Упростим выражение. Дробь перевернем,а потом сократим. Ответ впишем в пример. У дробей одинаковые знаменатели,поэтому их легко можно вычесть. Потом сокращаем. Ответ: -3
Упростим выражение. Дробь перевернем,а потом сократим. Ответ впишем в пример. У дробей одинаковые знаменатели,поэтому их легко можно вычесть. Потом сокращаем. Ответ: -3
...Читать далее
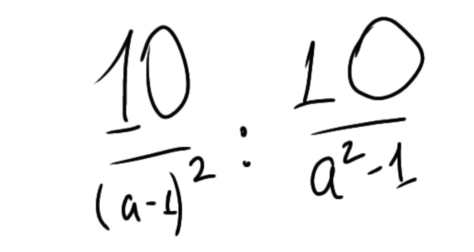
Упростим выражение.
Дробь перевернем,а потом сократим.
Ответ впишем в пример. У дробей одинаковые знаменатели,поэтому их легко можно вычесть.