Найти в Дзене
Робототехника

Операторный метод. Как его используют в электротехнике.

Начну прежде всего с того, что иногда слышу как знакомые, у которых дети сейчас учатся в школе начинают жаловаться зачем ребенку учить такую сложную алгебру. Я в ответ улыбаюсь и говорю, что же там сложного. Вы сложного еще не видели. И на самом деле, школа лишь дает "вычислительную азбуку", с которой потом и начинается высшая математика. На мой взгляд после школы большинство из нас понимает как работать со статическими процессами. Динамические и волновые, а также ряд других процессов изучаются в высшей школе. Сейчас не буду вдаваться в виды и особенности высшей математики, скажу что большой объем задач решается с помощью дифференциальных уравнений. Понимаю, что мои статьи читают люди с инженерным образованием и не только, постараюсь попроще пояснить что такое операторный метод расчета переходных процессов. Но начну с простых примеров. Если у нас есть такая схема, то для её расчет мы используем простую систему уравнений: Такую систему достаточно просто записать в матричном виде и реши

Начну прежде всего с того, что иногда слышу как знакомые, у которых дети сейчас учатся в школе начинают жаловаться зачем ребенку учить такую сложную алгебру. Я в ответ улыбаюсь и говорю, что же там сложного. Вы сложного еще не видели.

И на самом деле, школа лишь дает "вычислительную азбуку", с которой потом и начинается высшая математика. На мой взгляд после школы большинство из нас понимает как работать со статическими процессами. Динамические и волновые, а также ряд других процессов изучаются в высшей школе.

Сейчас не буду вдаваться в виды и особенности высшей математики, скажу что большой объем задач решается с помощью дифференциальных уравнений.

Понимаю, что мои статьи читают люди с инженерным образованием и не только, постараюсь попроще пояснить что такое операторный метод расчета переходных процессов. Но начну с простых примеров.

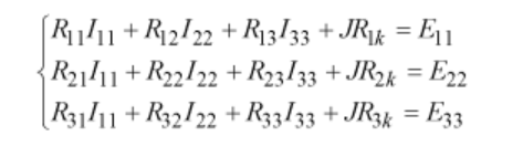
Если у нас есть такая схема, то для её расчет мы используем простую систему уравнений:

-2

Такую систему достаточно просто записать в матричном виде и решить стандартным способом. Но как вы понимаете, данная схема является статическим вариантом и в реалиях сложных схема практически не встречается. Но следующий вариант уже учитывает переходные процессы.

-3

Обратите внимание, что в данном случае в одном уравнении есть и интегральная составляющая и дифференциальная. Так как схема достаточно простая, то интеграл и дифференциал первого порядка. Получается, что для расчета переходных процессов в различных схемах необходимо решать систему неоднородных дифференциальных или интегральных уравнений. Если углубится в ТАУ, то порядок таких уравнений может быть различным.

Пример неоднородного диф. уравнения с постоянными коэффициентами.
Пример неоднородного диф. уравнения с постоянными коэффициентами.

И решать систему из таких уравнений можно разными способами. Существуют даже приближенные математические методы, но я бы хотел сегодня рассказать об операторном методе.

В его основе лежит преобразование Лапласа.

-5

Идея достаточно простая, преобразую дифференциальное или интегральное уравнения через таблицу преобразования Лапласа.

-6

Благодаря таким преобразованиям. мы можем значительно упрощать и схемы с реактивными элементами:

-7

Самое интересное идет далее. Когда мы берем любое дифференциальное уравнение с помощью преобразования Лапласа находим для него изображение.

-8

С помощью этих преобразований в любом уравнении содержащем дифференциал, мы можем избавиться от него. И получить обычное уравнение с несколькими степенями.

Получается.что достаточно сложное дифференциальное уравнение вида

-9

Преобразуется в более понятное.

Следующий этап - это решение системы степенных уравнений. На самом деле вариантов и методов решения таких задач хватает. Получается, после того, как мы нашли искомые значения в виде операторного изображения, мы можем совершить обратное преобразование и найти искомое значение.

-10

Итак, основная идея в том, чтобы дифференциальное или интегральное уравнение перевести в алгебраическое и решить его.

Исходя из формулы обратного преобразования, стоит отметить, что в этом случае результат будет в представленном виде. Те кто изучает переходные процессы и различные звенья преобразования к этой теме должны относится достаточно серьёзно.

у меня всё, благодарю за внимание.