Добавить в корзинуПозвонить
Найти в Дзене
ЭврикаХаб

Основные типы задания 8 в ОГЭ-2022 по математике — актуально для 9-классников

В этой статье я рассмотрю основные типы задач задания 8 из ОГЭ по математике. Судя по количеству новых подписчиков после каждой подобной статьи и комментариям читателей, публикации, посвященные решению задач из ОГЭ по математике, являются актуальными. В этом задании всегда много ошибок. Для решения 8 задания необходимо повторить: 1. Основные формулы сокращённого умножения: 2. Темы «Разложение на множители», «Вынесение общего множителя за скобки» и «Раскрытие скобок». 3. Определение и свойства степени: 4. Свойства квадратного корня: Задание 8 включает в себя следующие типы задач: 1. Целые алгебраические выражения Пример 1 Упростите выражение и найдите его значение при с = 0,5. В ответ запишите полученное число. Решение: Не спешите сразу подставлять значение с, во всех заданиях нужно сначала упростить выражение (в этом основная ошибка девятиклассников). Раскроем скобки: первую, применив формулу сокращённого умножения, вторую, не забыв про знак «минус» перед с. Приведём подобные слагаемы
Оглавление

В этой статье я рассмотрю основные типы задач задания 8 из ОГЭ по математике. Судя по количеству новых подписчиков после каждой подобной статьи и комментариям читателей, публикации, посвященные решению задач из ОГЭ по математике, являются актуальными. В этом задании всегда много ошибок.

Авторские права на изображение принадлежат медиагруппе "Хакнем" и защищены товарным знаком ®️
Авторские права на изображение принадлежат медиагруппе "Хакнем" и защищены товарным знаком ®️

Для решения 8 задания необходимо повторить:

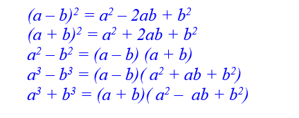
1. Основные формулы сокращённого умножения:

Формулы куба суммы и разности не привожу, в этих заданиях не встречаются, впрочем как и формулы разности и суммы кубов.
Формулы куба суммы и разности не привожу, в этих заданиях не встречаются, впрочем как и формулы разности и суммы кубов.

2. Темы «Разложение на множители», «Вынесение общего множителя за скобки» и «Раскрытие скобок».

3. Определение и свойства степени:

-3

4. Свойства квадратного корня:

-4

Задание 8 включает в себя следующие типы задач:

1. Целые алгебраические выражения

Пример 1

Упростите выражение и найдите его значение при с = 0,5. В ответ запишите полученное число.

-5

Решение:

Не спешите сразу подставлять значение с, во всех заданиях нужно сначала упростить выражение (в этом основная ошибка девятиклассников). Раскроем скобки: первую, применив формулу сокращённого умножения, вторую, не забыв про знак «минус» перед с. Приведём подобные слагаемые.

Красным цветом показаны слагаемые, которые уничтожаются, голубым - подобные слагаемые
Красным цветом показаны слагаемые, которые уничтожаются, голубым - подобные слагаемые

Найдём значение выражения, подставив вместо с значение 0,5.

4 – 8 × 0,5 = 4 – 4 = 0.

Ответ: 0.

2. Рациональные алгебраические выражения

Пример 2

Упростите выражение и найдите его значение при х = 4. В ответ запишите полученное число.

-7

Решение:

Числитель первой дроби разложим на множители, применив формулу сокращенного умножения (разность квадратов). Запишем произведение под одной дробью: числитель умножаем на числитель, знаменатель на знаменатель. Сократим:

-8

В полученное выражение подставим значение x = 4.

-9

Ответ: 0,5.

Пример 3

Найдите значение выражения при a = – 39.

-10

Решение:

Первую скобку разложим на множители, вынесем за скобки общий множитель и применим формулу сокращённого умножения. Во второй скобке приведём дроби к общему знаменателю. Упростим.

-11

После того, как упростили выражение, подставим в него значение а = –39

–39×(–10) = 390

Ответ: 390.

3. Степени и корни

Пример 4

Найдите значение выражения 5 √11 × 2√ 2 × √22

Решение:

Воспользуемся свойствами квадратного корня. Перемножим коэффициенты, стоящие перед корнями, а произведение корней представим, как корень произведения:

-12

Ответ: 220.

Пример 5

Упростите выражение и найдите его значение при а = -1/2. В ответе запишите полученное число.

-13

Решение:

-14

Подставим в выражение значение -1/2:

-15

Ответ: 16.

Пример 6

Найдите значение выражения:

-16

В решении я воспользовалась формулой сокращенного умножения - разности квадратов. Хотя предполагаю, что многие просто «побегут» раскрывать скобки и приводить подобные слагаемые. Можно привести и этот способ решения.

-17

Ответ: 2.

Пример 7

Найдите значение выражения:

-18

Решение:

Достаточно непростое задание для первой части. Самый сложный момент здесь увидеть в числителе дроби 16x – 25y формулу разности квадратов.

-19

Перепишем числитель этой дроби, применив эту формулу. Далее приведём к общему знаменателю. Вынесем общий множитель

-20

за скобки, приведём подобные слагаемые, сократим.

-21

Ответ: 12.

Вот таким разным может быть задание 8 в ОГЭ по математике. Я надеюсь, эта статья поможет девятиклассникам в подготовке к экзамену. Удачи!

Читайте наш канал в телеграм по этой ссылке

Автор: Ирина Чудневцева, редактор и соавтор канала Хакнем Школа, 43 года

Другие статьи автора по этой тематике:

-22