Добавить в корзинуПозвонить
Найти в Дзене

Технологический контроль как механизм управления в холдинговых организациях

В статье рассматриваются следующие формы контроля в холдинговых структурах: экономический, финансовый и технологический. В рамках технологического контроля, понимаемого как обеспечение технической (технологической) возможности ведения существующего бизнеса дочерними и зависимыми обществами по производству наукоёмкой продукции через управление правами на результаты интеллектуальной деятельности, предлагаются различные схемы его реализации. Принципиальная новизна объединений коммерческих организаций рыночного периода заключается в переходе от плановых процессов централизации управления к корпоративной самоорганизации, основанной на отношениях собственности, экономической зависимости, других рыночных механизмах, а также к договорному принципу объединения юридических лиц на добровольной основе. Холдинг как форма организации предпринимательской деятельности Самой распространенной формой предпринимательских объединений в современной российской экономике являются холдинги. Холдинги как способ
Оглавление

В статье рассматриваются следующие формы контроля в холдинговых структурах: экономический, финансовый и технологический. В рамках технологического контроля, понимаемого как обеспечение технической (технологической) возможности ведения существующего бизнеса дочерними и зависимыми обществами по производству наукоёмкой продукции через управление правами на результаты интеллектуальной деятельности, предлагаются различные схемы его реализации.

Принципиальная новизна объединений коммерческих организаций рыночного периода заключается в переходе от плановых процессов централизации управления к корпоративной самоорганизации, основанной на отношениях собственности, экономической зависимости, других рыночных механизмах, а также к договорному принципу объединения юридических лиц на добровольной основе.

Холдинг как форма организации предпринимательской деятельности

Самой распространенной формой предпринимательских объединений в современной российской экономике являются холдинги. Холдинги как способ интеграции характерны не только для естественных монополий, стратегических отраслей и крупного бизнеса. Средний и даже малый бизнес в настоящее время также представлен, как правило, не автономными хозяйствующими субъектами, а созданными на основе системы участия и контроля группами хозяйственных обществ.

Холдинг является эффективной формой организации предпринимательской деятельности, поскольку он позволяет сочетать гибкость и мобильность небольших формально самостоятельных организаций и масштаб деятельности крупных корпораций. Целостность холдинга обеспечивается при этом управлением входящими в него участниками исходя из известной в мировой практике формулы «децентрализация операций при централизации контроля», что обеспечивает жизнеспособность и синергетический эффект объединения в целом[1].

Создание холдинговых структур в современной динамично развивающейся экономике является способом снижения коммерческих рисков, сокращения расходов, что так необходимо для российских предпринимателей, постоянно занятых поиском конкурентных преимуществ для работы в условиях открытого рынка.

Преимущества создания холдингов

Холдинги рассматриваются сегодня как приоритетная форма организации хозяйствующих субъектов в стратегических отраслях, контролируемых государством, в том числе в оборонной промышленности, где в настоящее время, одной из главных задач является создание на базе отдельных оборонных предприятий вертикально интегрированных структур — холдингов.

Эффект объединения хозяйственных обществ в холдинг как синергетический эффект системы заключается в том, что преимущества от объединения достигаются не посредством арифметического сложения, а умножением возможностей всех организаций, входящих в структуру холдинга.

Холдинги наряду с общими для всех предпринимательских объединений преимуществами имеют некоторые особенности организации, положительно выделяющие эту форму предпринимательского объединения из ряда других интегрированных структур. К числу таких преимуществ, обусловленных структурой холдинга, представляющего собой совокупность самостоятельных юридических лиц, относится устойчивость и стабильность этой формы предпринимательского объединения.

Стабильность и устойчивость холдинга обусловлены самой его сущностью, заключающейся в отношениях экономического контроля основного общества над дочерними, основанного на отношениях собственности.

Дочерние общества холдинга, оставаясь самостоятельными юридическими лицами, от своего имени осуществляют предпринимательскую деятельность и несут ответственность по своим обязательствам только принадлежащим им имуществом.

В холдинге возможна централизация целого ряда функций и тем самым экономия затрат. Как правило, функциональное распределение обязанностей между основным и дочерними обществами происходит таким образом, что в сфере внимания основного общества оказываются такие задачи, как планирование, организация финансовых потоков, централизованный бухгалтерский учет, правовое обеспечение, кадровая политика, информационное обеспечение, статистика, маркетинг и организация сбыта.

Холдинг позволяет обеспечить необходимую рационализацию производства, предполагающую, что определенные узлы и детали не изготавливаются на разных производствах с разными затратами, а переносятся туда, где издержки ниже. Неэффективные производства могут быть закрыты, что обеспечит снижение себестоимости единицы продукции. Этот момент является весьма актуальным для крупных промышленных комплексов, где традиционно существуют избыточные мощности и требуется промышленная реконструкция. Особенно эффективно снижение затрат на изготовление продукции (работы, услуги) может быть в вертикально интегрированном холдинге, объединяющем в единой технологической цепочке все операции, от добычи сырья и до выпуска готовой продукции. Концентрация производства продукции для максимизации отдачи и минимизации затрат на ее производство и реализацию является целью организации вертикально интегрированного бизнеса.

