторе пропорционально току нагрузки и равно:

формула (16)
формула (16)

где n - коэффициент трансформации.

Для управления ключевыми транзисторами авторами был разработан адаптивный алгоритм управления, гарантированно обеспечивающий коммутацию силовых транзисторов с низкими потерями во всем диапазоне нагрузок. Транзисторы VT1 и VT2 могут быть включены только после полной разрядки конденсаторов Cs1 и Cs2, которая производится

током нагрузки, приведенном к первичной обмотке трансформатора Т1. Уменьшение тока нагрузки приводит к увеличению времени, необходимого для разрядки Cs1 и Cs2. На холостом ходе разрядка этих конденсаторов вообще не происходит и при очередном включении транзисторов конденсаторы разряжаются прямо через них. В этом случае запасенная в демпферных конденсаторах энергия рассеивается на ключах VT1 и VТ2. В результате на транзисторах выделяется мощность:

формула (17)
формула (17)

Для исключения этого вида потерь контролируется напряжение на демпферных конденсаторах и на выходе преобразователя. Импульсы управления транзисторами VT1 и VT2 блокируются до тех пор, пока соответствующий конденсатор Cs1 или Cs2 не разрядится.

В режиме холостого хода схема работает как обычный полумост, так как Cs1 и Cs2 не разряжаются и VT1 и VT2 не включаются. Стабилизация тока дуги производится по сигналу датчика тока, установленного на вторичной стороне силового трансформатора.

Для оценки эффективности авторами был изготовлен экспериментальный образец инвертора с питанием от однофазной сети и максимальной выходной мощностью 3,5 кВт. Были рассчитаны и использованы следующие компоненты: Cs1=Cs2=7,5 нф, CB=1,32 мкф (VCВmax=62В), LS =110 мкГн (в насыщенном состоянии – 0,056 мкГн), индуктивность рассеивания – 3,7 мкГн, коэффициент трансформации n=4, VT1-VT4 – IRG4PC50U. В диапазоне нагрузок от 24% до 100% экспериментальный образец имел КПД 92% при рабочей частоте 50 кГц, то есть примерно на 2% больше, чем ОПМК на рис.1. Может сложиться впечатление, что это несущественная разница, однако при разработке ИИСТ идет борьба за доли процентов КПД.

Авторы обращают внимание на то, что повышению рабочей частоты препятствует индуктивность рассеивания силового трансформатора. Также можно добавить, что из-за наличия интервалов времени, в течение которых происходит рекуперация реактивной мощности в демпферной цепи, эффективный коэффициент заполнения снижается. Это является своего рода «расплатой» за «мягкую» коммутацию силовых транзисторов и приводит к необходимости уменьшать коэффициент трансформации. Авторы использо-вали трансформатор с n=4, в то время, как силовые трансформаторы в ИИСТ на основе «традиционного» мостового преобразователя обычно имеют коэффициент трансформации n=6.

Обратимся теперь к оригинальному преобразователю, предложенному авторами работы [7]. Это полумостовой конвертер с дополнительной коммутацией по шинам питания.

Схема силовой части преобразователя показана на рис.7, где LLk – индуктивность рассеивания силового трансформатора Т1, Cs1 и Сs2 – демпферные конденсаторы, VD5 и VD6 – возвратные диоды, VT3 и VT4 – дополнительные транзисторы, коммутирующие напря-жение питания плеч полумоста на транзисторах VT1 и VT2. Процессы, протекающие в схеме, поясняются диаграммами на рис.8.

Рис.7 Полумостовой сварочный инвертор с дополнительной коммутацией по шинам пи- тания [7].
Рис.7 Полумостовой сварочный инвертор с дополнительной коммутацией по шинам пи- тания [7].

Все активные ключевые элементы схемы включаются при нулевом токе (режим ZCS) и выключаются при нулевом напряжении (режим ZVS). Ключи полумоста VT1, VT2 управляются стандартной ШИМ, а вспомогательные ключи VT3, VT4 выключаются раньше основных VT1, VT2 на время задержки td. Рассмотрим кратко работу конвертера.

Перед моментом времени t0 открыты транзисторы VT1 и VT3, через них течет ток нагрузки (первичной обмотки), Cs1 заряжен до напряжения питания. Транзисторы VT2 и VT4 закрыты, а конденсатор Cs2 разряжен.

