Добавить в корзинуПозвонить
Найти в Дзене
Александр Долгих

Как переводить бесконечную периодическую дробь в обыкновенную

С возрастом что-то забывается, а что-то просто откладывается в дальний ящик памяти. Как выяснилось, довольно простая тема — перевод бесконечной периодической дроби в обыкновенную — оказалась камнем преткновения для родителей шестиклассников, которые взялись показать ребенку мастер-класс. Так что давайте вспоминать. Периодическая дробь — это бесконечная десятичная дробь, в которой, начиная с какого-то момента цифра или группа цифр начинает повторяться. Например, 0,35468975621648991... — это просто бесконечная десятичная дробь, а 0,353535353535... — это периодическая дробь и её записывают вот так: 0,(35). Могут быть и другие периодические дроби: 0,28(9) или 2,(387) и так далее. Работать с периодическими дробями крайне неудобно, потому что нельзя добиться абсолютной точности. Но если перевести периодическую дробь в обыкновенную, работать с ней будет гораздо удобнее. Но как же переводить периодическую дробь в обыкновенную? Допустим, нам надо перевести дробь 0,(7). Представим, что это Х=0,

С возрастом что-то забывается, а что-то просто откладывается в дальний ящик памяти. Как выяснилось, довольно простая тема — перевод бесконечной периодической дроби в обыкновенную — оказалась камнем преткновения для родителей шестиклассников, которые взялись показать ребенку мастер-класс.

Так что давайте вспоминать.

Кадр из киножурнала "Ералаш", выпуск 299.
Кадр из киножурнала "Ералаш", выпуск 299.

Периодическая дробь — это бесконечная десятичная дробь, в которой, начиная с какого-то момента цифра или группа цифр начинает повторяться. Например, 0,35468975621648991... — это просто бесконечная десятичная дробь, а 0,353535353535... — это периодическая дробь и её записывают вот так: 0,(35). Могут быть и другие периодические дроби: 0,28(9) или 2,(387) и так далее.

Работать с периодическими дробями крайне неудобно, потому что нельзя добиться абсолютной точности. Но если перевести периодическую дробь в обыкновенную, работать с ней будет гораздо удобнее.

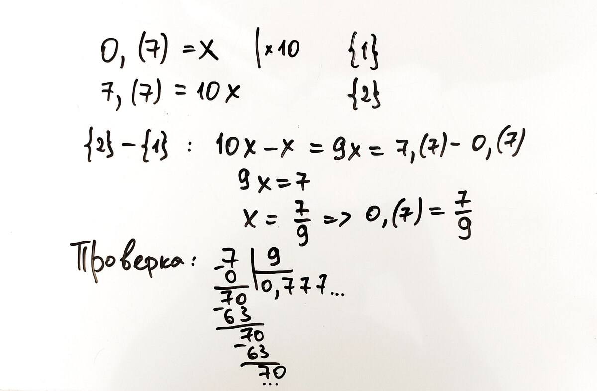
Но как же переводить периодическую дробь в обыкновенную? Допустим, нам надо перевести дробь 0,(7). Представим, что это Х=0,(7).

Тогда 10Х=7,(7).

Теперь вычтем из второго первое: 10Х-Х=9Х=7,(7)-0,(7)=7.

Таким образом мы избавляемся от периода и решаем обычное уравнение. Х=7/9. То есть 0,(7)=7/9.

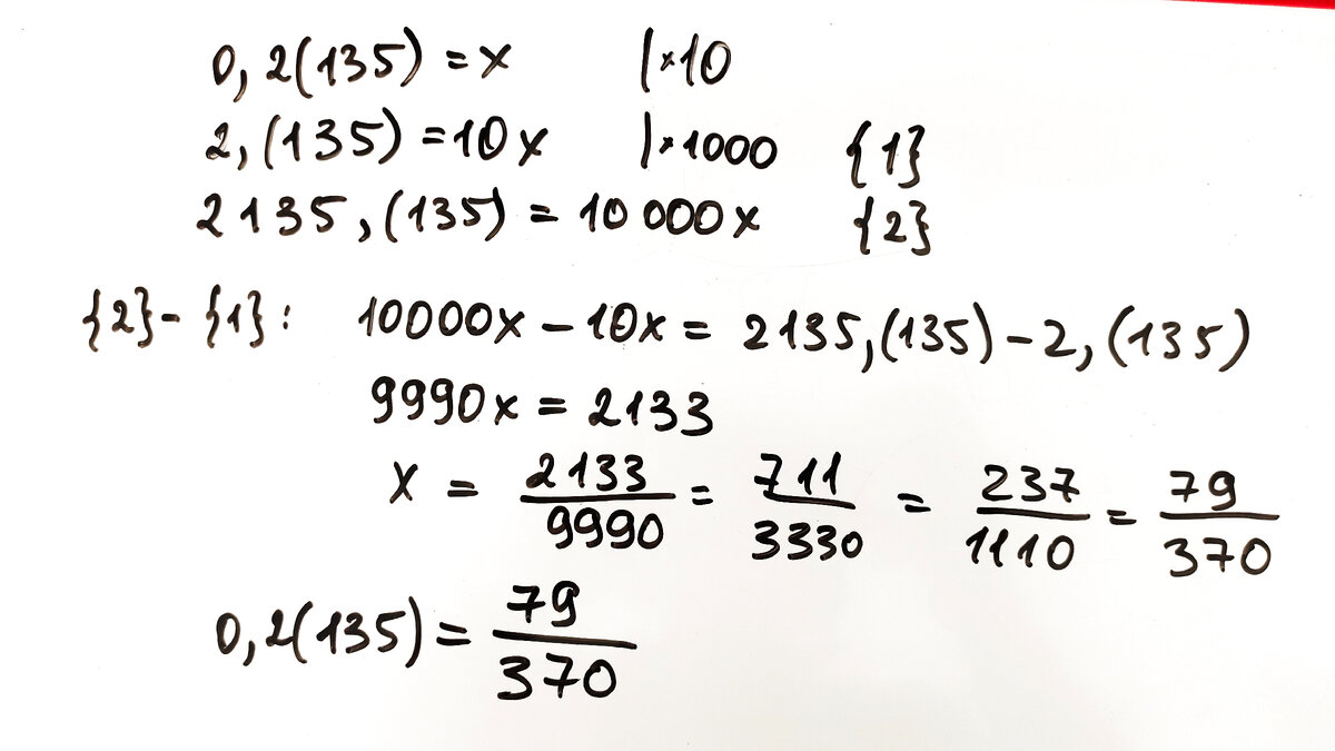
Для тех, кому понятнее воспринимать информацию картинками, ниже привожу решение ещё раз. А на следующих картинках примеры перевода других периодических дробей: 3,1(23) и 0,2(135).

Не спешите смотреть сразу всю галерею, попробуйте перевести эти периодические дроби в обыкновенные самостоятельно для тренировки. Ответы для самопроверки: 3,1(23)=3+61/495=1546/495 и 0,2(135)=79/370.

Освежили в памяти? Теперь можете спокойно помогать детям в домашкой, проверять и с важным видом говорить: "вон сколько лет прошло, а я помню".

Ещё интересно: Головоломка, которую решали наши родители, бабушки и дедушки

Впечатляющий фокус про 9 кошельков и 3 рубля. Чистая математика и никакого мошенничества

Как понять, о чём говорят подростки? Перевожу молодежный сленг на понятный русский язык