Найти в Дзене
Валерий Тимин

Геометрическая интерпретация релятивистских преобразований координат пространства-времени

Эта статья о геометрической интерпретации преобразований пространства-времени (ПВ) и "визуалиции" замедления скорости течения времени и сокращения длины протяженных объектов в инерциальных системах отсчета (ИСО) при принятии различных математических моделей реального пространства является продолжением предыдущей статьи, посвященной галилееву пространству. Эта статья посвящается релятивистскому пространству СТО. Всего существует пять типов таких пространств – от галилеева и до релятивистского, от ортонормированных до общего вида: 1) галилеево – считается ПВ классической механики Ньютона (КМН),
2) РПВ – релятивистское ПВ СТО А.Эйнштейна и
3) дорелятивистское – реально пространство КМН,
4) Тангерлини – одно из альтернативных ПВ релятивистского типа,
5) с преобразованиями общего типа – ее мы не будем рассматривать. Первые два типа пространств являются ортонормированными. Это означает, что оси координат ИСО этих двух типов ПВ ортогональны и "метки" осей координат. Следующие два ти
Оглавление

Эта статья о геометрической интерпретации преобразований пространства-времени (ПВ) и "визуалиции" замедления скорости течения времени и сокращения длины протяженных объектов в инерциальных системах отсчета (ИСО) при принятии различных математических моделей реального пространства является продолжением предыдущей статьи, посвященной галилееву пространству. Эта статья посвящается релятивистскому пространству СТО.

Всего существует пять типов таких пространств – от галилеева и до релятивистского, от ортонормированных до общего вида:

1) галилеево – считается ПВ классической механики Ньютона (КМН),
2) РПВ –
релятивистское ПВ СТО А.Эйнштейна и
3)
дорелятивистское – реально пространство КМН,
4)
Тангерлини – одно из альтернативных ПВ релятивистского типа,
5)
с преобразованиями общего типа – ее мы не будем рассматривать.

Первые два типа пространств являются ортонормированными. Это означает, что оси координат ИСО этих двух типов ПВ ортогональны и "метки" осей координат. Следующие два типа можно считать относительно ортонормированными, что означает, что оси координат всех ИСО этих типов ПВ ортогональны и "метки" осей координат нормированы (хотя к третьему имеются замечания) только при достаточно малых скоростях. Дополнительно к этим свойствам можно поставить вопрос об однородности и изотропности этих ПВ как по временной, так и по пространственным направлениям.

В интерпретации соответствия этих пространств реальному физическому ПВ это означает, эксперименты с реальными часами и линейками должны соответствовать этим математическим моделям ПВ. Но ведь этого не может быть? Модели разные – и свойства реального ПВ могут соответствовать не более чем одному из них. Считается, что реальное ПВ однородно и изотропно и является локально релятивистским ПВ.

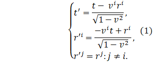
Релятивистское пространство (РП)

Второе преобразование – это ортонормированные преобразования координат пространства Минковского, получаемые из наиболее общих преобразований координат и соответствующие релятивистским преобразованиям координат (РПТК) Лоренца в СТО А.Эйнштейна (см. Рисунок 1):

При рассмотрении релятивистских преобразований координат Лоренца считается, что поперечные координаты (вдоль дополнительных осей координат) при данных преобразованиях остаются исходными и неизменными.

https://cf2.ppt-online.org/files2/slide/g/GEiJzbgH5w4SVW0PcR8fNZuljMaOkeY2X6tdI3q1T/slide-7.jpg
https://cf2.ppt-online.org/files2/slide/g/GEiJzbgH5w4SVW0PcR8fNZuljMaOkeY2X6tdI3q1T/slide-7.jpg

На практике, с использованием реальных эталонов длины, времени и скорости распространения информации, это уравнение преобразования координат имеют следующий вид:

-3

Как видно, в них присутствует некий "релятивистский" коэффициент . С т.з. этих уравнений синхронизация времени осуществляется сигналами, распространяющимися со скоростью c [ед.дл./ед.вр.]. С т.з. уравнений (2.1), синхронизация времени осуществляется сигналами, движущимися с фундаментальной скоростью 1 [ед.дл./ед.вр.]. В реальности эта скорость приблизительно равна 300 000 000 м/с. Современная физика считает, что релятивистские преобразования координат соответствуют свойствам реального ПВ, и допускает использование при любых скоростях вплоть до ее фундаментального значения c = 3×108 м/с, но не более: сверхсветовые скорости не допустимы.