В момент времени t0 выключается транзистор VT3 в режиме ZVS, его ток мгновенно «перехватывается» конденсатором Cs1, который начинает разряжаться током первичной обмотки.

Рис.8 Диаграммы токов и напряжений в конвертере из работы [7].
Рис.8 Диаграммы токов и напряжений в конвертере из работы [7].

На отрезке времени t0-t1 напряжение на Cs1 равно:

формула (18)
формула (18)

Из соотношения (18) видно, что время разрядки демпферного конденсатора обратно пропорционально току нагрузки, приведенному к первичной обмотке. Также понятно, что время задержки td выключения VT1 относительно выключения VT3 должно быть не менее времени разрядки Cs1. Авторы данной работы оптимизировали время td для случая максимального тока нагрузки, с уменьшением которого конденсатору Cs1 начнет не хватать времени для полной разрядки и эффективность демпфера будет падать. Для преодоления этого недостатка нужно либо увеличивать время задержки (в предположении,

что оно имеет фиксированную величину), либо ШИМ-контроллер должен изменять время задержки в зависимости от величины тока первичной обмотки. Первый способ наиболее простой, но приводит к уменьшению эффективного коэффициента заполнения, второй вариант оптимальнее, но усложняет алгоритм управления конвертером. Конденсатор Cs1

затягивает фронт коллекторного напряжения и VT1 и VT3.

К моменту времени t1 Сs1 полностью разряжается и можно выключать транзистор VT1. После разрядки Cs1 ток первичной обмотки перехватывается открывшимся диодом VD5. В течение интервала t1-t2 открыты оба выходных диода VD7 и VD8 и, следовательно, обмотки трансформатора замкнуты.

В момент t2 выключается транзистор VT1 в режиме ZVS так как конденсатор Cs2 к этому моменту разряжен в предыдущем полупериоде, а транзистор VT2 выключен (Cs2 выполняет функции демпфера для VT1). Сразу после выключения VT1 открывается диод VD2 и конденсатор Cs2 начинает заряжаться током первичной обмотки. Напряжение на Cs2 достигает величины напряжения питания нижнего плеча полумоста (Vd/2) и если к этому моменту энергия, запасенная в индуктивности рассеивания рекуперировала не полностью, то током первичной обмотки открывается диод VD4 и остаточная энергия индуктивности рассеивания рекуперирует в источник питания. Условие зарядки демпферного конденсатора до напряжения питания полумоста можно получить из соотношения:

формула (19)
формула (19)

где IW1- ток первичной обмотки. Ниже будет показано, что при расчете схемы следует соблюдать условие,

-30

чтобы обеспечить включение VT4 в режиме ZVS. На коротком интервале времени t3-t4 диод D4 находится в проводящем состоянии.

На интервале времени t4-t5 все диоды и транзисторы на первичной стороне трансформатора Т1 находятся в выключенном состоянии. Выходной дроссель LO питает током нагрузку, оба диода VD7 и VD8 остаются открытыми с момента времени t1.

В момент времени t5 включаются одновременно оба транзистора VT2 и VT4, причем VT2 включается в режиме ZCS из-за наличия индуктивности рассеивания трансформатора, по той же причине в режиме ZCS включается и VT4, но из-за того, что напряжение на конденсаторе Cs2 равно напряжению питания полумоста, напряжение между коллектором и эмиттером VT4 равно нулю и VT4 включается при ZCS и ZVS одновременно.

Для опытной проверки авторами был изготовлен экспериментальный образец сварочного инвертора по описанной схеме со следующими параметрами:

  • питающая сеть – 380 В;
  • максимальный ток нагрузки – 400 А при напряжении нагрузки 36 В;
  • рабочая частота инвертора – 40 кГц;
  • коэффициент трансформации силового трансформатора – 4:1:1;
  • индуктивность рассеивания – 2 мкГн;
  • емкость демпферных конденсаторов Cs1, Cs2 – 0,235 мкф;
  • емкость конденсаторов фильтра питания C1, C2 – 2200 мкф;
  • индуктивность выходного дросселя LO – 60 мкГн;
  • VT1/VD1 и VT2/VD2 – модуль SKM150GB128D;
  • VT3/VD3 и VT4/VD4 – модуль CM150DY-12NF;

Авторы отмечают низкую мощность потерь, по сравнению с традиционным сварочным инвертором с «жесткой» коммутацией и типичными демпферными цепями, но величина КПД не приводится. Блок управления для предложенной силовой части может быть построен на основе типового двухтактного ШИМ-контроллера. Авторами был разработан также и мостовой вариант сварочного инвертора с дополнительной коммутацией по шинам питания [8].