Следует учитывать, что целью создания большинства холдингов в России является не получение прибыли от операций с акциями, а совместное осуществление участниками объединения производственно-хозяйственной деятельности, включая распределение имущества и финансовых средств. Холдинги, большинство из которых в России управляющие (нефинансовые), имеют взаимосвязанные цепочки производств. Дочерние общества выполняют в них один из этапов производства продукта (работ, услуг) либо являются сервисными подразделениями для обслуживания потребностей участников холдинга - транспортными, строительными, страховыми, банковскими, консультационными услугами. Имущественные отношения в холдинге приобретают специфические особенности, характеризующие эту форму предпринимательского объединения.

Прежде всего следует отметить, что холдинговая компания как центр интегрированного объединения контролирует движение финансовых потоков и распределение инвестиций среди участников холдинга. «Размещение финансовых ресурсов представляет собой центральный инструмент регулирования. Оно является результатом интегрированной финансовой и инвестиционной стратегии, при которой дочерние предприятия холдинга представляют собой конкурирующие внутри холдингового объединения альтернативы на рынке капитала» [2]. Выступая финансовым инвестором, основное общество холдинга должно оценивать эффективность и возможные альтернативы инвестиционных вложений как в дочерние общества, так и вне холдингового объединения. Основной задачей финансового контроля в холдинге является обеспечение финансовой устойчивости холдингового объединения в целом и финансового равновесия входящих в его состав участников путем балансирования объемов поступления и расходования денежных средств и их синхронизации по времени.

Так, например, Концерн — наиболее сложная и преобладающая форма монополистического объединения холдингового типа, в котором с помощью финансового контроля связываются в единый комплекс разнородные предприятия.

Холдинг обеспечивает концентрацию технического, технологического, управленческого опыта, научных разработок в рамках одного хозяйствующего субъекта. Объединяя технологию, организационные, инвестиционные возможности различных участников, холдинг в целом может добиться снижения инвестиционной стоимости любого проекта.

При этом следует учитывать, что, сохраняя формальную юридическую самостоятельность, в своей предпринимательской деятельности, входящие в холдинговую структуру организации не поддаются прямому администрированию, в связи с чем при управлении ими в повседневной деятельности возникают определённые трудности. Введение (наряду с экономическим и финансовым контролями) дополнительного механизма технологического контроля бизнеса по производству наукоёмкой продукции позволяет нивелировать имеющиеся трудности управления зависимыми организациями для достижения стоящих перед Концерном целей.

Технологический контроль бизнеса — это обеспечение технической (технологической) возможности ведения существующего бизнеса дочерними и зависимыми обществами (ДЗО) по производству наукоёмкой продукции через управление Концерном правами на результаты интеллектуальной деятельности (включая объекты интеллектуальной собственности), повышения его финансово-экономических показателей и правовой защиты его интересов.

Нематериальная составляющая результатов НИОКР, выраженная в объективной форме, являющаяся объектом или совокупностью объектов исключительных прав, способная служить основой практической деятельности в какой-либо сфере, является важнейшим ресурсом и должна широко использоваться для обеспечения инновационно-технологического развития, контроля и управления бизнесом Концерна по производству наукоёмкой продукции.

Система управления интеллектуальной собственностью как эффективный инструмент технологического контроля

При этом, система управления интеллектуальной собственностью — это эффективный инструмент технологического контроля, направленного для достижения целей Концерна, функционирование которой обеспечивает:

  • повышение инвестиционной привлекательности бизнеса Концерна;
  • реализацию инновационной стратегии развития Концерна;
  • повышение конкурентоспособности выпускаемой продукции за счёт использования монопольных прав на результаты интеллектуальной деятельности, а также способствует достижению основных целей деятельности Концерна.

В свою очередь в рамках функционирования системы управления РИД (ОИС) осуществляются совокупность мероприятий по следующим основным направлениям:

  • выявление и обособление охраноспособных РИД, их идентификация и учёт;
  • решение вопросов о правах на результаты НИОКР в договорных отношениях с исполнителями контрактов с Концерном;
  • обеспечение правовой охраны результатов НИОКР, права на которые принадлежат Концерну;
  • формирование информационной инфраструктуры для обеспечения правовой защиты и распоряжения правами на результаты НИОКР;
  • контроль за использованием РИД (ОИС), исключительные права на которые принадлежат Концерну;
  • обеспечение эффективного использования результатов НИОКР для нужд Концерна;
  • коммерческая передача РИД (ОИС), права на которые принадлежат Концерну;
  • обеспечение предупреждения нарушений и защиты прав Концерна на РИД (ОИС).

Роль и место системы управления ИС и технологического контроля при достижении целей Концерна представлены на рис. 1.

Рис. 1. Роль и место системы управления ИС и технологического контроля при достижении целей Концерна

Одним из основных мероприятий управления интеллектуальной собственностью в рамках функционирования механизма технологического контроля бизнеса по производству наукоёмкой продукции является распоряжение правами на ОИС, закреплёнными за Концерном.

