Найти в Дзене

Разбор задачи по гидравлике

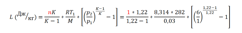
Условие задачи: Определите мощность, потребляемую одноступенчатым компрессором, который сжимает 220 м 3 /ч (н.у.) газа от 1 кгс/см2 до 6 кгс/см2 . Начальная температура этана 282 К, кпд компрессора – 0,62, показатель адиабаты – 1,22. Вычислите температуру газа после сжатия. Мощность, потребляемая одноступенчатым компрессором вычисляется по формуле (N): ɳ нам известна – 0,62. Поэтому находим L и G: где p равен После нахождения значений L и G подставляем в формулу (1). Таким образом мы нашли мощность одноступенчатого компрессора. Осталось найти температуру этана после сжатия (T2). Задача решена.

Условие задачи:

Определите мощность, потребляемую одноступенчатым компрессором, который сжимает 220 м 3 /ч (н.у.) газа от 1 кгс/см2 до 6 кгс/см2 . Начальная температура этана 282 К, кпд компрессора – 0,62, показатель адиабаты – 1,22. Вычислите температуру газа после сжатия.

Мощность, потребляемая одноступенчатым компрессором вычисляется по формуле (N):

Формула (1)
Формула (1)

ɳ нам известна – 0,62. Поэтому находим L и G:

Формула (2) Т.к. по условию одноступенчатый компрессор, n=1.
Формула (2) Т.к. по условию одноступенчатый компрессор, n=1.
Формула (3)
Формула (3)

где p равен

Формула (4)
Формула (4)

После нахождения значений L и G подставляем в формулу (1). Таким образом мы нашли мощность одноступенчатого компрессора. Осталось найти температуру этана после сжатия (T2).

Формула (5)
Формула (5)

Задача решена.