Добавить в корзинуПозвонить
Найти в Дзене

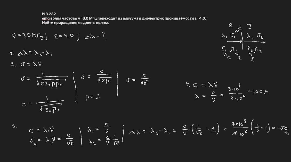
И 3.232 (Электромагнитные волны. Излучение)

Электромагнитная волна частоты ν=3.0 МГц переходит из вакуума в диэлектрик проницаемости ε=4.0. Найти приращение ее длины волны.

Электромагнитная волна частоты ν=3.0 МГц переходит из вакуума в диэлектрик проницаемости ε=4.0. Найти приращение ее длины волны.