Найти в Дзене
Робототехника

Немного математики в программировании.

Сегодня продолжу тему программирования и решения простых задач. Как вы заметили, пока задачки идут простые с точки зрения программирования. В них вы учитесь решать примеры математики, которые можно переложить на физику или электротехнику. Идея в том, что любая оценка и принятие решения должны основываться на чём-либо. Для этого и служит математика. которая позволяет вычислять и давать результат. Предыдущая задача здесь:задача3. Скажу, сразу, что это простые программы и на них мы привыкаем к языку, учимся совершать просты операции и оптимизировать под себя. Для того. чтобы получить решение. нужно знать формулы по которым будем вести расчет. Откуда формулы берутся и какой они сложности, на данном этапе нам не так важно. Важно сейчас научиться пользоваться языком программирования, как инструментом. Итак сегодня будем пробовать различный набор математических операций. Задача 4. Даны три числа a,b,c. Они могут быть любыми числами. Необходимо произвести вычисления по следующим формулам: За

Сегодня продолжу тему программирования и решения простых задач. Как вы заметили, пока задачки идут простые с точки зрения программирования. В них вы учитесь решать примеры математики, которые можно переложить на физику или электротехнику.

Идея в том, что любая оценка и принятие решения должны основываться на чём-либо. Для этого и служит математика. которая позволяет вычислять и давать результат. Предыдущая задача здесь:задача3.

Скажу, сразу, что это простые программы и на них мы привыкаем к языку, учимся совершать просты операции и оптимизировать под себя.

Для того. чтобы получить решение. нужно знать формулы по которым будем вести расчет. Откуда формулы берутся и какой они сложности, на данном этапе нам не так важно. Важно сейчас научиться пользоваться языком программирования, как инструментом.

Итак сегодня будем пробовать различный набор математических операций.

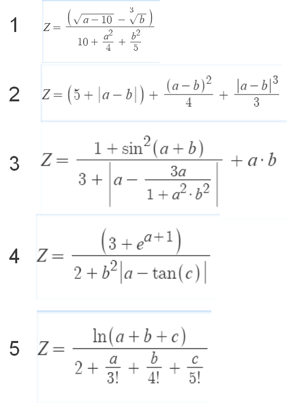
Задача 4.
Даны три числа a,b,c. Они могут быть любыми числами.
Необходимо произвести вычисления по следующим формулам:
Список примеров
Список примеров
Задача:
Найти все 5 решений Z

В данный момент я упражняюсь с питоном поэтому буду использовать его интерпретатор:

https://www.onlinegdb.com/online_python_interpreter.

для тех кому интересны другие языки. можете решать подобные задачи на этих языках, например если интересен язык С. то можете перейти по ссылке:

https://www.onlinegdb.com/ и в правом углу выбираем язык.

Далее рекомендую взять и попробовать. Здесь всё просто.

думаю минут 30 уйдёт на поиск решения.

Некоторые функции искал в интернете и нашел разные варианты, например возведение в степень или корня.

import math # подключаем математические функции
a = 12.5; # задачем значения чисел
b = 4.8;
c = 2.5;
print(" Число а = ",a) # выводим на экран заданные числа
print(" Число b = ",b)
print(" Число c = ",c)
Z = (math.sqrt(a - 10) - b**(1/3))/(10 + a*a/4 + b*b/5); # вычисляем примеры испульзая различные математические функции
print("Пример 1 Z =",Z)
Z = 5+ abs(a+b) + ((a - b)**2)/4 + (abs(a - b)**3)/5
print("Пример 2 Z =",Z)
Z = (1+math.sin(a + b)**2)/(3 + abs(a - 3*a/(1 + a*a*b*b))) + a*b
print("Пример 3 Z =",Z)
Z = (3 + math.exp(a + 1))/(2 + b*b*abs(a - math.tan(c)))
print("Пример 4 Z =",Z)
Z = (3 + math.log(a + b + c))/(2 + a/math.factorial(3) + b/math.factorial(4) + c/math.factorial(5));
print("Пример 5 Z =",Z)

Результатом будет следующие значения:

-2

На что стоит обратить особое внимание, это на скобки и возведение в степень. Если вы где-то не правильно их определите для машины, она их так и поймёт и подсчитает то, что подсчитает. Поэтому, обязательно проверяйте себя. особенно в первое время.

У меня всё, благодарю за внимание.

#вивитроникапрограммирование

#программирование

#вивитроника

#python