Схемы реализации технологического контроля

При распределении прав на РИД следует учитывать следующие аспекты.

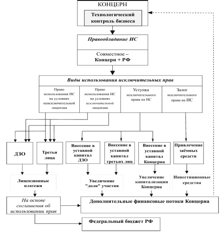
При совместном (Концерна с ДЗО) правообладании ОИС возможна передача права использования или уступка исключительного права третьим лицам по обоюдному согласию на основании соответствующего договора.

В случае, когда правообладателем является только Концерн, ДЗО может использовать охраняемые РИД (ОИС) только на основании лицензионного договора. При этом передача права использования или уступка исключительных прав третьим лицам осуществляется на основании соответствующего договора без согласования с ДЗО. На основании договора уступки в этом же случае возможен и вклад в уставной капитал организации (ДЗО или третьих лиц).

Осуществление технологического контроля бизнеса при реализации мероприятий по распоряжению правами на РИД проиллюстрировано на рис. 2-4.

-2

Рис. 2. Схема реализации технологического контроля (правообладатель - Концерн и ДЗО)

-3

Рис. 3. Схема реализации технологического контроля (правообладатель - Концерн)

-4

Рис. 4. Схема реализации технологического контроля (правообладатель - Концерн и РФ)

В результате анализа финансовых преимуществ и затрат, возникающих у Концерна, при различных видах правообладания объектами интеллектуальной собственности была сформирована сформирована матрица определения финансовых результатов от применения различных форм технологического контроля бизнеса (табл. 1).

Таблица 1. Матрица финансовых результатов от применения технологического контроля

Правообладатсль ДЗО

Правообладатель Концерн

Совместное правообладание

РИД использует ДЗО

- на безвозмездной основе;

- ДЗО выплачивает авторские вознаграждения и оплачивает госпошлины на регистрацию ОИС

- Только на условиях выплаты лицензионных платежей Концерну;

- Концерн оплачивает госпошлины на регистрацию ОИС

- Работодатель (Концерн) выплачивает авторские вознаграждения -«+»

- На безвозмездной основе по согласованию с Концерном

- на основании договора с Концерном ДЗО выплачивает авторские вознаграждения и оплачивает госпошлины на регистрацию ОИС

РИД использует Концерн

"-" на условиях выплаты Концерном лицензионных платежей ДЗО;

- ДЗО выплачивает авторские вознаграждения и несет иные затраты по поддержанию актива

- На безвозмездной основе

- капитализация

- амортизация

- Концерн оплачивает госпошлины на регистрацию ОМС

- Работодатель (Концерн) выплачивает авторские вознаграждения
"+"

- На безвозмездной основе по согласованию с ДЗО

- на основании договора с Концерном ДЗО выплачивает авторские вознаграждения и оплачивает госпошлины на регистрацию ОИС

- капитализация

- аммортизация

"+"

РИД использует и ДЗО, и Концерн

ДЗО - на безвозмездной основе.

"-" - Концерн - на условиях выплаты лицензионных платежей ДЗО;

- ДЗО выплачивает авторские вознаграждения и оплачивает госпошлины на регистрацию ОИС

- ДЗО - на условиях выплаты лицензионных платежей Концерну;

- Концерн - на безвозмездной основе

- Концерн оплачивает госпошлины на регистрацию ОИС

Работодатель (Концерн) выплачивает авторские вознаграждения

- капитализация

- амортизация

"+"

- На безвозмездной основе

- капитализация

- амортизация

на основании договора с Концерном ДЗО выплачивает авторские вознаграждения и оплачивает госпошлины на регистрацию ОИС

"+"

Примечание:

1. «+» - отмечены случаи получения Концерном дополнительных финансовых доходов в виде лицензионных платежей за право использования ДЗО интеллектуальной собственности принадлежащей Концерну, а также получение «финансовой выгоды» от возможности капитализации и амортизации стоимости прав на ИС.

2. «-» - отмечены случаи выплаты Концерном лицензионных платежей за право использования интеллектуальной собственности принадлежащей ДЗО.

Таким образом, дополнительное использование наряду с экономическим и финансовым контролем механизма технологического контроля позволяет контролировать весь бизнес в холдинге в целом на основе контроля права использования самой технологии производства основной продукции, как цельной экономико-производственной структуры.

«Инновации и инвестиции», №4, 2011

Авторы:

Наталья Зиновьевна Мазур, генеральный директор ООО «ВКО-Интеллект», д.э.н., патентный поверенный РФ и ЕАПО.

Сергей Михайлович Чеботарёв, помощник генерального директора ООО «ВКО-Интеллект» по правовым вопросам.

Литература

1. Шиткина И.С. «Холдинги: правовое регулирование и корпоративное управление научно- практическое издание». М.: Волтер Клувер, 2006.

2. Псарева Н.Ю. «Организация финансового управления в холдинговом объединении» // Акционерный вестник. 2003. N 5. С. 26.

Оригинал статьи: https://www.vko-intellekt.ru/media-center/tekhnologicheskij-kontrol-kak-mekhanizm-upravleniya-v-holdingovyh-organizaciyah/