Добавить в корзину
Позвонить
Найти в Дзене
Войти
Сергей Русских
102 подписчика
Подписаться
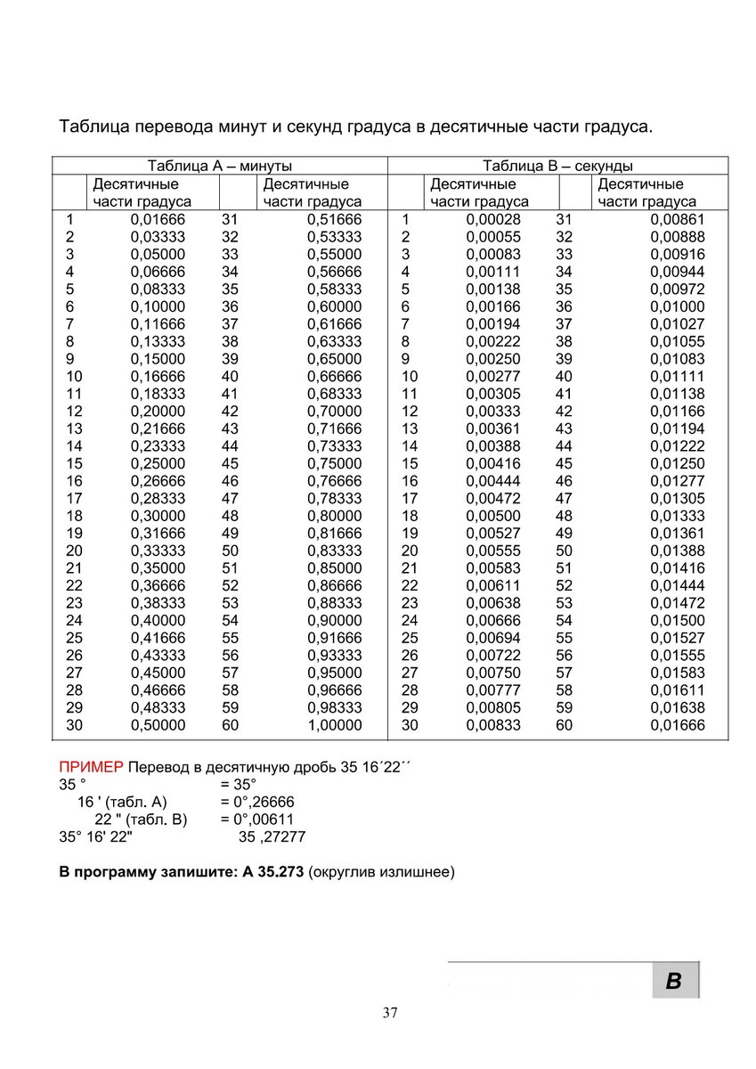
Программирование. Фаска, угол в Fanuc.
13 ноября 2021
13 ноя 2021
3401
...
Читать далее
26
4
1914414622.788.1776675441548.96905