Добавить в корзинуПозвонить
Найти в Дзене
Разумный мир

Аналоговые вычислительные машины §6. Слежение и уравнение упреждения-запаздывания

Простой пример решения на АВМ линейных дифференциальных уравнений, который мы рассматривали в предыдущей статье, можно распространить и на решение систем таких уравнений. Используется точно такой же общий метод, составляются схемы-программы для каждого уравнения. И между этими схемами проводниками задаются взаимосвязи меду уравнениями и переменными. Да, это несколько сложнее, чем решение единичного уравнения, но принцип точно такой же. А значит, ничего особо интересного там нет. Поэтому давайте рассмотрим более интересный пример. О задачах такого рода в комментариях упоминали не один раз. Поговорим о следящих системах. Точнее, о решении связанных с этим уравнений. Нет, следящие системы используются далеко не только в военных приложениях. То есть, это не только задачи сводящиеся к охотнику и зайцу или летящей к подвижной цели ракеты. Это задачи возникающие при необходимости отслеживать состояние или положение какой либо величины или физического объекта и реагировать на изменения. В общ
Оглавление

Простой пример решения на АВМ линейных дифференциальных уравнений, который мы рассматривали в предыдущей статье, можно распространить и на решение систем таких уравнений. Используется точно такой же общий метод, составляются схемы-программы для каждого уравнения. И между этими схемами проводниками задаются взаимосвязи меду уравнениями и переменными.

Да, это несколько сложнее, чем решение единичного уравнения, но принцип точно такой же. А значит, ничего особо интересного там нет. Поэтому давайте рассмотрим более интересный пример. О задачах такого рода в комментариях упоминали не один раз. Поговорим о следящих системах. Точнее, о решении связанных с этим уравнений.

Нет, следящие системы используются далеко не только в военных приложениях. То есть, это не только задачи сводящиеся к охотнику и зайцу или летящей к подвижной цели ракеты. Это задачи возникающие при необходимости отслеживать состояние или положение какой либо величины или физического объекта и реагировать на изменения.

В общем случае, такие задачи тоже сводятся к системам дифференциальных уравнений. Но вид этих уравнений уже несколько иной. И в каждом уравнении будет уже не две переменные, зависимая и независимая, а три - независимая, вынуждающая, зависимая. И не было бы ничего страшного, если бы для вынуждающей переменной не требовалось выполнять дифференцирование.

Аналоговые Вычислительные Машины обычно не имеют в своем составе дифференциаторов

Казалось бы, в чем проблема использовать дифференциатор? Просто конденсатор из цепи обратной связи ОУ переносим на вход, а входной резистор в обратную связь. Любой электронщик нарисует дифференциатор столь же легко, как и интегратор.

Но проблема все таки есть, и существенная. И заключается она в том, что дифференциатор, в отличии от интегратора, оказывается очень чувствительным к помехам. И это критичный фактор, поскольку наборное поле АВМ является прекрасным набором антенн для улавливания помех.

Поэтому дифференциаторы используют в АВМ, универсальных, очень редко. А раз так, нам как то придется обходится без них.

Уравнение упреждения-запаздывания

Но из-за чего вообще сыр-бор? А вот из-за чего

Уравнение упреждения-запаздывания
Уравнение упреждения-запаздывания

В чем отличие от ранее рассматриваемого дифференциального уравнения? В том, что вынуждающая функция является не только функцией времени и зависимой переменной и ее производных, то и функцией от вынуждающей переменной и ее производных. Если в приведенном выше уравнении n=0, то уравнение описывает упреждение, если m=0, то запаздывание.

Решение дифференциального уравнения это нахождение значений зависимой переменной, которую надо вытаскивать из производных. А вынуждающая переменная нам задается именно как переменная, и ее нужно наоборот, засовывать в производные. Вот для этого и требуется дифференциатор. Которого у нас нет.

Поэтому и рассмотренный ранее общий метод использовать невозможно. Придется искать другие методы. И подходящими оказываются метод канонических форм или метод вспомогательной переменной. Для обоих методов должно выполняться условие

m ⩽ n

Но для метода вспомогательной переменной и коэффициенты должны быть постоянными, что является дополнительным ограничением. Поэтому давайте, для простоты, рассмотрим метод канонической формы. Разумеется, на как аналитический метод решения дифференциальных уравнений, а применительно к методам решения на АВМ.

