Найти в Дзене
Теория всего

Первая проблема парадокса близнецов и ее решение.

Все без исключения рассказывают о парадоксе близнецов так. На Земле есть два близнеца. Один из них решает отправится в полет и со скоростью v отправляется в космос. А второй брат остается на Земле. Через некоторое время первый брат возвращается на Землю. Спрашивается – кто из них будет старше, а кто моложе? Если предположить, что брат, оставшийся на Земле, был неподвижен, а второй летавший со скоростью v должен был замедлить свое время согласно формуле: Подставив в эту формулу скорость v летавшего брата, мы получим насколько у него замедлилось течение времени. На столько он будет моложе брата. Но можно рассуждать об этом и так, что не ракета улетела от Земли, а Земля улетела от ракеты. По этой причине со скоростью v двигался брат, оставшийся на Земле, и он будет моложе брата, сидящего в ракете. Это покажет тот же подсчет по формуле. В этом и заключается парадокс, что нельзя сказать, кто же моложе из братьев. Эту неуклюжую ситуацию пытался разрешить Фейнман. Как – я расскажу в следующе

Все без исключения рассказывают о парадоксе близнецов так. На Земле есть два близнеца. Один из них решает отправится в полет и со скоростью v отправляется в космос. А второй брат остается на Земле. Через некоторое время первый брат возвращается на Землю. Спрашивается – кто из них будет старше, а кто моложе?

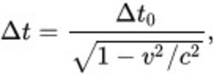
Если предположить, что брат, оставшийся на Земле, был неподвижен, а второй летавший со скоростью v должен был замедлить свое время согласно формуле:

Подставив в эту формулу скорость v летавшего брата, мы получим насколько у него замедлилось течение времени. На столько он будет моложе брата.

Но можно рассуждать об этом и так, что не ракета улетела от Земли, а Земля улетела от ракеты. По этой причине со скоростью v двигался брат, оставшийся на Земле, и он будет моложе брата, сидящего в ракете. Это покажет тот же подсчет по формуле.

В этом и заключается парадокс, что нельзя сказать, кто же моложе из братьев. Эту неуклюжую ситуацию пытался разрешить Фейнман. Как – я расскажу в следующей статье.

А сейчас возвратимся к нашей формуле. Видите, в ней две величины: v и V? Так вот эти величины в парадоксе имеют разные размерности. V измерена относительно вакуума, а v измерена относительно близнецов. Это все равно, что одну скорость измерили в километрах, а другую в милях или каких-то других единицах. В формуле не сохраняется размерность. Как этого не видят ни обсохшие юнцы ни маститые ученые – не понятно. Какое-то вавилонское наваждение.

Надо измерять все скорости относительно чего-то одного: либо вакуума, либо одного из близнецов, тогда никакого парадокса не возникает: дольше будет тот, кто движется быстрее относительно вакуума, а не другого близнеца.