Рассмотрим силовую часть ИИСТ, построенную на основе так называемого «трехуровневого конвертера» (3-Level DC-DC converter). Этот тип преобразователей рассматривается в качестве перспективного для применения в ИИСТ с питанием от трехфазной сети, так как напряжение на закрытых транзисторах не превышает половины напряжения питания, что дает возможность применять относительно «низковольтные» транзисторы с максимальным рабочим напряжением 600 вольт, что в свою очередь позволяет снизить как коммутационные потери, так и потери проводимости. В качестве примера рассмотрим результаты разработки ИИСТ на основе трехуровневого конвертера (далее – 3LC), представленные в работе [9]. Схема силовой части 3LC приведена на рис.9. Авторы также применили активный демпфер на вторичной стороне силового трансформатора, состоящий из элементов Cx, VDx, VTx и Caux, помогающий получить режим «мягкой» коммутации ключевых элементов. На рис.10 показаны диаграммы токов и напряжений, поясняющие принцип работы 3LC. Кратко рассмотрим работу данного конвертера.

Транзисторы VT1 – VT4 управляются по точно такому же алгоритму, как и в мостовом преобразователе с ШИМ-ФС. Важную роль играет «плавающий» конденсатор Css. Он обеспечивает режим ZVS для VT1 и VT4, позволяет применять ШИМ-ФС, поддерживает в точке “b” напряжение, равное половине напряжения на шине питания при появлении несимметрии в управляющих транзисторами сигналах.

Пусть в момент времени t0 ключи VT1, VT2 открыты, через первичную обмотку трансформатора Т1 течет приведенный ток нагрузки. Внутренний диод VDx транзистора VTx открывается и конденсатор Сх начинает заряжаться током:

формула (20)
формула (20)

Амплитуду тока зарядки конденсатора Сх можно оценить из соотношения:

формула (21)
формула (21)
Рис.9 Трехуровневый конвертер в качестве ИИСТ  [9].
Рис.9 Трехуровневый конвертер в качестве ИИСТ [9].
Рис.10 Диаграммы токов и напряжений трехуровневого конвертера [9].
Рис.10 Диаграммы токов и напряжений трехуровневого конвертера [9].

где Wo - резонансная частота контура, образованного индуктивностью рассеивания LLk и емкостью Сaux, Iw1 load - ток нагрузки, приведенный к первичной обмотке, Tdemagn - время «размагничивания» индуктивности рассеивания, равное t6-t5. Через полпериода к моменту времени t1 конденсатор Сaux заряжается, а VDx закрывается. В момент времени t2 выключается транзистор VT1 и начинается процесс перезарядки

выходных емкостей транзисторов. Конденсаторы Cs1 – Cs4 на схеме могут быть как внешними, так и собственными паразитными емкостями транзисторов. Благодаря зарядке Cs1 током первичной обмотки (или током индуктивности рассеивания, что то же самое) транзистор VT1 выключается в режиме ZVS. Одновременно, этим же током разряжается

Cs4. К моменту времени t3 Cs1 заряжен до 0,5Vd, а Cs4 – разряжен, напряжение на первичной обмотке снижается до нуля. Разрядка Cs4 возможна благодаря наличию конденсатора Css.

В момент времени t3 после зарядки Cs1 открывается фиксирующий диод VDc1, а из-за полной разрядки Cs4 открывается и анти-параллельный диод VD4. К моменту времени t4 напряжение на выходе вторичного выпрямителя VS снижается до нуля. Кроме того, на интервале t2 – t4 происходит зарядка емкости Cx ключа VTx током через LLk, что при-водит к небольшой «просадке» тока первичной обмотки IW1 (ILLk) на интервале t2 – t4. Таким образом, интервал времени t2 – t5 является рекуперационным, а передача энергии из источника питания в нагрузку осуществляется в течение времени t0 – t2.

