Добавить в корзинуПозвонить
Найти в Дзене
Математика не для всех

Самая красивая математическая формула. Как её получил Эйлер?

Приветствую Вас, уважаемые Читатели! Сегодня я хочу рассказать, как Леонард Эйлер пришел к формуле, которая во всех возможных опросах математиков неизменно занимает первое место "как самая красивая, элегантная (добавьте свой эпитет)" в мировой истории. Для этого нам потребуется не так уж много специфических знаний. Люди, которым знакомы понятия "синус", "косинус", "экспонента" и производные этих элементарных функций с легкостью пройдут по пути одного из величайших математиков. Итак, поехали! Те, кто не готов, могут просто переместиться в конец статьи и насладиться ошеломительным и не укладывающимся в рамки результатом. Для начала рассмотрим такую конструкцию, которая в математическом анализе называется рядом Маклорена. Звучит гордо, но это - всего лишь бесконечный многочлен, определенным образом составленный из производных и позволяющий представить функцию f(x) в виде бесконечной суммы (разности) слагаемых. Вот его запись: Давайте вычислим разложение Маклорена для экспоненциальной фу

Приветствую Вас, уважаемые Читатели! Сегодня я хочу рассказать, как Леонард Эйлер пришел к формуле, которая во всех возможных опросах математиков неизменно занимает первое место "как самая красивая, элегантная (добавьте свой эпитет)" в мировой истории.

Для этого нам потребуется не так уж много специфических знаний. Люди, которым знакомы понятия "синус", "косинус", "экспонента" и производные этих элементарных функций с легкостью пройдут по пути одного из величайших математиков. Итак, поехали!

Те, кто не готов, могут просто переместиться в конец статьи и насладиться ошеломительным и не укладывающимся в рамки результатом.
Колин Маклорен (1698 - 1746) - шотландский математик. Источник: https://images.fineartamerica.com/images-medium-large/colin-maclaurin-1698-1746-granger.jpg
Колин Маклорен (1698 - 1746) - шотландский математик. Источник: https://images.fineartamerica.com/images-medium-large/colin-maclaurin-1698-1746-granger.jpg

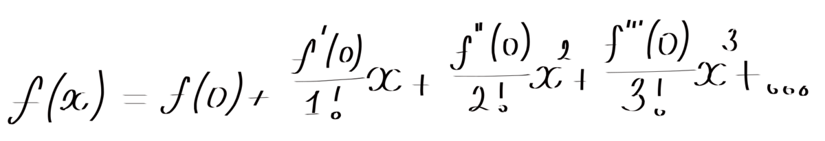
Для начала рассмотрим такую конструкцию, которая в математическом анализе называется рядом Маклорена.

Звучит гордо, но это - всего лишь бесконечный многочлен, определенным образом составленный из производных и позволяющий представить функцию f(x) в виде бесконечной суммы (разности) слагаемых. Вот его запись:

-2

Давайте вычислим разложение Маклорена для экспоненциальной функции, но не простой, а комплексной. Найдем последовательно производные:

-3

Как видно, уже на производной пятого порядка цикл заканчивается и начинают повторяться прошлые значения. Теперь подставим всё это добро в формулу ряда Маклорена:

-4

Во второй строчке просто вынесем мнимую единицу за скобки. Замечательно, что комплексная экспонента имеет такой вид! Но это нам ничего не даст, пока мы найдем, чему же равны выражения в скобках.

Здесь Эйлер делает невероятное открытие. Он берет и находит разложение в ряд Маклорена двух других элементарных функций: синуса и косинуса.

Приведу здесь пример для первого в сокращенном виде:

-5

Для синуса мы получаем в точности бесконечную сумму-разность, которая стоит в правой скобке разложения комплексной экспоненты!

Как Вы уже догадываетесь, в первой скобке аналогичным образом можно получить косинус! Тогда наше выражение принимает практически законченный вид:

-6

Остался всего один шаг до самой красивой математической формулы в истории человечества. Подставить вместо х знаменитую математическую константу π:

-7

Эта удивительная формула абсолютно не укладывается в голове: как можно, казалось бы, к чему-то неотрицательному прибавить единицу и получить ноль???

Помню, что в детстве на меня это произвело неизгладимое впечатление! А как Вы познакомились с этой формулой? Спасибо за внимание!

  • Ставьте "Нравится" и подписывайтесь на канал прямой сейчас. На канале есть статьи на любой вкус!
  • TELEGRAM и Facebook - там я публикую не только интересные статьи, но и математический юмор и многое другое.
Наука
7 млн интересуются