Найти в Дзене
Шусюе Лаоши

Это не проходят в школе. Самая большая коллекция символических значений тригонометрических функций.

В школе проходят символические значения синуса, косинуса, тангенса и котангенса, кроме 0 и 90°, также для 30, 45 и 60°. (Для значений аргумента, лежащих за пределом от 0 до 90°, можно применить тождества, выражающие эти функции через значения на данном интервале). Почему не проходят, непонятно, например для углов 15° и 75 ° эти выражения весьма простые, и вывод их тоже не сложен. Только при вычислении функций для углов 10°, 20°, 40°, 50°, 70°, 80° пришлось решать кубическое уравнение (кубические уравнения), и результат выражается через (кубические) корни комплексных чисел, от которых нельзя избавиться. Особо громоздкие выражения для тангенсов и котангенсов я не находил. Рисунки можно увеличивать, это скриншоты из ворда при увеличении 150%, формулы набраны МатТайпом. Примеры вычисления символических значений функций: Имена функций тангенс и котангенс я пишу по-американски, так как русские имена МатТайп рисует курсивом: tg, ctg (как простые переменные или неизвестные функции). Вычислен

В школе проходят символические значения синуса, косинуса, тангенса и котангенса, кроме 0 и 90°, также для 30, 45 и 60°. (Для значений аргумента, лежащих за пределом от 0 до 90°, можно применить тождества, выражающие эти функции через значения на данном интервале). Почему не проходят, непонятно, например для углов 15° и 75 ° эти выражения весьма простые, и вывод их тоже не сложен. Только при вычислении функций для углов 10°, 20°, 40°, 50°, 70°, 80° пришлось решать кубическое уравнение (кубические уравнения), и результат выражается через (кубические) корни комплексных чисел, от которых нельзя избавиться. Особо громоздкие выражения для тангенсов и котангенсов я не находил.

Рисунки можно увеличивать, это скриншоты из ворда при увеличении 150%, формулы набраны МатТайпом.

Таблица 1. Значения функций для углов от 0 до 27°.
Таблица 1. Значения функций для углов от 0 до 27°.

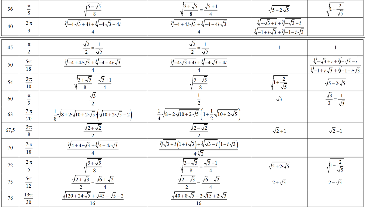
Таблица 2. Значения функций для углов от 30 до 78°.
Таблица 2. Значения функций для углов от 30 до 78°.

Таблица 3. Значения функций для углов от 80 до 90°, а также для углов нечётно кратных углам пи/16.
Таблица 3. Значения функций для углов от 80 до 90°, а также для углов нечётно кратных углам пи/16.

Примеры вычисления символических значений функций:

Имена функций тангенс и котангенс я пишу по-американски, так как русские имена МатТайп рисует курсивом: tg, ctg (как простые переменные или неизвестные функции).

Вычисление функций для углов 15° и 75°
Вычисление функций для углов 15° и 75°

Вычисление функций для углов 22,5° и 67,5°:

Вычисление функций для углов 22,5° и 67,5°
Вычисление функций для углов 22,5° и 67,5°

Вычисление функций для углов 18°, 36°, 54° и 72°:

Синусы и косинусы для углов 18°, 36°, 54° и 72°
Синусы и косинусы для углов 18°, 36°, 54° и 72°
Тангенсы и котангенсы  для углов 18°, 36°, 54° и 72°
Тангенсы и котангенсы для углов 18°, 36°, 54° и 72°

Вычисление синусов и косинусов для углов 10°, 20°, 40°, 50°, 70° и 80°:

Продолжение ниже
Продолжение ниже
Продолжение ниже
Продолжение ниже

Остальное будет позже. Как всегда, ставьте лайки, подписывайтесь на канал! Будет много интересного!