Добавить в корзинуПозвонить
Найти в Дзене
Прорвёмся! ✊

ДОМА ГОРОСКОПА "сетка Астрологических Домов", лёгкий способ вычисления

Дома Гороскопа, Астрологические Дома, о них! . Чего - ходить вокруг да около - вот формула: . расшифровываем: 1)Вершина Д4 - Вершина Четвёртого Дома; 2)Солнце - координаты Солнца. 20 Тельца, например - это 50 градусов, 1 Близнецов - это 61 градус, 3 Козерога - 273-й градус. - в таком плане Солнце берём из эфемерид, на интересующую дату, например, пусть это будет 10-е января 2014г. в первой колонке - день недели, F, Friday, пятница и число месяца. вторая - "звёздное время", она нам не нужна, и третья - координата Солнца, 19 градусов 39 минут 15 секунд (на 00 ч, 00 мин по Гринвичу). около 20 градусов Козерога, то есть 270+20=290 3)Время(в минутах) - буквально в минутах МЕСТНОЕ ВРЕМЯ. например, 10 утра, 10 умножаем на 60, равно 600 (1 час - это 60 минут, у нас часов - 10) 4)Время(в минутах)/4 минуты, из примера выше берём 600 и делим на 4, получаем 150 5) то есть наша ВершинаД4=290(Солнце!)+150=440 поскольку в круге 360 градусов, 440-360=80 то есть 20 градусов Близнецов - это Вершин
Оглавление

Дома Гороскопа, Астрологические Дома, о них!

.

Чего - ходить вокруг да около - вот формула:

Вершина Д4=Солнце+ВРЕМЯ(в минутах)/4 минуты

.

расшифровываем:

1)Вершина Д4 - Вершина Четвёртого Дома;

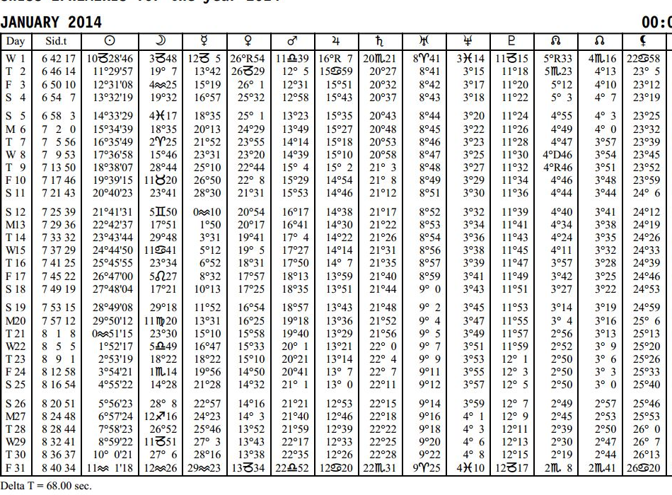
2)Солнце - координаты Солнца. 20 Тельца, например - это 50 градусов, 1 Близнецов - это 61 градус, 3 Козерога - 273-й градус. - в таком плане

Солнце берём из эфемерид, на интересующую дату, например, пусть это будет 10-е января 2014г. в первой колонке - день недели, F, Friday, пятница и число месяца. вторая - "звёздное время", она нам не нужна, и третья - координата Солнца, 19 градусов 39 минут 15 секунд (на 00 ч, 00 мин по Гринвичу).

-2

около 20 градусов Козерога,

-3

то есть 270+20=290

3)Время(в минутах) - буквально в минутах МЕСТНОЕ ВРЕМЯ.

например, 10 утра, 10 умножаем на 60, равно 600 (1 час - это 60 минут, у нас часов - 10)

4)Время(в минутах)/4 минуты, из примера выше берём 600 и делим на 4, получаем 150

5) то есть наша ВершинаД4=290(Солнце!)+150=440

поскольку в круге 360 градусов, 440-360=80

-4

то есть 20 градусов Близнецов - это Вершина Четвёртого Дома.

Система - РАВНОДОМНАЯ

То есть каждый Дом - это 30 градусов, как и Знак.

Таким образом - Первый Дом у нас в 20 градусах Рыб, 2-й - 20 Овена, 3-й - 20 Тельца. 7-й - 20 Девы, а само Солнце - на Вершине 11-го Дома.

Для вычисления мы использовали только таблицу эфемерид и больше никакая нам не понадобилась.

"лишние заморочки"
"лишние заморочки"

Учитывание прецессии, - я предпочитаю её учитывать. Это - способствует отображению реальности "во всей красе". Прецессия составляет 23-24 градуса. Можете попробовать сами! В таком случае, если что - Солнце у нас и 11-го Дома Вершина - это 26 градусов Стрельца! Первый Дом - 26 гр Водолея. То есть - всё "сдвигаем немного назад". Эфемериды - в таблицах эфемерид прецессия не учитывается. Ну и - ладно, что так! Они всё равно нам - не то что нужны, НЕОБХОДИМЫ! ru.astro-seek.com

Эфемериды онлайн 1981 Май, Астрологические эфемериды 1981

откройте ссылку и пролистайте страницу вниз. далее ВЫБЕРИТЕ НУЖНЫЙ ГОД! а в верхней строчке года - выберите месяц

Здесь 👇более подробно о навигации по указанному выше сайту

Нажимаешь на кнопочку - и получаешь Гороскоп
Луна в Знаке Рыб5 июля 2022

И как "сделать прецессию", здесь же☝️

- здесь прекрасные эфемериды и на каждый день можно моментально получить карту!!! - просто нажав на красное слово "Карта" - справа. Фантастика - доступная каждому. "Не жизнь, а сказка!"

Набирайте месяц и год, добавляйте слово "эфемериды" в поисковик - и смотрите нужную дату. День недели - кстати!- очень-очень важен для нас, в какой из них мы родились. Поговорим об этом как-нибудь, обязательно!

А Формула Вычисления Домов взята из книги Авессалома Подводного (Андрея Тихомирова, астролога - псевдоним)

"Каббалистическая Астрология. ДИАЛЕКТИКА или ДОМА" на последней странице раздела "Введение". Пользуюсь ей - уже "лет сто". Хорошая формула, нужная. Учитывание прецессии и эта формула - вот Истинная Астрология! Показывают и в полной мере отображают - РЕАЛЬНОСТЬ, а не "формальность".

Собственно, - "что нужно для счастья"? :

1)таблица эфемерид,

2)знание символов Знаков Светил и Планет - то есть чтоб "считать информацию из эфемерид" и потом с учётом прецессии - "переделать как надо"

3)уметь вычислять Дома.

Можно воспользоваться статьями из моей подборки

"Астрология с самого начала", в случае надобности, вот она:

Астрология с САМОГО НАЧАЛА | Луна в Знаке Рыб | Дзен

Займитесь уже этим, наконец! Втянитесь потом, всем окружающим Гороскопы - пересоставляете. Понятно, что сначала вы будете чувствовать себя так, как выглядит этот котик

-6

Для вычисления Домов другими способами - нужна вот та вторая колонка, которая нам не понадобилась, со Звёздным временем, и специальные Таблицы Домов Плацидуса или Коха (были такие астрологи). Это НЕ-равнодомные системы, по мнению Авессалома Подводного - не-Водолейские и поэтому неэффективные...

Равнодомная система - это мой выбор, которым я абсолютно довольна, например.

-7

Ребята и Девчата, всех возрастов, не думайте долго, приступайте. Пробуйте и вычисляйте, "составляйте" (нажав на кнопочку "Карта" на указанном сайте), смотрите и думайте, что подходит, а что нет...

.

-8