Добавить в корзинуПозвонить
Найти в Дзене
Заметки о Rok

Ратуша в Rise of kingdoms

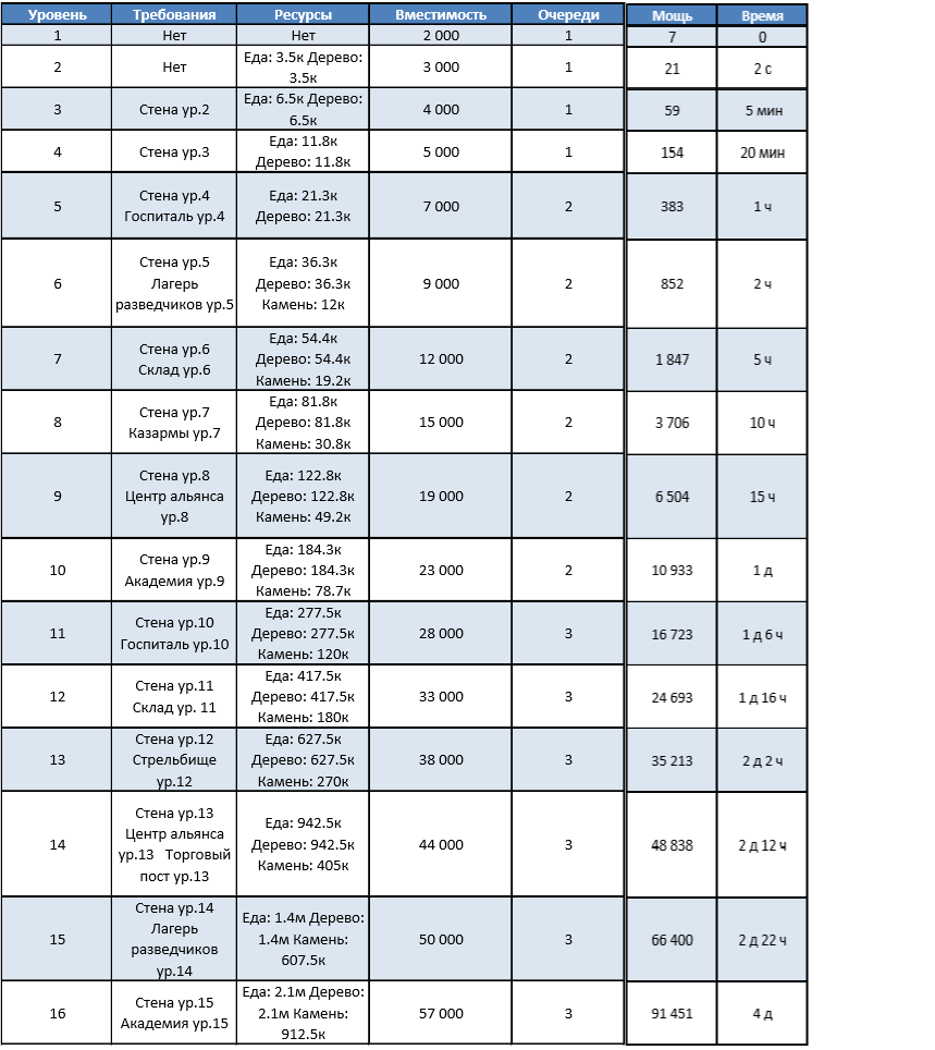
Ратуша - одно из самых важнейших зданий в этой игре. От неё зависит, на какой уровень вы сможете прокачать остальные здания, сколько у вас будет доступно отрядов и какая у них будет вместимость. Прокачать ратушу, как и все здания игры можно максимум на 25 уровень. Сейчас я вам перечислю бонусы, которые даёт ратуша. Ниже я приложу таблицу, в которой будет написано, какие требования нужно выполнить для развития ратуши на каждом уровне. Интересные факты:

Ратуша - одно из самых важнейших зданий в этой игре. От неё зависит, на какой уровень вы сможете прокачать остальные здания, сколько у вас будет доступно отрядов и какая у них будет вместимость. Прокачать ратушу, как и все здания игры можно максимум на 25 уровень. Сейчас я вам перечислю бонусы, которые даёт ратуша.

  1. Вместимость отрядов - чем выше уровень ратуши, тем больше юнитов вы сможете отправить в 1 походе.
  2. Количество отрядов - в зависимости от уровня вы можете разблокировать новые очереди, которые позволят использовать сразу несколько отрядов.
  3. Награды - в игре будут отправляться награды за каждый уровень ратуши на почту, будут предлагать особый набор за прокачку ратуши (платный аспект), а также особое событие - "прорыв эпохи", которое доступно вплоть до 25 уровня ратуши и приносит дополнительные награды.

Ниже я приложу таблицу, в которой будет написано, какие требования нужно выполнить для развития ратуши на каждом уровне.

-2
-3

Интересные факты:

  1. Внешний вид ратуши зависит от цивилизации, их 12, соответственно ратуша имеет 12 разных видов.
  2. В игре существуют скины для ратуши, которые изменяют её внешний вид. Их можно получить из событий в игре. Скины приносят дополнительные бонусы нашему городу.
  3. В ратуше можно посмотреть все усиления, которые действуют на ваш город или ваши отряды.