Найти в Дзене

Вычисление высоты параллелепипеда, построенного на векторах a, b и c КР "Векторная алгебра" Задание 5.29 Рябушко А.П.

#математика #учеба #векторнаяалгебра #обучение #образование
Пример решения задания по теме векторная алгебра:
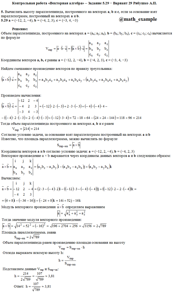
Вычислить высоту параллелепипеда, построенного на векторах a, b и c, если за основание взят параллелограмм, построенный на векторах a и b. a=(−12, 2, −4), b=(−4, 2, 3), c=(−3, 4, −3)
Пример решения задания по теме векторная алгебра: Вычислить высоту параллелепипеда, построенного на векторах a, b и c, если за основание взят параллелограмм, построенный на векторах a и b. a=(−12, 2, −4), b=(−4, 2, 3), c=(−3, 4, −3)

#математика #учеба #векторнаяалгебра #обучение #образование