Найти в Дзене
Математика не для всех

Дискриминант, каким Вы его никогда не видели. Что на самом деле скрывает это понятие

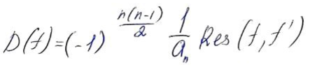
Приветствую Вас, уважаемые Читатели! Сегодня я хочу рассказать о том, чем Вы прекрасно пользовались в средней школе - о дискриминанте. Для кого-то, я уверен, будет культурным шоком тот факт, что дискриминант существует не только для квадратного трехчлена, а привычная всем формула - лишь частный случай более глубокого явления. Итак, поехали! Формула выше определяет дискриминант для многочлена f, который зависит от его степени, а также результанта самого многочлена и его производной. При чем тут производная, можно спросить? Для многочлена f(x) естественно сформулировать такой вопрос: когда f имеет кратные корни? Алгоритмический ответ ясен. Надо найти наибольший общий делитель многочлена f и его производной f' . Если он является многочленом не нулевой степени, то f имеет кратные корни. А результант, как я писал в прошлом материале, предназначен для ответа на вопрос: есть ли у двух многочленов равные корни? Итак, давайте перейдем к примеру. Вычислим дискриминант квадратного трехчлена н

Приветствую Вас, уважаемые Читатели! Сегодня я хочу рассказать о том, чем Вы прекрасно пользовались в средней школе - о дискриминанте.

Для кого-то, я уверен, будет культурным шоком тот факт, что дискриминант существует не только для квадратного трехчлена, а привычная всем формула - лишь частный случай более глубокого явления.

Пьер Жозеф Прудон - автор фразы "Разделяй и властвуй". Дискриминант (от лат. «разбираю», «различаю») как раз и позволяет разделять корни многочленов и манипулировать им.  Источник: https://images.fineartamerica.com/images-medium-large-5/pierre-joseph-proudhon-1809-1865-prisma-archivo.jpg
Пьер Жозеф Прудон - автор фразы "Разделяй и властвуй". Дискриминант (от лат. «разбираю», «различаю») как раз и позволяет разделять корни многочленов и манипулировать им. Источник: https://images.fineartamerica.com/images-medium-large-5/pierre-joseph-proudhon-1809-1865-prisma-archivo.jpg

Итак, поехали!

Конечно, у дискриминанта есть и другое (первичное) определение, но в данном случае я хочу показать связь с результантом. Дискриминант - это симметричное выражение относительно корней исходного многочлена. Удивительно то, что коэффициенты дискриминанта - ВСЕГДА целые числа.
Конечно, у дискриминанта есть и другое (первичное) определение, но в данном случае я хочу показать связь с результантом. Дискриминант - это симметричное выражение относительно корней исходного многочлена. Удивительно то, что коэффициенты дискриминанта - ВСЕГДА целые числа.

Формула выше определяет дискриминант для многочлена f, который зависит от его степени, а также результанта самого многочлена и его производной.

При чем тут производная, можно спросить? Для многочлена f(x) естественно сформулировать такой вопрос: когда f имеет кратные корни? Алгоритмический ответ ясен.

Надо найти наибольший общий делитель многочлена f и его производной f' . Если он является многочленом не нулевой степени, то f имеет кратные корни.

А результант, как я писал в прошлом материале, предназначен для ответа на вопрос: есть ли у двух многочленов равные корни?
Напомню способ построения результанта для двух многочленов
Напомню способ построения результанта для двух многочленов

Итак, давайте перейдем к примеру. Вычислим дискриминант квадратного трехчлена новым для нас способом:

-4

Записываем матрицу Сильвестра и вычисляем её определитель:

Ничего сложного
Ничего сложного

Теперь осталось подставить результант в формулу для дискриминанта и получить ответ:

Если дискриминант равен нулю, то многочлен имеет кратные корни
Если дискриминант равен нулю, то многочлен имеет кратные корни

Мы получили знакомую всем с детства формулу. Такие же манипуляции можно провернуть и получить, например, дискриминанты приведенных уравнений 3-ей и 4-ой степени:

-7

Дальнейшие манипуляции с дискриминантом позволяют определить, имеет или нет произвольный многочлен корни, например, в поле вещественных чисел.

А зачем вообще нужны все эти обобщения на многочлены произвольный степеней?

Дело в том, что, например, общее определение дискриминанта используется для вычисления эквидистант - линий, равноудаленных от заданной:

В теории САПР эквидистантой принято называть линию, равноотстоящую от обрабатываемого контура детали на расстояние, равное радиусу режущего инструмента. В металлообработке, например, эквидистанта может описывать траекторию движения центра фрезы относительно контура обрабатываемой поверхности, а в системах автоматического раскроя ткани — припуск на шов. Источник: http://pev.vatvrn.ru/Posob_prog/Progr_M_DEMO/U2_kontur/ekvidistanta.jpg
В теории САПР эквидистантой принято называть линию, равноотстоящую от обрабатываемого контура детали на расстояние, равное радиусу режущего инструмента. В металлообработке, например, эквидистанта может описывать траекторию движения центра фрезы относительно контура обрабатываемой поверхности, а в системах автоматического раскроя ткани — припуск на шов. Источник: http://pev.vatvrn.ru/Posob_prog/Progr_M_DEMO/U2_kontur/ekvidistanta.jpg

Эквидистанты имеют и очевидный физический смысл. Если предположить, что каждая точка кривой является источником излучения, то эквидистанта представляет собой волновой фронт! Так что не спешите нас хоронить! Спасибо за внимание!

  • Если Вам понравился данный материал, поддержите его лайком, а канал - подпиской.
  • TELEGRAM и Facebook - там я публикую не только интересные статьи, но и математический юмор и многое другое.
Наука
7 млн интересуются