Обратными к (2.1) уравнениями преобразования координат являются уравнения

-4

Это уравнение практически имеет тот же вид, что и (1), только изменился знак скорости. Если бы мы в этом уравнении захотели поставить скорость не штрихованного ИСО по отношению к штрихованному, то ничего не пришлось бы менять и уравнение осталось бы неизменным. Это говорит о том, что преобразования Лоренца являются ковариантными относительно преобразований Лоренца.

В соответствии с уравнениями преобразования координат Лоренца любое изменение скорости ИСО связано с изменением как временных, так и пространственных координат. В соответствии с преобразованиями координат, с т.з. наблюдателя, реальные эталонные (и любые другие) часы в движущейся с.о. замедляются, а расстояния, соответственно, сокращаются.

И эти следствия с очень большой точностью подтверждаются экспериментами вплоть до фундаментальной скорости света. Более того, А.Эйнштейн сформулировал принцип относительности, в соответствии с которым все физические законы в любом ИСО, полученных с помощью этих преобразований координат, описываются абсолютно одинаково. Как следствие, скорость распространения света (и других взаимодействий) в любой ИСО должна быть одной и той же и равной фундаментальной скорости c ~ 3×108 м/с.

Теперь о геометрической интерпретации

Рисунок 1. К определению преобразования  координат в РП по (1).
Рисунок 1. К определению преобразования координат в РП по (1).

Геометрическая интерпретация РП (1) представлена на Рисунке 1 – и она довольно проста. Но отказаться от своей интуитивной точки зрения, даже рассматривая рисунок и представленные формулы, и принять то, что предлагает математика и доказывают эксперименты, довольно сложно. Можно сказать – невозможно. Но это эмоции.

На Рисунке 1, во первых, представлена двумерная интерпретация самого ПВ. Ее на Рисунке можно представить как собственно чистый лист без каких-либо линий и обозначений – просто квадрат, окаймленный зеленым контуром. Геометрическая координатная интерпретация включает в себя общие начала двух ИСО – условно–неподвижной не штрихованной O и подвижной O', оси координат неподвижной (t, r) (выделен черным цветом линий) и подвижной (t', r') (выделен зеленым цветом линий и текста) систем отсчета. На Рисунке также показаны линии, соответствующие единичным значениям осей координат и соответствующим им отрезкам (выделены жирным черным и синим цветом линий и текста). Линии со стрелками соответствуют единичным отрезкам соответствующих осей. Желтой линией обозначена мировая линия движения м.о. (фотона), движущегося со скоростью света c = 1 из начала координат – именно посредством ее мы имеем (почти) всю информацию об этом мире. В остальном, в отличие от предыдущего случая галилеева пространства, представленного в предыдущей статье, имеются большие отличия.

Покажу, как строится каждая линия. Линия осей координат ИСО строятся как графики в соответствии с формулами, показанными рядом с ними недалеко от их концевых стрелок. Причем так, что единичные значения штрихованных осей координат пересекают оси условно покоящейся с.о. в точках, по значению равные коэффициенту квадратному радикалу релятивистского множителя. Единичные линии и отрезки параллельны соответствующим осям координат и отстоят от них на расстоянии 1 единица (уже без формул). И именно это обстоятельство показывает, что время штрихованной ИСО замедляется, а расстояния с т.з. условно покоящейся с.о.

Во первых, в чем проявляется замедление времени в движущейся с.о. по отношению к другой, условно покоящейся. А именно, промежуток времени ∆t₀, измеренный по часам, неподвижным относительно тела, оказывается меньше, чем промежуток времени ∆t, измеренный по часам, движущимся относительно тела.

-6

Это замедление на рисунке видно в том факте, что единичная координата времени штрихованной ИСО ∆t'(1') проектируется в точку ∆t(1') с координатами (см. ф.4) условно покоящейся с.о. В этой формуле ∆t'₀ — длительность процесса, измеренная по часам в движущейся системе отсчета, где тело, с которым происходит процесс, покоится. Промежуток ∆t измерен по часам системы, относительно которой тело движется со скоростью v. Иначе можно сказать, что ∆t определено по часам, которые движутся относительно тела со скоростью v.

Сокращение расстояний означает, что длина стержня L, измеренная в системе, относительно которой он движется, оказывается меньше «собственной» длины L'₀, измеренной в системе, относительно которой стержень покоится.

-7

Это сокращение расстояний на рисунке видно в том факте, что единичная пространственная координата штрихованной ИСО L'₀(1') проектируется в точку L(1') с координатами (см. ф.5) условно покоящейся с.о.

Pамедление времени и сокращение расстояний тем больше, чем больше скорость движения.

(Следите – ожидается продолжение. Про пространство релятивистское, связанное с именем А.Эйнштейна и многих других известных ученых, как физиков, так и математиков).