В момент времени t5 включаются транзисторы VT4 (в режиме ZVS благодаря диоду VD4, находящемуся в проводящем состоянии) и VTx. После включения VTx напряжение на конденсаторе Cx прикладывается ко вторичной и, следовательно, к первичной обмотке трансформатора, причем в полярности «навстречу» э.д.с. самоиндукции индуктивности

LLk. Из-за этого ток в индуктивности рассеивания быстро снижается до нуля к моменту времени t6. Именно в этом заключается назначение демпферной цепи на вторичной стороне силового трансформатора – в нужный момент времени скомпенсировать ток в индуктивности рассеивания. Ток ILLk спадает до нуля за время

-35

где n=W1/W2 – коэффициент трансформации. В интервале компенсации тока ILLk разрядка Сx носит резонансный характер, подобный тому, что происходил на интервале t0 – t1.

В момент времени t6 можно было бы выключить транзистор VTx, так как он выполнил свои функции, но из-за технических проблем быстрого детектирования факта компенсации тока в индуктивности рассеивания, ключ VTx открывается на фиксированный интервал времени, выбранный с некоторым запасом. Таким образом, до выключения VTx на интервале t5 – t6 ток нагрузки поддерживается за счет энергии, запасенной в емкости Caux и выходном дросселе Lo. В момент времени t7 транзистор VTx выключается. Так как тока в первичной обмотке нет, то открываются оба выходных диода VD5 и VD5, через которые начинает протекать ток выходного дросселя Lo. Также при нулевом токе первичной обмотки (коллектора) выключается транзистор VT2 в момент времени t8, а в момент t9 включается VT3 в режиме ZVS. Далее рассмотренная последовательность коммутационных процессов повторяется. В результате, VT2 и VT3 выключаются и включаются в режиме ZCS, поэтому авторы использовали IGBT транзисторы. А ключи VT1 и VT4 переклю-чаются в режиме ZVS, при котором оптимально применять MOSFET транзисторы.

Для эффективной работы конвертера важно правильно выбрать величину LLk и емкость Caux, так как резонансный характер перезарядки демпферной емкости Сauх может вызвать существенную дополнительную токовую нагрузку на транзисторы и выходные диоды.

Авторами был изготовлен лабораторный образец сварочного инвертора с описанной топологией, максимальным током нагрузки 140А при мощности в нагрузке 4 кВт. Преобразователь рассчитан на питание от трехфазной сети. В качестве VT1, VT4 использовались транзисторы STE38NB50, в качестве VT2, VT3 – транзисторы IXGN50N60B, диоды VDc1, VDc2 – DSEI2x30-06C, выходные диоды VD5, VD6 –DSS2x101-015A, демпферный транзистор VTx – IXFN100N25. Конденсатор Сauх представляет из себя пять параллельно включенных высококачественных конденсаторов FKP 0,47 мкф, Сss – 3,3 мкф и C1, C2 – 2x3,3 мкф. В качестве ШИМ-контроллера использовалась микросхема UC3985 и стабилизация по среднему току нагрузки, который измерялся с помощью датчика тока на эффекте Холла фирмы LEM. Для организации защиты силовых транзисторов в цепи первичной обмотки установлен трансформатор тока, измеряющий мгновенный ток ключей. Авторы отмечают важность конструктивного исполнения силовой части и минимизации индук-тивности монтажа.

В настоящее время трехуровневые конвертеры активно развиваются и представляют собой реальную альтернативу мостовым преобразователям при высоком питающем напряжении. Например, в работе [10] представлено большое количество различных модификаций таких преобразователей, причем на лабораторных образцах получен КПД порядка 95% – 96% при мощности в нагрузке 6 кВт, токе нагрузки 100А и частоте преобразования 100 кГц. Все опытные образцы рассчитаны на напряжение питания 600 – 800 вольт, что предполагает возможность использования активного корректора коэффициента мощности повышающего типа для питания силовой части.

Примечания:

1. Литература, ссылки на которую приводятся по тексту, будет приведена во второй части статьи.

2. К сожалению, платформа Яндекс-Дзен не заточена под технические (научные) публикации и не понимает инструмент MS Word Equations.

По этой причине формулы имеют несколько неконцертный вид.