Найти в Дзене
Математика не для всех

Дискриминант больше не нужен! Раскладываем квадратное уравнение "крестиком"

Приветствую Вас, уважаемые Читатели! Пришло время немного поразвлекаться! Объектом на этот раз выбран обыкновенный квадратный трехчлен, который мы будем раскладывать на множители совершенно нетривиальным для нашего школьного детства способом. Поехали! Итак, требуется найти из каких "скобочек" состоит это выражение: Знание того, как обозначаются коэффициенты квадратного трехчлена нам понадобятся, чтобы составить такую мнемоническую схему: Дальше делаем вот что: раскладываем число "-24" на множители и ищем такое разложение, что сумма множителей будет равна числу 5: Теперь наступает чистая магия: Сокращать слева и права нужно до последнего момента. Дальше берем уже готовые выражения для разложения квадратного трехчлена, и готово! Потренируйтесь на других выражениях, ведь математика - это еще и весело!

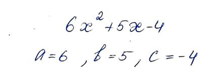
Приветствую Вас, уважаемые Читатели! Пришло время немного поразвлекаться! Объектом на этот раз выбран обыкновенный квадратный трехчлен, который мы будем раскладывать на множители совершенно нетривиальным для нашего школьного детства способом. Поехали!

Итак, требуется найти из каких "скобочек" состоит это выражение:

Знание того, как обозначаются коэффициенты квадратного трехчлена нам понадобятся, чтобы составить такую мнемоническую схему:

-2

Дальше делаем вот что: раскладываем число "-24" на множители и ищем такое разложение, что сумма множителей будет равна числу 5:

-3

Теперь наступает чистая магия:

Сокращать слева и права нужно до последнего момента. Дальше берем уже готовые выражения для разложения квадратного трехчлена, и готово! Потренируйтесь на других выражениях, ведь математика - это еще и весело!

  • Если Вам понравился данный материал, поддержите его лайком, а канал - подпиской.
  • TELEGRAM и Facebook - там я публикую не только интересные статьи, но и математический юмор и многое другое.