Я буду очень стараться использовать минимум математики...

Операционное исчисление

Нет, я не буду читать курс лекций на тему операционного исчисления. Я просто приведу лишь маленький кусочек, который поможет нам упростить запись уравнений. Теории преобразований Лапласа и Фурье тоже не будет. Будет небольшой, чисто утилитарный, момент.

Давайте введем понятие математического оператора L. Оператор L можно применить к некоторой переменной x и получить результат y.

y = L x

Все очень просто. Но становится немного сложнее, когда математические операторы применяются к переменной последовательно, например, вот так

y = L2 L1 x

Если вы помните правила приоритетов арифметических операторов, то вероятно захотите рассматривать это вот таким образом

((L2 L1) x)

но будете очень сильно неправы! Математический оператор нельзя применить к оператору, можно только к переменной. А значит, правильно будет вот так

(L2 (L1 x))

То есть, оператор L2 будет применяться к переменной, которая получилась в результате применения оператор L1 к переменной x.

Линейный оператор L соответствует линейному уравнению. Линейный оператор обладает свойством суперпозиции

L ( αx + βy ) = αLx + βLy

Здесь коэффициенты α и β постоянные. Линейные операторы с постоянными коэффициентами обладают и свойством коммутативности

L2 L1 x = L1 L2 x

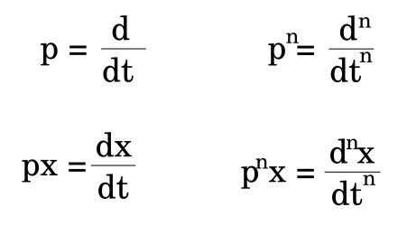
Но нам сегодня будет важен вот такой оператор дифференцирования

-2

И обратный оператор, оператор интегрирования

-3

На этом небольшой экскурс в операционное исчисление закончим. Но сейчас все это будет применять уже на практике.

Решаем уравнение упреждения-запаздывания на АВМ методом канонической формы

Давайте возьмем какое-нибудь простенькое уравнение упреждения-запаздывания и попробуем его решить на АВМ. Мне нравится уравнение, которое мы использовали в предыдущей статье, только правую часть нужно изменить. Сразу запишем это уравнение в операторной форме

Решаемое уравнение упреждения-запаздывания в классической форме и операторной форме
Решаемое уравнение упреждения-запаздывания в классической форме и операторной форме

Как видите, левая часть уравнения осталась прежней, а вот правая теперь является функцией от вынуждающей переменной и ее производной. И хорошо видно, что запись уравнения в операторной форме действительно проще.

Важно отметить, что уравнение само по себе проще не стало! Изменился, упростился, только его внешний вид. Теперь используем тот же самый прием, что и раньше. То есть, выразим производную высшего порядка через остальную часть уравнения. И немного преобразуем его, так как коэффициенты у нас постоянные. А потом проинтегрируем два раза, так как у нас высший порядок производной равен 2, что бы получить выражение для зависимой переменной y

-5

Вы ничего не заметили? А ведь произошло очень важное для решения уравнения на АВМ событие! У нас не стало производных! У нас нет операторов дифференцирования, остались только операторы интегрирования. То есть, нам теперь не нужны дифференциаторы, которых у нас нет, нужны только совершенно стандартные интеграторы.

Но это еще не вся разница. И скоро мы увидим, в чем действительно заключается разница между общим методом, и методом канонической формы. Ведь все наши действия пока было очень похожи. Хотя внимательные читатели уже заметили, что раньше мы само уравнение не интегрировали.

Давайте сделаем небольшой набросок схемы-программы решения на АВМ. Но пока будем разбираться только с переменной y. А переменную x будем просто "иметь ввиду"

Первый набросок, в некотором роде, структурная схема решения
Первый набросок, в некотором роде, структурная схема решения

Как видно, переменная x у нас существует, но пока никуда не подключена. А переменная y появляется на выходе второго интегратора. В полном соответствии с уравнением.

И вот теперь мы видим, что в общем методе мы считали, что у нас производная второго порядка (для нашего примера уравнения) зависимой переменной присутствует на входе первого интегратора. А в методе канонической формы мы считаем, что у нас зависимая переменная существует на выходе второго интегратора.

Если считать уравнение "страшным зверем", то в общем методе мы подходили к нему с головы, а в методе канонической формы подошли с хвоста. Подойти то подошли, но вот уравнение пока не решили. Так что продолжаем.

Второй промежуточный шаг программирования
Второй промежуточный шаг программирования

Мы начали собирать наше уравнение. На входе второго интегратора у нас должно присутствовать -a1y. Вот именно это мы и сделали. По прежнему не обращаем внимания на x. Пусть терпеливо ждет в сторонке.

Теперь переходим ко входу первого интегратора, где должно присутствовать -a0y

Третий промежуточный шаг программирования
Третий промежуточный шаг программирования

Мы уже близки к цели. Вот теперь пришло время и для переменной x. Она должна присутствовать на входе обоих интеграторов, со своими коэффициентами. Подключаем переменную x к промежуточной схеме

Программа-схема решения нашего уравнения упреждения-запаздывания на АВМ
Программа-схема решения нашего уравнения упреждения-запаздывания на АВМ

Вот теперь мы получили полное решение нашего уравнения на АВМ. И смогли обойтись без отсутствующих дифференциаторов. Операционное исчисление нам, по большому счету, сегодня потребовалось в очень малой степени. Но все таки, мы его использовали.

Метод канонической формы, не считая математических преобразований, оказался очень похож на общий метод. В части преобразования математического уравнения (после преобразований!) в программу для АВМ. Поэтому я не стал описывать эти шаги так же подробно, как в предыдущей статье.

Однако, мы пока выиграли только одно сражение, не не войну в целом. Пришло время вспомнить про

Начальные условия

И тут нас ожидает небольшая (?) проблема. Мы можем легко установить начальное состояние второго интегратора, так как его выход соответствует переменной y. Но что делать с первым интегратором?

Как всегда, призывать на помощь математику. И тут никуда не деться. Впрочем, я с самого начала говорил, что использование АВМ это на 95% чистая математика.

Нужно взять наше преобразованное уравнение, до того, как мы его два раза проинтегрировали, и проинтегрировать всего один раз. В результате мы получим выражение не для переменной y, а для ее первой производной. Вот это и будет начальным состоянием, которое надо установить для первого интегратора.

Пожалуй, я не буду это показывать отдельно, здесь нет ничего сложного. А мы только что справились с куда более сложной задачей.

Заключение

Сегодня мы рассмотрели решение боле сложных уравнений, чем в предыдущей статье. При этом такие уравнения являются типовыми для многих задач. Одновременно мы познакомились с методом канонических форм в части его использования для построения программ-схем для АВМ.

Нам потребовалось значительно больше математики, но нельзя сказать, что она была очень сложной. Впрочем, и сам пример был очень простым.

Можно еще очень много рассказывать о решении различных задач на АВМ. О решении систем уравнений, о решении краевых задач, о различных способах решения уравнений и систем не имеющих однозначного решения. Можно рассказать, как АВМ используются для решения нетипичных задач, например, статистических. Но вряд ли это имеет смысл...

Во первых, мы при этом будем просто вынуждены погрязнуть в математике, причем не самой простой. Во вторых, Дзен является далеко не самой подходящей площадкой для подобных статей. В третьих, сложные и наполненные математикой статьи просто мало интересны читателям на Дзен.

Очень немногие, буквально единицы, могут сегодня в реальности столкнуться с АВМ. Чуть больше читателей вспомнят, как изучали АВМ в ВУЗах. Да, математические методы сохранили актуальность. Да, задачи, которые решали на АВМ, и сегодня актуальны. Но время универсальных АВМ ушло.

Но цикл статей про АВМ еще не закончен. Мы обязательно поговорим про маштабирование. И обязательно повнимательнее посмотрим на функциональные преобразователи (кусочно-линейные).

До новых встреч!